Eduardo Tengan
Élvia Mureb Sallum

Soluções e Sugestões
RPM - Problemas
Caixa Postal 66281
05311-970 São Paulo, SP

 

 

Nota: neste número a seção Problemas propõe 5 (e não 4 como usualmente) problemas, alguns no nível do ensino fundamental.

Os assinantes que acertarem os 5 problemas receberão como prêmio:
assinantes pagantes − desconto de 50% na próxima assinatura. assinantes OBMEP − o volume 3 (com textos extraídos da RPM) da coleção Explorando o Ensino/Matemática, MEC.

 

     ...probleminhas

271. Na figura, AD = 2BD. Determine α.

-

(Proposto por Amadeu Carneiro de Almeida, RJ.)

272. Encontre as raízes reais da equação

-

273. Dispõe-se de n cartas de 2 unidades de comprimento cada, empilhadas na borda de uma mesa, como mostra a figura da página seguinte.

-

a) Mostre que o centro de gravidade da pilha de cartas está exatamente sobre o bordo da mesa e, portanto, o arranjo acima é estável.

b) Mostre que existe n para o qual a pilha se estende horizontalmente a pelo menos 2008 unidades de comprimento, a partir do bordo da mesa.

274. Prove que:

a) num triângulo retângulo a medida da mediana relativa à hipotenusa é igual à metade da medida da hipotenusa.

b) todo triângulo pode ser decomposto em n triângulos isósceles, para todo n > 4.

275. Dispomos de contas de a cores distintas e queremos montar colares com n contas cada um. Dois colares são indistinguíveis se um pode ser obtido a partir do outro através de uma rotação. Por exemplo, os dois colares da figura são indistinguíveis:

-

a) quantos colares distintos de n = 4 contas podemos montar se dispomos de contas de a = 7 cores?

b) se n é primo, mostre que podemos montar colares distintos com n contas (dispondo-se de contas de a cores).

(Certifique-se de que você utilizou o fato de que n é um número primo!)

c) conclua que, se n é primo e a é um inteiro qualquer, então an a é um múltiplo de n.

 

     ...probleminhas

1. Joãozinho escolheu um número natural de dois algarismos, multiplicou-o por 3 e elevou o resultado ao quadrado, obtendo um dos números: 72 468; 68 121; 65 936; 64 290 e 49 335. Qual deles?

2. Todos os dias, desde às 6 h da manhã até às 6 h da tarde, de 10 em 10 minutos, partem, pontualmente, um ônibus da cidade A para a cidade B, e outro da cidade B para a cidade A. Os ônibus viajam pela mesma estrada e a duração da viagem é de 1 h. O ônibus que sai da cidade A às 10 h acaba cruzando pelo meio do caminho com quantos ônibus vindo no sentido contrário?

3. Qual o valor de A? -

(Tirados do livro Para gostar de Matemática, Chico Nery.)

Respostas no final desta página..

 

     Soluções dos problemas propostos na RPM 63

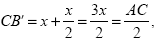
263. Determine, justificando, o conjunto das soluções reais da inequação cos(sen x) > sen(cos x).

Solução

Este problema pode ser resolvido de várias maneiras. Uma delas é analisar o comportamento da função

-

-

Como

-

-

-

substituindo-se em f(x) tem-se

-

Como - os arcos do seno e do cosseno da expressão anterior estão sempre no primeiro quadrante, de modo que ambos os fatores em que f(x) foi decomposto são positivos. Logo, f(x) > 0, ou seja, cos(sen x) > sen(cos x) para todo x real.

(Solução enviada por Gilberto G. Garbi.)

264. Determinar os ângulos diedrais de um octaedro regular, isto é, os ângulos formados por duas faces adjacentes do octaedro.

-Solução

Num octaedro regular todos os ângulos diedrais são iguais (ou congruentes); por isso, no octaedro ABCDEF da figura, basta determinarmos a medida do ângulo AHF, sendo H o ponto médio do segmento CD.

Se α é a medida do ângulo AHO, temos α - ]0, π/2[ e, se l é a medida do lado do octaedro, temos:

-

Como cos2α = cos2α− sen2α = −1/3, vem que 2α = arccos(−1/3) ≈ 109o.

(Solução enviada por vários leitores.)

265. Seja ∆ABC um triângulo tal que-= 60o. Seja H o seu ortocentro e J - AC tal que AJ = 2JC e JC = JH. Mostre que ∆ABC é eqüilátero.

Solução

Seja x = JC, de modo que AC = 3x. No triângulo retângulo ∆ACC’, temos que a medida do ângulo CAC é igual a 60o e, portanto, a medida do ângulo ACC’ é igual a 30o. Como JH = JC, temos o ângulo JHC igual a 30o; logo, o ângulo HJB’ mede 60o.

Portanto, - implicando - isto é, B’ é ponto médio de AC.

Logo, BB' é simultaneamente altura e mediana do ∆ABC, que é, portanto, isósceles com AB = BC. Portanto, - = - = 60° , o que mostra que ∆ABC é de fato eqüilátero.

(Solução adaptada de vários leitores.)

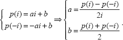
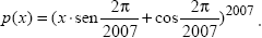
266. Seja p(x) o polinômio de grau 2007, com coeficientes reais,

-

Determine o resto da divisão de p(x) por x2 + 1.

Solução

Como x2 + 1 tem grau 2, temos que o resto da divisão de p(x) por x2 + 1 tem a forma ax + b com a, b - - Temos, portanto,

p(x) = (x2 + 1)q(x) + ax + b

Fazendo x = i e x = −i, obtemos

-

Pela fórmula de Moivre, temos

-

-

Substituindo nas expressões de a e b, temos a = 0 e b = 1, isto é, o resto da divisão é 1.

(Solução adaptada de diversos leitores.)

Observação

Conforme observaram alguns leitores, a solução acima pode ser adaptada para mostrar que o resto da divisão de (cos θ + x sen θ)n por x2 + 1 é cos (nθ) + x sen (nθ).

 

Relação dos leitores que enviaram soluções dos problemas da RPM 59

Amadeu Carneiro de Almeida, RJ: 265, 266 Jaime Oliveira, SE: 265, 266
Amaro José de Oliveira Filho, PE: 264, 266 João Fernandes de Moura, RJ: 264, 265, 266
Anselmo Bertossi, SP: 264, 266 Joaquim M. Coutinho, RJ: 264
Antonio Matos dos Santos, PR: 264, 266 Marcelo A. Abrantes Torraca, RJ: 265, 266
Calvet Ramos Elias, MG: 265 Marcelo Bergamini Campos, MG: 264, 265
Carl H. Schinke, RJ: 264 Marcelo da Silva Mendes, PI: 265
Carlos Augusto Aguilar Jr., RJ: 265 Marcelo Márcio Morandi, SP: 264, 265
Carlos N. C. de Oliveira, SP: 264, 265 Milton Dini Maciel, SP: 265, 266
Domingos S. B. de Sousa, CE: 263, 264, 266 Paulo R. Furtado Dias, RJ: 263, 264, 265, 266
Edson Roberto Abe, SP: 264, 265, 266 Pedro Vicente Nascimento Bica, RS: 264, 265
Erick Simões da C. e Silva, RJ: 264, 265 Ricardo Klein Hoffmann, RS: 264, 265, 266
Eudes Antonio da Costa, TO: 264, 265 Rodrigo do C. Silva, SP: 264, 265, 266
Fernando Carvalho Ramos, RS: 264, 265 Sabrina Zancan Peripolli, RS: 266
Francisco Blasi Jr., SP: 264, 265, 266 Sebastião Paulo Tonolli, SP: 264, 265
Gilberto G. Garbi, PR: 263, 264, 265, 266 Tsunediro Takahashi, SP: 264, 265, 266
J. Cláudio M. Velloso, RJ: 264, 265, 266

Zilton Gonçalves, RJ: 265, 266

-

Respostas dos ...probleminhas

1. 68 121     2. 11     3. 360