|
|
Manoel F.
de Azevedo Filho
Fortaleza – CE.
|
Sejam A e B dois conjuntos não vazios com
m e n elementos, respectivamente. Entende-se por aplicação de A e B qualquer
correspondência f que a cada x
A associa um
único y B. Se y
B está associado
a x A, diremos
que x é uma pré-imagem de y e escrevemos f(x) = y. O subconjunto de B dos
elementos que admitem pré-imagem é chamado conjunto imagem.
Uma aplicação de A em B é chamada
aplicação sobrejetora ou sobrejação se o conjunto imagem é B, ou seja, se cada
elemento de B admite pré-imagem. Uma aplicação é dita aplicação injetiva
ou injeção se cada elemento do conjunto imagem admite uma única pré-imagem.
Prova-se que, quando m = n, numa aplicação é sobrejetiva se, e somente
se, é injetiva.
Verifica-se, com certa facilidade, que o
número de injeções que podem ser definidas de A em
O problema de se estabelecer uma fórmula
direta determinando o número de sobrejeções que podem ser definidas de A em B,
contudo, não é tão fácil. Esta é uma versão do problema de determinar o número
de modos em que se pode distribuir m bolas distintas em n urnas distintas de
modo que nenhuma urna fique vazia. Indicaremos este número por
(m,n).
É fácil concluir que
(m,n) = n! e que
(m,n) = 0 se m <
n. Nosso objetivo é demonstrar que:
sejam quais forem m e n.
Vale aqui observarmos que deste resultado
seguem-se imediatamente os seguintes identidades.
A fim de provar a fórmula (1), mostraremos
inicialmente um lema:
(m,n) = n[
(m-1, n-1) +
(m-1, n)], m,n
2.
Fixemos um elemento x0
A e consideremos
o elemento y0
0, tal que f(x0)
= yo. Há duas possibilidades exclusivas:
O número de sobrejeções f de A em B tais
que f(x0) = y0 satisfazendo i) é igual a
(m - 1, n - 1) e
satisfazendo ii) é igual a
(m - 1,n).
Portanto, o numero total satisfazendo f(x0) = y0 é igual a
(m -1, n - 1) +
(m-1,n). Como
existem n possibilidade para y0, segue-se que:
|
Demonstração da Fórmula (1) |
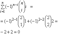
Faremos a prova por indução sobre m. Isto
significa que, para m = 1, devemos mostrar que:

Ora, se n = 1, temos que:
.
Se n = 2, vem
Suponhamos, agora n > 2: usando a
relação de Stifel

que pode ser verificada diretamente,
podemos escrever

E, pela fórmula do binômio de Newton,
temos:
Isto agora a prova de (2) que corresponde
ao cálculo de a (m.n) pela expressão em (1) quando m=1 e n qualquer.
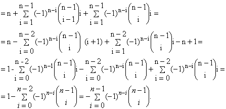
Continuando o processo da prova por
indução sobre m, suponhamos agora que m
2 e que a
formula (1) seria válida para m-1 (e n qualquer) e mostremos que ela também
será verdadeira para m (e n qualquer).
Separemos os casos em que n=1 e n
2. Com e feito
se n=1, temos:
e, portanto, para este caso, a fórmula (1)
está provada.
Suponhamos então que n > 1: pelo lema que
provamos inicialmente, temos que
(m,n) = n [ (m-1,n-1)
+ (m-1,n)].
Usando a hipótese de indução e mais uma
vez a relação de Stifel (3), vem que:
______________________
N.R. – O leitor familiarizado com a linguagem de Análise Combinatória pode
reconhecer entre os números acima e os números de Stirling da 2ª espécie S(m,n)
a seguinte relação:
(m,n) = n! S (m,n)
(para a definição dos números de Stirling
o leitor interessado pode consultar J. Riordan – An Introduction to
Combinatorial Analysis, J. Wiley (1958), páginas de 32 a 48, e 91).
|
Eram gratuitos os sapatos?
|
|
RPM:
1.
Se a historia passasse no instante em que nosso amigo Botelho acabou
de vender seus dez selinhos, o que estaria acontecendo é que dez pessoas (os
compradores dos selinhos) teriam se cotizado para comprar um par de sapatos
para ele.
2.
Na história, nada obriga que cada comprador se limite a adquirir um
par de sapatos apenas. Para citar um caso extremo, podemos supor que o
primeiro comprador, em vez de vender os 10 selinhos que recebeu da loja,
fica com eles e com isso compra mais dez pares de sapatos a 18 mil cruzeiros
cada, recebe 100 selinhos., etc, até acabar com o estoque da loja. Depois,
revende todos os sapatos ao preço oficial de 200 mil cruzeiros. Em vez de um
par de sapatos de graça, ganha muito mais.
3.
Do ponto de vista da loja, o que ela fez corresponde simplesmente a
vender cada par de sapatos a 18 mil cruzeiros , exceto o primeiro, vendido
por 20 mil. Os selinhos são apenas um truque de marketing. A loja vende por
18 mas, como o preço usual é 20, a diferença é dividida entre alguns
felizardos, ou espertos. O exemplo do economista Adão, em que cada habitante
da ilha compra apenas um par de sapatos, é o extremo oposto do caso 2 acima.
Na prática ocorrem, em geral, situações intermediárias em que algumas
pessoas formam estoque para revenda. (Podendo em seguida organizar cartéis
para manipular os preços, mas isto já seria outra história). |
|