Antônio Luiz Pereira
Renate Watanabe

Envie suas perguntas para:
RPM - O leitor pergunta
Caixa Postal 66281
05311-970 São Paulo, SP

Uma professora recém-formada, do Rio de Janeiro, tem enviado várias perguntas para a RPM. Acreditando que muitos dos nossos leitores tenham dúvidas semelhantes, publicamos, a seguir, algumas delas.


     Como fazer? Esse problema é uma PA de 2ª ordem?

Observe a seqüência: 2, 6, 12, 20, 30.... Continuando assim, qual será o 20 termo da seqüência?

RPM

A resposta do problema pode ser obtida rapidamente se observarmos que (2, 6, 12, 20, ...) = (1 × 2, 2 × 3, 3 × 4, 4 × 5, ...). Então o vigésimo termo será 20 × 21 = 420.

Alternativamente, também é razoável supor, a partir dos dados, que se trata de uma PA de 2ordem. Observe:

6 -2 = 4
12 - 6 =6
20 - 12 = 8

ou

a2 - a1 = 4 = b1
a
3 - a2 = 4 = b2
a
4 - a3 = 4 = b3
.
.
.

a20 - a19 = 4 = b19

Veja como apareceu na última igualdade o número 40: os números b1, b2, ..., b19 formam uma PA de razão 2 e primeiro termo 4.

O 19 termo é b19 = 4 + (19 − 1)2 = 40.

Somando as igualdades da coluna à direita da página anterior, no primeiro membro sobra apenas −a1 + a20, pois os outros termos se cancelam dois a dois. No segundo membro há a soma b1 + b2 + ... + b19 , que é a soma dos 19 termos de uma PA e por isso é igual a -

Então, −a1 + a20 = 418 ou a20 = 418 + 2 = 420.

 

 

    Tentei fazer esta questão usando uma planilha

Num colégio verificou-se que 120 alunos não têm pai professor, 130 não têm mãe professora e 5 têm pai e mãe professores. Qual o número de alunos no colégio, sabendo que 55 alunos possuem pelo menos um dos pais professor e que não existem alunos irmãos?

RPM

Para resolver o problema, vamos considerar:

x = número de alunos que têm ambos, o pai e a mãe, professores.

y = número de alunos que têm apenas a mãe professora.

z = número de alunos que têm apenas o pai professor.

w = número de alunos com ambos, o pai e a mãe, não professores.

Dos dados do problema obtemos as equações:

x = 5

x + y + z = 55

y + w = 120

z + w = 130

Das duas primeiras obtemos y + z = 50, que, substituindo na soma das duas últimas, fornece 2w = 250 − 50 = 200 ou w = 100. Daí o total de alunos é x + y + z + w = 55 + 100 = 155. Observamos que a informação de que não existem alunos irmãos é irrelevante, uma vez que estamos contando alunos e não pais.

 

 

    A leitora ainda pediu...

...a solução de um problema de contagem, clássico, que tem uma resolução interessante: Quantas soluções inteiras positivas tem a equação x1 + x2 + x + x4 + x5 = 11?

RPM

Um jeito bom de resolver esse tipo de problema é pensar no número 11 como se fossem 11 barras definindo 10 “caixas” como na figura:

-

Em seguida, escolher 4 caixas e jogar um sinal + em cada uma delas. Para cada escolha obtém-se um modo de escrever 11 como soma de 5 inteiros positivos. Assim:

-

Agora é só contar de quantos modos podem-se escolher 4 “caixas” dentre as 10 possíveis: - que é a resposta do problema.

Observamos que nesta resolução estamos considerando “soluções positivas” como sendo as que são estritamente maiores que zero. Se considerarmos “soluções positivas” como sendo as que são maiores ou iguais a zero, a resolução será diferente:

Colocamos 4 sinais “+” que vão definir 5 intervalos (as 5 parcelas da soma) e nesses intervalos distribuímos 11 barras. Por exemplo,

[ l l l ] + [       ] + [ l l l l ] + [ l l l l ] + [       ]

significa 3 + 0 + 4 + 4 + 0.

Para determinar quantas dessas distribuições existem, contamos as permutações (com repetição) de 11 + 4 objetos, 11 de um tipo (barras) e 4 de outro (+), resultando -

 

 

    Ainda a mesma leitora

A negação de “Fará sol em todos os dia do mês” é:

a) choverá em todos os dias do mês

b) não fará sol em nenhum dia do mês

c) em pelo menos um dia do mês, choverá

d) em pelo menos um dia do mês, não fará sol

e) choverá em outros meses.

RPM

Uma leitura equivalente da frase “Fará sol em todos os dias do mês”é “Qualquer que seja o dia do mês, fará sol”.

A negação de “qualquer que seja” em lógica, e mesmo na linguagem corrente, é “existe pelo menos um”.

Então a negação de “Qualquer que seja o dia do mês, fará sol” é “Existe pelo menos um dia do mês em que não fará sol” (alternativa d).

(Observação: “não fazer sol” não é equivalente a “chover”.)

 

    De um vestibular do amo 2000

Um leitor da Bahia nos conta que o teste abaixo constou de uma prova de vestibular com 64 testes de Matemática, Física, Química e Biologia, para serem resolvidos em 4 horas. Nessas circunstâncias o teste exigiria uma resolução rápida que o leitor não estava visualizando.

Numa pesquisa sobre o consumo dos produtos A, B e C, obteve-se o seguinte resultado: 68% dos entrevistados consomem A, 56% consomem B, 66% consomem C e 15% não consomem nenhum dos produtos. Qual a percentagem mínima de entrevistados que consomem A, B e C?

A) 30%      B) 28%      C) 25%      D) 27%      E) 20%

RPM

De fato, existe uma resolução rápida. Raciocinando intuitivamente:

Temos uma região de área 100 que deve ser ocupada por objetos A, B e C, de áreas 68, 56 e 66 respectivamente, deixando livre uma região de área 15. Sobram 85 unidades de área. Coloquemos primeiro A e depois B. Ao colocar A sobram 17 unidades de área “livres”. Para acomodar B é necessário invadir pelo menos 39 unidades já ocupadas por A. Se for feito exatamente isso, sobram 17 unidades ocupadas somente por B e 29 ocupadas somente por A, ou seja, 46 unidades ocupadas apenas por A ou apenas por B. Ao colocar C teremos, obrigatoriamente, que colocar 20 (66 − 46) no trecho já ocupado por A e B. (Tratandose de um teste, e sendo 20 a menor das alternativas, essa será a resposta.)

Se não fosse um teste, poderíamos continuar o raciocínio:

Se B avançar mais do que o necessário sobre a área ocupada por A, então se perde duas vezes: uma na parte que só era ocupada por A e outra na parte que só era ocupada por B e só se libera uma parte. Por exemplo, se B ocupar 40 unidades de área já ocupadas por A, então sobram de área ocupada por A apenas 28 unidades e da área ocupada apenas por B, 16 unidades e 1 unidade não ocupada por ninguém. No total 45 unidades de área que podem ser ocupadas por C. Sobram agora 66 − 45 = 21, em que haverá ocupação pelos três. Assim, a maneira ótima é fazer A e B coincidirem apenas onde necessário, ou seja, em 39 unidades e sobram 46 unidades que podem ser ocupadas por C. Daí, 66 − 46 = 20 será o mínimo de coincidência.

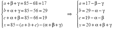
Resolvendo o problema da maneira mais convencional, como a seguir, obtémse um sistema de 4 equações com 7 incógnitas. Requer algum tempo para descobrir um caminho que leve à solução. Achado o caminho, o resto é fácil.

--

Fazendo (4) – (1); (4) – (2); (4) – (3), ou, diretamente da figura, obtém-se:

-

x é mínimo se α + β + γ =0 , isto é, x = 20.

Para x mínimo tem-se: α = β = γ = 0, a = 17, b = 29, c = 19.

 

    É só mudar a variável

De um leitor do Rio Grande do Sul: Determine os números reais x que satisfazem a equação

-

Substituindo a variável x por y + 2019, a igualdade fica:

-

isto é,

 

Essa igualdade é verdadeira para y = 0.

Se y > 0, o primeiro membro da igualdade é maior que o segundo membro e, se –13 < y < 0, o segundo membro é maior do que o primeiro. Portanto, a única solução da equação dada é y = 0, ou seja, x = 2019.

 

    Onças e antas

Na RPM 63, nesta seção, apresentamos um problema enviado por um leitor do Ceará e escrevemos: “Tentamos (resolver o problema) e... encontramos uma solução. Que tal vocês tentarem? Publicaremos no próximo número (neste) a nossa solução e as que os leitores nos enviarem.” Nenhum leitor, além do autor da pergunta, nos enviou solução.

O problema:

Há pelo menos duas onças na floresta. Cada onça mordeu pelo menos três antas. Para cada duas onças, há exatamente uma anta que foi mordida por ambas. Para cada duas antas, há pelo menos uma onça que mordeu ambas. Uma das onças mordeu três antas. Afinal, quantas onças e quantas antas há na floresta?

Apresentamos, então, o seguinte esquema, que mostra que 7 onças e 7 antas satisfazem as condições do problema: