Carlos Isnard
IMPA, Rio de Janeiro – RJ

Considerando a equação (1) do artigo precedente  de S.N. Sato, verificamos que num contexto mais geral, vale também:

Teorema: As soluções de (1) com m, n e p inteiros 0 são dadas por m = p +u, n = p + v, onde u e v são inteiros -p tais que uv = p2.

A demonstração se faz imediatamente substituindo m = p + u e n = p + v em (1). O teorema é um resultado fácil para quem teve alguma indicação prévia de que substituições conduziriam à solução de problema. Essa indicação foi obtida no artigo anterior.

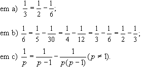
Aos exemplos lá apresentados podemos acrescentar as soluções inteiras provenientes das fatorações p2 = uv com u e v negativos, que nos dão:

O teorema do artigo anterior, sobre soluções inteiras positivas, se pode obter como conseqüência do teorema sobre soluções inteiras que enunciamos acima. Basta provar:

 

Lema: Sejam m > 0, n > 0, p > 0, m = p + u, n = p + v, uv = p2.

Então u > 0 e v > 0.

Demonstração: Se u < 0 ou v < 0 então u e v < 0, porque uv = p2. Teríamos então –p < u < 0 e –p < v < 0, logo |u| < p, |v| < p, portanto |uv| < p2 = uv, contradição.

 

Um problema bem mais complicado é achar as soluções naturais, ou inteiras, de José Felipe Voloch, do IMPA, um especialista em Equações Diofantinas (estudo das soluções inteiras de equações). Por ele soubemos também que o problema geral da representação de chamado o estudo das frações egípcias, porque era nessa forma que os antigos egípcios assunto é tratado no Papiro de Rhind, um dos textos matemáticos mais antigos conhecidos (de 2.000 a 1.800 A.C.).

A equação (1) chamada Fórmula da Ótica, pois se relaciona com a refração da luz. Segundo [3] as soluções naturais ou inteiras dessa equação foram várias vezes redescobertas e publicadas ([5] , [6], [7] e [8]).

Finalizando essas considerações, um exercício: Seja p = p1 c1 ... pk ck, onde os pj são primos e os cj são naturais.


2 k-1 c1 .. ck

 

Referências

[1] Boyer, C., Historia da Matemática, Ed. Edgard Blücher, 1974

[2] Van der Waerden, B.L., Geometry and Algebra in Ancident Civilizations. Springer-Verlang, 1983.

[3] Dickson, L.E., History of the Theory of Numbers, vol II, págs. 688-691. G.E. Stchert New York, 1934

[4] Guy, R.K., Unsolved Problems in Number Theory, págs. 87-90. Springer-Verlag, 1981.

[5] André, D., Nuov. Ann Math. (2), 10, 1871, 298.

[6] Dujardin L’intermédiaire des math., 2, 1895, p. 3.

[7] Whitworth, P., Math. Quest Educ. Times, 75, 1901, 85.

[8] Sós, E., Zeitschrift Math. Naturw. Unterricht, 36, 1905, 97.

[9] Lagoutinski, M., L’intermédiaire des math., 4, 1897, 175.