26a. Olimpíada Internacional de Matemática:

realizou-se, no início de julho, na Finlândia. O Brasil participou com uma equipe de seis estudantes, dois dos quais receberam um 3o. prêmio. A participação do Brasil só foi possível graças ao suporte financeiro de firmas particulares. A Comissão de Olimpíadas da SBM, a SBM e todos aqueles que lutam pela melhoria do ensino da Matemática no país, agradecem à CHAMPION, Papel e Celulose do Brasil, ao Banco ITAÚ, à IBM do Brasil, à BAURÚ Refrigerantes e Cia. Ltda. e ao Colégio IMPACTO, o apoio recebido.

Este ano, 39 países estiveram representados na Olimpíada, reunindo 210 estudantes. Os dois brasileiros premiados se classificaram na primeira terça parte dos que talvez sejam os melhores do mundo. Parabéns a estes estudantes e demais membros da equipe que, apesar de terem iniciado seus estudos, como milhares de outros, em escolas públicas, conseguiram, com a ajuda de seus professores de Matemática, atingir um nível de excelência do qual o Brasil pode orgulhar-se. O Brasil que tanto se orgulha de seus jovens chutadores de bola e seus técnicos deveria também prestigiar seus jovens matemáticos em potencial e seus professores.

Na 26a. Olimpíada, o país de melhor desempenho foi a Romênia, cuja equipe fez 201 pontos (em um total de 252 possíveis), seguido dos Estados Unidos com 189 pontos e a Hungria com 168 pontos. O Brasil ocupou o 15o. lugar, e teve desempenho melhor do que alguns países europeus e melhor do que o de todos os países latino-americanos participantes.

A 27a. Olimpíada realizar-se-á, em 1986, na Polônia. A SBM já iniciou sua luta para obter recursos a fim de preparar e enviar uma equipe que representará o Brasil naquele evento.

 

7a. Olimpíada Brasileira de Matemática:

Realizou-se no dia 21 de setembro, com provas em quase todos os estados do Brasil. Os resultados tornar-se-ão públicos em outubro, não havendo tempo hábil para incluí-los na RPM 7. (*)[1]

Dado o interesse que os leitores demonstraram pelas questões das seis primeiras Olimpíadas Brasileiras, oferecidas na RPM 6, publicamos abaixo a prova de Rio e São Paulo da 7.ª Olimpíada. As três primeiras questões foram comuns para todos os estados, enquanto que a 4.ª e a 5.ª foram escolhidas pelos Coordenadores Regionais de um “banco de questões”.

 

     Questões da VII Olimpíada Brasileira de Matemática

1)      a) Sejam a, b, c, d inteiros tais que ad ¹ bc. Demonstre que é sempre possível

b) Encontre a soma

2)      Dados n pontos no plano, demonstre que existem 3 deles que determinam um ângulo

3)      Um quadrilátero convexo está inscrito em uma circunferência de raio unitário. Demonstre que a diferença entre seu perímetro e a soma de suas diagonais é maior do que zero e menor do que 2.

4)      Sejam a, b, c, d inteiros. Demonstre que x2 + ax + b = y2 + cy + d tem uma infinidade de soluções (x,y), com x e y inteiros, se e somente se a2 –4b = c2 –4d.

5)      Sejam A e B números reais. Determine uma condição necessária e suficiente para que Ax + B [x] = Ay + B [y] apenas quando x = y. (Obs.: [x] é inteiro e [x] x < [x] + 1.)

A 3.ª questão parece ser a mais difícil e a seção de Olimpíadas da RPM gostaria de receber e publicar soluções elegantes, enviadas por leitores. Segundo o autor, problema admite a seguinte generalização:

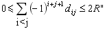
“Se P1, P2, ..., P2n forem pontos de uma circunferência de raio R e, se chamarmos dij  a distância entre Pi  e Pj, então

Não conhecemos ainda uma demonstração deste fato que faça uso apenas de Matemática Elementar. A seção de Olimpíadas da RPM oferecerá um prêmio a quem nos enviar, em primeiro lugar, uma demonstração correta e elementar.

 

Olimpíadas regionais de Matemática

1 - Realizou-se em 15/06/85 a I Olimpíada Capixaba de Matemática que envolveu 135 estudantes do Espírito Santo. A Olimpíada foi coordenada pelo professor Luiz Pedro Oroz (Dep. de Matemática da UFES – CEP 29000 Vitória, ES).

Um dos nove problemas da prova foi:

“Encontre todos os inteiros positivos x e y tais que (x + y) (x – y) = 1985”

2 - Está em andamento a 9.ª Olimpíada de Matemática do Estado de São Paulo, coordenada pela Academia de Ciências do Estado de São Paulo (Cx. Postal 22297, CEP 01498, São Paulo, SP). As provas da 2.ª fase se realizaram no dia 5/10/85 e a final será no dia 13/12.

Um dos problemas da 2a. fase, para alunos de 6.ª série, dizia

“Numa lição de casa havia um exercício que pedia o quociente e o resto de muitas divisões. O aluno, com preguiça, resolveu fazer tudo com a calculadora. Apareceram divisões e ainda usando a calculadora, saber qual é o quociente e o resto?”

A Academia de Ciências do Estado de São Paulo promoverá, em 1986, a 10.ª. Olimpíada e, por se tratar da 10.ª, planeja fazer dela uma grande festa com muitos prêmios a serem distribuídos.

3 - A Olimpíada do Rio de Janeiro foi promovida, este ano, pela SBM. Realizou-se em duas etapas e os classificados na 1.ª etapa adquiriram o direito de participar da Olimpíada Brasileira.

Pedimos novamente notícias sobre Olimpíadas Regionais em andamento ou programadas para 1986, pois queremos divulgar este importante trabalho que tantos colegas anônimos heroicamente realizam.


__________________
(*)[Em tempo: Alunos premiados na 7.ª Olimpíada Brasileira (em ordem alfabética). Alexandre de Azevedo Palmeira Filho (SP), André Luiz Viana Malta (RJ), Evandro Gouveia (SP), Marcelo Ricardo Xavier de Mendonça (RJ), Marcos de Castro Pacitti (RJ), Ralph Costa Teixeira (RJ-SP). 
Menção Honrosa
Albert Costa Rebello(RJ), Ernesto Esteves Prudêncio (RJ-SP), José Gentile (RJ), Luciano Bahia (BA)