Sérgio Noriaki Sato
Univ. Farias Brito
Guarulhos – SP

Consideremos o problema: determinar m e n inteiros positivos tais que

 

Solução:

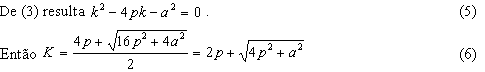
Supondo m n temos a = m – n. Portanto a é inteiro.

porque k > 0 e a outra raiz de (5) é 0 (o produto das raízes é –a2 0).

Observamos que m e n são inteiros se, e somente se, u e v são inteiros.

De (7) obtemos . Portanto, p2 = uv. Em conseqüência, v > 0.

Chegamos assim ao

Teorema: As soluções de (1), com m, n e p inteiros > 0, são dadas por m = p + u, n = p + v, onde u e v são inteiros > 0 tais que uv = p2.

Exemplos:

a)       para p = 3:

Obtemos duas soluções

b)      para p = 6:

uv = 36 = 1.36 = 2.18 = 3.12 =  4.9 = 6.6, que nos dão

c)       p natural qualquer.

Então uv = p2 = 1 . p2 = p . p

Temos pelo menos duas soluções, que quando p é primo são as únicas:

 

 

Sérgio Noriaki Sato é graduado em Física e, atualmente, professor
Na Universidade Farias Brito em Guarulhos, SP.