Magistério de 1º e 2º graus – Concurso de Ingresso

No final do 1º semestre de 1986, a Secretaria de Educação do Estado de São Paulo realizou um concurso público para provimento do cargo de Professor III em várias disciplinas, inclusive Matemática. O concurso constou de duas provas: uma de conhecimentos específicos e outra de conhecimentos gerais de Educação.

Inscreveram-se para o concurso de Matemática 10 310 professores, todos com licenciatura plena em Matem’tica. Compareceram 8.971 e foram aprovados 2.231 ou seja, 24.86% dos presentes.

A prova de Matemática constou de 3 questões dissertativas e 50 testes de múltipla escolha. Transcrevemos, a seguir, as questões dissertativas e os 27 testes, juntamente com o gabarito oficial:

 

     Questões dissertativas:

1. a) Se um polígono regular tiver número impar de lados, nenhuma diagonal passa pelo centro;

     b) Se o número de lados for par, calcule o número de diagonais que passam pelo centro.

2. Se a e b são números naturais primos entre si, então ab e a + b são primos entre si.

3. Plano de atividades para apresentar o conceito de função a uma classe de 1ª série do 2º grau.

Descreva os pressupostos metodológicos

 

     Testes

1.  Seja A um conjunto não vazio e p(A) o conjunto de todas as partes de A. Então:

a) A p(A)                      b) {A} p(A)             c) {A} p(A)             d) p(A) = {A}.

e) P(A) pode ser um conjunto unitário.

 

2. Sejam A, B e C conjuntos finitos não vazios, f : A B uma função injetora, g : B C uma função bijetora. Se n(A) e n(C) indicam, respectivamente, o número de elementos de A e de C, então:

a) n (A) > n(C)      b) n(A) = n(C)      c) n(C) é múltiplo de n(A)                   

d) n(A) n(C)       e) n(A) < n(C)

 

3. Sendo q um número natural diferente de zero e Aq = {n N: n múltiplo de q},

a)      Ap Aq = Apq

b)     Se p q então Ap Aq = Æ

c)      Se  r aq, r 0, então Ar Aq

d)      Existe q N, q > 0, tal que Aq = Æ

e)      Ap Aq = Ar onde r = mdc (p,q)

 

4. Seja A um conjunto finito com n elementos , n 2. A respeito das funções de A em A, pode-se afirmar que:

a)      toda função f : A A é injetora

b)      para toda função f : A A, f(A) = A.

c)      o gráfico de toda função f : A A tem n2 elementos.

d)      Se a função f : A A é injetora, então f é sobrejetora.

e)      Toda relação A é uma função de A em A.

 

5. Sejam a e b  dois números naturais, não primos entre si, cujo produto é 420. O máximo divisor comum de a e b é:

a) 1                       b) 2                 c) 3                  d) 5                 e) 7

 

 

7. Para o número complexo, i a soma i + i2 + ... + in , n natural, n > 1, é zero, se somente se,

a) n = 4      b) n é múltiplo de 4.            d) n > 4           d) n = 4k, k = 1, 2, 3,...         e) n é par.

 

8. Seja = 1 – i, onde i é a unidade imaginária. Se z é um número complexo, tal que os números 2z, z2 z3 são vértices distintos de um triângulo eqüilátero, então a parte imaginária de z vale

 

9. Se (n) indica o número de fatores primos de n N, n 2, distintos entre si, então:

 

10. Um tanque é abastecido por duas torneiras. Uma delas enche o tanque em 10 minutos e a outra em 20 minutos. As duas juntas enchem o tanque em:

a) 15 minutos       b) 12 minutos e 40 segundos               c) 9 minutos

d) 6 minutos e 40 segundos                     e) 6 minutos e 20 segundos.

 

11. Uma caixa de forma cúbica contém água. Após a retirada de um litro de água verifica-se
da aresta da caixa é:

a) 15 cm  b) 70 cm          c) 80 cm          d) 85 cm          e) 100 cm

 

12. Uma mistura é composta de 90 Kg de água e 10 Kg de sal. Pondo-a para evaporar, obtém-se uma nova mistura da qual 24 Kg contêm 3 Kg de sal. A quantidade da água evaporada foi de:

a) 79 Kg        b) 76 Kg          c) 69 Kg          d) 66 Kg          e) 20 Kg

 

a) b < a < c         b) a < c < b     c) b < c < a      d) c < a < b     e) a <  b < c

 

14. Se a e b são duas raízes, situadas no intervalo [0, 2], da equação sen x – cos x = m e se

 

15. Se Z um número complexo e seu argumento. Uma condição necessária e suficiente para que Z e Z2 sejam complexos não reais é que:

a) cos 0         b) sen 0        c) cos 2 0        d) sen 2 0      e) sen + cos 0

 

16. A equação 4x + 6x = 2 . 9x

a) não tem raiz real.                                 d) tem infinitas raízes reais.

b) tem uma única raiz real.                       e) tem apenas raízes irracionais

c) tem duas raízes reais.

 

 

18. O gráfico de uma função tem o eixo dos y como eixo de simetria , a distância entre os zeros é 4 e tem –5 como valor mínimo. Esta função quadrática é dada por:

     

d)f(x) =                        e) f(x) =

 

20. A equação IR, admite o  número complexo 1 – i como raiz. O valor de q é:

a) 8                     b) 4                 c) 0                  d) –4               e) –8

 

21. O número de raízes reais do polinômio real P(x) =

a) é 3.                  b) é 2.              c) é 1.             d) é 0.              e) depende do valor de c

 

22. O polinômio  tem o 2 como raiz dupla. A outra raiz é igual a:

a) a + b + c                     b) a + b – c                 c) a – b + c                  d) a – b – c

f) – a – b – c

 

23. Na figura abaixo NMP, MPQ e MAB são ângulos retos. MN = 10 cm e PQ = 15 cm. Então:

 

a)      AB = 6 cm, independente da medida de MP.

b)      AB = 6 cm, apenas se MP = 25 cm.

c)      AB = 6 cm, apenas se MP = 20 cm.

d)      AB = 8 cm e MP = 20 cm.

e)      AB = 8 cm e MP = 20 cm.

 

24. Se M é o pé da perpendicular traçada de um ponto P de uma semi-circunferência de diâmetro AB (M sendo um ponto de AB) a relação que existe  entre as medidas dos segmentos AM, MP e MB é:

a)      as medidas destes três segmentos são sempre iguais.

b)      As medidas destes três segmentos estão em progressão aritmética.

c)      As medidas destes três segmentos estão em progressão geométrica.

d)      A medida de AM é a média proporcional entre as medidas de MP e MB.

e)      A medida de MP é a média aritmética entre as medidas de AM e MB.

 

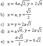
25. Se a = sen 15º, os valores de x e y na figura são:

 

26. Sejam r e s duas retas do espaço, não concorrentes. Pode-se afirmar que:

a)      r e s    não são ortogonais.

b)      r e s    são ortogonais.

c)      r e s    são reversas.

d)      r e s    são paralelas.

e)      Existe uma perpendicular comum a r e s.

 

27. Em Geometria espacial de posição, pode-se afirmar, corretamente, que:

a)      duas retas paralelas a um mesmo plano são paralelas entre si.

b)      Dois planos perpendiculares a um terceiro são paralelos entre si.

c)      Duas retas distintas perpendiculares a um mesmo plano são paralelas entre si.

d)      Retas pertencentes a planos paralelos são paralelas.

e)      Uma reta paralela a um plano é paralela a todas as retas desse plano.

 

Respostas  

1. b

8. a

15. d

22. e

2. d

9. a 

16. b

23. a

3. c

10. d

17. d 

24. c  

4. d 

11. c

18. b

25. a

5. b

12. e

19. e

26. e

6. d

13. a

20. a

27. c

7. b

14. e

21. c