Eduardo Tengan
Élvia Mureb Sallum

Soluções e Sugestões
RPM - Problemas
Caixa Postal 66281
05311-970 São Paulo, SP

 

 

267. Numa folha quadrada de papel desenhe ou dobre um ângulo θ, marque a metade da folha e a metade da metade. Dobre a folha de modo que A caia em um ponto A’ pertencente a r e B em um ponto B’ pertencente a s (ver figura). Marque os pontos A’, B’ e C’, o correspondente de C na dobra. Prove que AB’, AA’ e AC’ trisseccionam o ângulo θ.

-

(Enviado por Severino Toscano, SP.)

268. Seja f: N N uma função tal que f(f(x)) = x para todo x N.

a) Mostre que f é bijetora.

b ) Exiba uma função f com a propriedade acima e tal que f(x) ≠x para todo x N.

269. Seja

f(x) = sen x + cos x + tg x + cotg x + sec x + cossec x

a) Mostre que - sendo

-

b) Determine o valor mínimo de | f(x) | no maior domínio possível.

270. Dispõe-se de 2007 moedas “viciadas” M1, M2, ..., M2007. Sabe-se que, em um lançamento, a probabilidade de se obter cara na moeda - Se as 2007 moedas são lançadas simultaneamente, qual é a probabilidade de que o número de caras obtidas seja ímpar?

 

     ...probleminhas

1. Em um armazém há um certo número de fardos, todos iguais. Usando um caminhão grande, capaz de transportar 60 fardos em cada viagem, são necessárias n viagens para transportar todos os fardos, sendo que, na última delas, sobra lugar para mais 14 fardos. Se fosse usado um caminhão pequeno, capaz de levar 25 fardos em cada viagem, mesmo aumentando de 7 o número de viagens, faltaria espaço para alguns fardos, porém, com uma viagem a mais, sobraria espaço. Determine o número n de viagens necessárias para transportar todos os fardos com o caminhão grande.

(Olimpíada de Matemática 1984.)

2. Em uma gaveta estão colocados 10 pares de luvas brancas e 10 pares de luvas pretas, totalmente misturadas. É impossível perceber pelo tato se uma luva é da mão esquerda ou da mão direita. Qual é o número mínimo de luvas que uma pessoa, de olhos vendados, deve retirar dessa gaveta para ter certeza que tirou um par de luvas da mesma cor? E para ter certeza que tirou um par de luvas brancas?

(Retirado do livro Para gostar de Matemática, de Chico Nery.)

3. Intercalando sinais de adição entre dois números quaisquer da seqüência 1 2 3 4 5 6 7 8 9 e efetuando o cálculo indicado, obtemos um determinado resultado, por exemplo, 1 + 2 + 3 + 4 + 56 + 78 + 9 = 153. De quantas maneiras diferentes podemos intercalar sinais de adição na seqüência de modo a obter a soma 99?

(Enviado pelo prof. Chico Nery.).

Respostas no final desta seção..

 

 

     Soluções dos problemas propostos na RPM 62

259. Seja P(x) = x10+ a1x9+ a2x8 + ... + a9x + 1, com ai > 0, i = 1, ..., 9. Prove que, se as raízes de P são reais, então P(2) > 310.

Solução

As raízes de P(x) = x10 + a9x9 + a8x8 + ... + a1x + 1 são obrigatoriamente negativas, pois os coeficientes ai não são negativos.

Sejam −α1, −α21, …, −α10 essas raízes, αi> 0, i = 1, 2, ..., 10.

Podemos, então, escrever

P(x) = (x + α1)(x + α2)...(x + α10) e

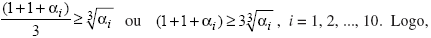
P(2) = (2 + α1)(2 + α2)...(2 + α10) = (1+1+ α1)(1+1+ α21)...(1+1+ α10).

Lembrando que a média aritmética de 3 números não negativos é sempre maior ou igual à sua média geométrica, temos

-

-

Das relações de Girard, o produto das raízes vale 1 e, portanto, segue que:

(2 + α1)(2 + α2)…(2 + α10) > 310.

(Solução enviada por José Lázaro Porto, RJ.)

260. Dado um segmento AB, achar, justificando, o lugar geométrico dos pontos X que são vértices de triângulos ABX tais que a medida do ângulo interno no vértice A é o dobro da medida do ângulo interno no vértice B.

Solução

Considere um sistema ortogonal em que A = (0, 0) e B = (a, 0), a > 0, como na figura da página seguinte.

Seja X = (x, y), y > 0, um ponto que obedece à condição do problema. Então, necessariamente, temos 0 < α < 60º e x < a.

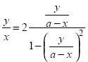
Para 0 ≠ x < a, temos - e, como -tem-se -(1) e multiplicando em cruz, simplificando,completando quadrados e efetuando divisões adequadas (tente!) chegamos-

-

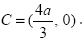
Assim, mostramos que se X = (x, y), com y > 0 e x ≠ 0, obedece à condição do problema, então, X pertence ao ramo esquerdo superior da hipérbole dada por (2) que tem focos A = (0, 0) e -

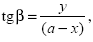
Reciprocamente, se X = (x, y), com y > 0 e x ≠ 0, pertence ao ramo esquerdo superior da hipérbole, então, X obedece a (1) e, chamando m(∠ ABX) = β, temos - logo

Assim, X obedece à condição.

Para y > 0 e x = 0, X = (0, y) obedece à condição se e só se α = 45º, isto é, se e só se X = (0, a).

Por simetria em relação à reta AB podemos concluir que o L.G. é o ramo esquerdo da hipérbole (2) sem o vértice -

E se permitíssemos y = 0, isto é, ∆ABC triângulos degenerados, qual seria o L.G.?

(Solução adaptada das enviadas por vários leitores.)

261. Dados (n + 1) números inteiros positivos, nenhum deles maior que 2n, n > 2, mostre que

a) existem dois deles tais que um é múltiplo do outro;

b) existem dois deles que são primos entre si.

Solução

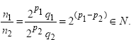
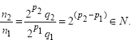
a) Seja A = {1, 2, ..., 2n}, n natural, n > 2. Todo número inteiro positivo pode ser escrito na forma n = 2p.q, p, q naturais com q ímpar e p um inteiro não negativo. Como existem n inteiros ímpares em A, escolhendo n + 1 números desse conjunto, pelo princípio da casa dos pombos (ou princípio de Dirichlet) haverá - p1, p2, q1, q2 N com q1= q2 ímpares e p1, p2 inteiros não negativos.

i) se p1 < p2, então n divide n2, pois -

ii) se p1 > p2, então n divide n1, pois -

b) Se retirarmos n + 1 números de A = {1, 2, ..., 2n}, pelo princípio da casa dos pombos, dois deles têm de ser consecutivos e portanto primos entre si.

(Adaptada da solução enviada por Robério Landim de Carvalho.)

Observação: há soluções semelhantes de a) na RPM 8, p.22, e de b) na RPM 4, p.39.

262. Uma matriz quadrada 3 × 3 é formada por números inteiros, sendo dois deles pares e os demais ímpares, distribuídos de forma eqüiprovável. Calcule a probabilidade de o determinante dessa matriz ser um número ímpar. Resolva o mesmo problema para uma matriz 4 × 4, com dois termos pares e catorze ímpares.

Solução

Em ambos os casos, basta resolver o problema com matrizes formadas por elementos iguais a 0 e 1, pois, por exemplo, a matriz

-

terá determinante ímpar se e só se a matriz formada por 0’s e 1’s tiver determinante ímpar.

Portanto, podemos supor que as matrizes em questão têm dois elementos iguais a 0 e os demais iguais a 1.

a) Se dois 0’s estão na mesma linha ou coluna, haverá duas linhas ou colunas iguais formadas por 1’s e, portanto, determinante igual a 0. Caso contrário, se os dois elementos iguais a 0 não pertencem à mesma linha ou à mesma coluna, então após permutação das linhas e colunas (que multiplica o determinante por ±1 e, portanto, não altera a paridade do resultado) podemos supor que a matriz é

-cujo determinante é 1

Como há - maneiras de escolher as posições dos dois 0’s e, dessas, - maneiras são tais que os dois 0’s estão alinhados, concluímos que a probabilidade de o determinante ser ímpar é 1/2.

b) Neste caso, sempre haverá duas linhas ou colunas iguais formadas por 1’s, logo o determinante será sempre 0. Assim, a probabilidade pedida é 0.

 

Relação dos leitores que enviaram soluções dos problemas da RPM 61

Amadeu Carneiro de Almeida, RJ: 260 João Fernandes de Moura, RJ: 259, 260, 261
Carl Henning Schinke, RJ: 260 José Lazaro Porto, RJ: 259, 261, 262
Eudes Antonio da Costa, TO: 260 Milton Dini Maciel, SP: 259, 260, 262
Fernando Carvalho Ramos, RS: 262 Robério Landim de Carvalho, CE: 261
Francisco Blasi Jr., SP: 259, 262 Rossi Anderson Nogueira, SP: 262

Notas

1. Em relação ao problema 255 da RPM 60: o problema foi resolvido na RPM 62, interpretando XA como a reta que contém os pontos X e A; na segunda figura da solução, o vértice esquerdo abaixo do quadrado deveria ter sido chamado de P = (0, 0) para ficar de acordo com o item 2.

2. Os três ...probleminhas desta seção da RPM 63 foram retirados do livro Para gostar de Matemática de autoria de Chico Nery.

3. Na RPM 62 deixamos de publicar na relação de acertadores o nome do assinante Cláudio Gumieri, que mandou soluções corretas de todos os 6 problemas da RPM 60. Na RPM 63 deixamos de registrar que o leitor Diobel Gomes Travessa, SP, enviou a solução correta do problema 257. A ambos nossas sinceras desculpas.

4. O leitor Sebastião Paulo Tonolli nos enviou a correção do seu nome publicado na lista de acertadores desta seção da RPM 63: publicamos TonElli e não TonOlli que é o correto. A ele nossas sincerras desculpas.

-

Respostas dos ... probleminhas

1. 6 2. 21 e 31 3. 3