|  | 
 | 
     | |||
|  | |||||
| 
 
 33. Prove que se x1, x2, x3, x4, x5 são positivos então 
(x1 + x2 + x3 
+ x4 + x5)2
 34. Se ai > 1, então 
 
Prove!  
35. 
 Sejam 0 <
 
 36. Prove que o sistema de equações 
 
37. 
Construímos o círculo circunscrito ao triângulo retângulo Pitagórico 3, 
4, 5. Determine o raio do círculo tangente aos catetos e tangente (internamente) 
ao círculo circunscrito (CRUX-Canadá).  38. (Problema Físico) – Queremos medir o peso de uma barra homogênea de seção retangular. Possuímos um peso de 100g, uma régua graduada, lápis e papel. Como devemos efetuar a medida sem destruir a barra? (Colaboração do Depto. De Física da UFV). 
 
 
1 - Felipe Rogério Pimental de Belo 
Horizonte, MG, nos mandou a demonstração de que  
“Considere A = B = 1. Sendo A = B, temos, 
multiplicando pro A: A2 = AB. Então A2 – B2 = 
AB – B2, donde, (A + B) (A – B) = B(A – B) e, simplificando, A + B = 
B, isto é, 1 + 1 = 1, ou seja, 2 = 1”  2 - Paulo A. da Mata Machado, de Alfenas, MG, enuncia e “demonstra” o seguinte teorema: “Todo triângulo é isósceles”. 
 “Demonstração” 
ABC é um triângulo qualquer. Seja G a 
intersecção da bissetriz do ângulo
 
Tracemos  
 Logo, AD = AE (1) e DG = GE (2) Tracemos GB e GC. Tem-se:  
 Logo DB = EC (3). E somando-se as igualdades (1) e (3), teremos: 
AB = AC,             
c.q.d.  3 - Antonio Carlos Motta de São Paulo, SP, escreveu: “Embora eu esteja certo de que meu relógio está adiantado 5 minutos, ele está, na realidade, com 10 minutos de atraso. Por outro lado, o relógio do meu amigo está realmente 5 minutos adiantado. Nós marcamos um encontro às 10 horas e cada um de nós planeja chegar pontualmente e em cima da hora. Quem chegará em primeiro lugar? Depois de quanto tempo chegará o outro?” (Ver respostas na seção "Artesanato e matemática") 
 
 
28 - São os dados 4 pontos no plano, cada 
ponto num dos lados de um retângulo. Construa o retângulo, conhecido o 
comprimento da sua diagonal.  Podemos supor que os pontos dados A, B, C e D são, nesta ordem cíclica, vértices de um quadrilátero convexo. Caso contrário, dois dos pontos dados coincidem e são um vértice do retângulo solução o que trivializa o problema. Voltando ao caso em que ABCD é um quadrilátero convexo, por um ponto P qualquer do plano, tracemos os segmentos PC’ e PD’, respectivamente eqüipolentes a AC e BC. É claro que se P fosse um dos vértices do retângulo procurado, C’ e D’ pertenceriam aos 2 lados do retângulo (ou aos seus prolongamentos) 
 que não passam por P, logo o vértice oposto a P estaria na circunferência de diâmetro C’D’. Por outro lado, este vértice estaria também na circunferência de centro P e raio igual à diagonal dada. A intersecção de ambas (0,1 ou 2 pontos) seria o vértice Q oposto a P. A solução do problema é obtida pela translação deste retângulo de modo a passar por A, B, C e D. O problema admite, assim, duas, uma ou nenhuma solução. A construção com régua e compasso se simplifica se o ponto P escolhido de início for a intersecção das diagonais AC e BC. 
(resumo de diversas soluções)  
29 - Prove que, para qualquer x
 
 Solução: 
Observamos que o discriminante de t = x2 
– 2x + 3,  
 
(Solução enviada por Luis A. P. Alonso, 
Santos – SP)  NR: A solução acima pode evitar o uso da série geométrica, substituindo-o pelo cálculo da soma dos termos de uma PG: 
 
 
 Solução: 
Para que o enunciado faça sentido, 
suponhamos cos (x + y)
 
 
 (resumo de diversas soluções) 
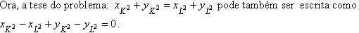
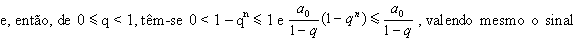
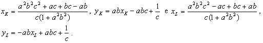
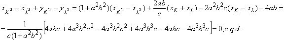
 Solução: 
 
 Donde, tiramos: 
 
 
 
 
 
 Pelo que vimos acima podemos escrever: 
 
 
 
 | |||||||||||||||||||||||||||||||||||||||||||