Antônio Luiz Pereira
Renate Watanabe

Envie suas perguntas para:
RPM - O leitor pergunta
Caixa Postal 66281
05311-970 São Paulo, SP

Os dois primeiros problemas são clássicos, mas interessantes para quem ainda não os conhece.

     Pesando tijolos

Um leitor de Minas Gerais pergunta: será que é possível obter a resposta com apenas uma pesagem?

Zé Augusto tem nove pilhas com dez tijolos, todas com a mesma altura. Em oito dessas pilhas os tijolos pesam 1 kg cada; em uma delas cada tijolo pesa 1,1 kg. Como ele pode descobrir qual a pilha mais pesada fazendo uma só pesagem?

RPM

Sim, é possível. Coloque na balança:

1 tijolo da 1a pilha + 2 tijolos da 2a pilha + ... + 9 tijolos da 9a pilha. Se todos os tijolos pesassem 1 kg, a balança acusaria

1 + 2 + 3 + ... + 9 = 45 kg.

Se a balança acusar 45,1 kg, a pilha mais pesada é a primeira; se a balança acusar 45,2 kg, a pilha mais pesada é a segunda; ... se a balança acusar 45,9 kg, a pilha mais pesada é a nona.

 

    Tangram

De uma leitora do Rio de Janeiro: Uma garotada e eu estávamos formando quadrados utilizando o Tangram e calculando as áreas das figuras obtidas. Fomos formando quadrados com 1, 2, 3, 4, 5 e 7 peças, mas não conseguimos formar um quadrado usando 6 peças. Teria alguma maneira de provar que não é possível formar quadrados utilizando 6 peças?

RPM

Sim, e a explicação a seguir encontra-se no volume 7 da Coleção Ensino Fundamental, publicada pelo CAEM (Centro de Aperfeiçoamento do Ensino de Matemática) do IME/USP.

O Tangram é formado por 7 peças como indicado na figura. Adotando como unidade de comprimento o lado do quadrado sombreado de cinza, teremos:

-. um quadrado de lado 1 e área 1.
.
dois triângulos congruentes, retângulos e isósceles, de cateto 1,
    logo, de área 1/2.
. um triângulo retângulo e isósceles, de cateto -, e, portanto,
    área 1.
. dois triângulos congruentes, retângulos e isósceles, de cateto 2,
    logo, área 2.
. um paralelogramo de base - e altura - tendo portanto a área 1.

Vamos mostrar que não é possível montar um quadrado usando 6 peças do Tangram, raciocinando por contradição. Supondo que um tal quadrado exista, ele deve ter área igual à área total do quadrado ABCD, 8, menos a área de uma das peças, ou seja: 8 − 2 = 6, 8 − 1 = 7 ou 8 − 1/2 = 15/2. O comprimento de seu lado deveria ser, portanto, igual a -, - ou - = -. Esse comprimento tem que ser igual à soma dos comprimentos de lados de peças do Tangram, que são: 1, - e 2.

Mas, como justificaremos em seguida, isso não é possível e teremos a contradição procurada.

Para completar o argumento, é preciso verificar que, de fato, não se pode obter nenhum dos números -, - ou - = - como soma de parcelas contendo apenas os números 1, - e 2. Observando que 2 < -, - , < 3 e 1 < - < 2 vê-se que o número de parcelas na soma será obrigatoriamente dois, pois, com uma única parcela, teríamos uma soma menor ou igual a 2 e, com 3 ou mais parcelas, teríamos uma soma maior ou igual a 3. P2 + lo mesmo motivo, 1 + 1, 1 + 2 , 2 + 2 e 2 + - também não servem. As únicas possibilidades restantes são 1 + - e 2-, que não são, porém, nenhum dos valores permitidos, como se verifica facilmente tomando os quadrados.

 

    Probabilidade condicional

Um leitor do Maranhão pede a solução de um problema, pois “gostaria de mostrá-la aos meus alunos que pretendem fazer vestibular”.

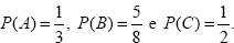
Sejam A, B e C eventos de um espaço amostral com probabilidade -. Suponha que valham os fatos:

1) A ocorrência simultânea de A e B torna impossível a ocorrência de C;

2) Quando C ocorre, as chances de A ocorrer são apenas metade das chances de B ocorrer;

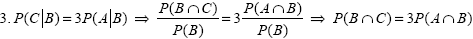
3) Quando B ocorre, o evento C ocorre com três vezes mais probabilidade que o evento A;

4) Pelo menos um dos três eventos necessariamente ocorre. Pergunta-se: qual a probabilidade de que os eventos A e B ocorram simultaneamente? (Questão de um vestibular de 2001/ UFMA.)

a) 5/24          b) 1/6          c) 1/3          d) 1/12          e) 5/64

RPM

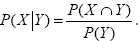
É necessário transformar as quatro afirmações em igualdades. A notação P(X |Y) indicará a probabilidade condicional, isto é, a probabilidade do evento X sabendo que o evento Y ocorreu. A fórmula da probabilidade condicional

é - Temos:

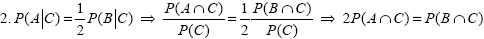
1. P(A B C) = 0, pois:

Se P(A ∩ B) = 0, então P(A ∩ B ∩ C) = 0.

Se P(A ∩ B) ≠ 0 e P(C | A ∩ B ) = 0, então tem-se

- o que implica P(A B C) = 0.

-

-

4. P(A BC ) =1

Das igualdades 2. e 3. ainda vem: -

Usando a igualdade: 1 = P(A BC ) = P(A) + P(B) + P(C) − P(A B) −P(A C) − P(B C) + P(A B C), vem -

E, resolvendo essa equação, obtém-se (alternativa d)

 

    De um leitor do Ceará

Estou enviando uma questão que me desafia há algum tempo: determine os números x tais que

-

RPM

Num primeiro momento, não se sabe nem como começar!

Olhando com mais cuidado, vê-se que o primeiro membro da equação é sempre positivo, mas o segundo membro só é positivo se x > 8 ou x < –6. Então, as soluções, se existirem, devem obedecer a essas desigualdades.

Se x > 8, x2x > 56 e, observando que –1–3–5–7–9– 11–13 = –49, vê-se que o primeiro membro é positivo mesmo sem os sinais de “valor absoluto”. Portanto, a equação dada se reduz a x2x – 49 = x2– 2x – 48, que não tem uma solução para x > 8.

Se x < –6, x2x > 42 e a equação dada se reduz a | x2x – 49| = x2– 2x – 48, isto é, x2x – 49 = ± (x2– 2x – 48).

A equação x2x – 49 = x2– 2x – 48 não tem solução para x < –6. A equação x2x – 49 = −(x2– 2x – 48), equivalente a 2x2– 3x – 97 = 0, tem uma solução λ tal que −7 < λ < – 6. Essa é a única solução da equação dada inicialmente.