Painel I

Como Euler resolveu a equação
do segundo grau


O leitor Carlos Alberto M. de Assis nos enviou a dedução feita por Euler* (1707-1783) da fórmula que resolve uma equação de 2 grau que reproduzimos a seguir.

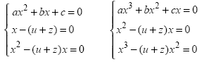
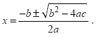
Consideremos a equação do 2 grau ax2+ bx + c = 0 (com a ≠ 0). Euler usou um artifício muito comum em Matemática, conhecido por método de substituição, fazendo x = u + z e, portanto, x2 = (u + z)x, obtendo o sistema da esquerda.

-

Multiplicou todas as equações por x e considerou o sistema linear homogêneo da direita (todos os termos independentes das equações são iguais a 0) nas incógnitas x, x2e x3.

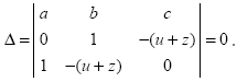
Como conhecia a teoria dos determinantes, Euler sabia que num tal sistema uma das soluções é a solução trivial ou nula e só existe outra solução se o determinante de seus coeficientes, ∆, é igual a 0.

Desse modo, estabeleceu que

-

Desenvolvendo segundo os elementos da 1 linha, obteve

a[−(u + z)2] − b(u + z) + c(−1) = 0 ou

au2 − 2auz az2 bu bz c = 0, o que é equivalente a

au2 + (2az + b)u + az2 + bz + c = 0, uma equação do 2 grau em u.

Para transformar essa equação em uma incompleta em u, fez uma escolha conveniente para z: z = −b / 2a, implicando 2az + b = 0.

A equação au2 + (2az + b)u + az2 + bz + c = 0 ficou reduzida a

au2+ az2 + bz + c = 0, ou seja,

au2 = −az2 bz c.

Substituindo z por −b/2a, obteve

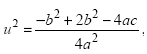
au2 = −a(−b/2a)2 b(−b/2a) − c, ou seja,

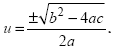
u2 = −b2/4a2 + b2/2a2 c/a,

ou ainda, - ou seja,

Finalmente, substituindo os valores de z e u em x = u + z, vem

- ou seja,

Interessante, não é?

 

* Segundo o livro History of Mathematics de Davis E. Smith, vol II, o método é devido a Euler e Bézout e aperfeiçoado por Sylvester (1840) e Hesse (1844). Esse método também está publicado no livro Matemática Uma breve história, vol. II, de Paulo R. M. Contador.

 

Painel II

A soma dos cubos

José Carlos Magossi
Ceset − Unicamp

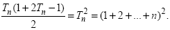
Uma igualdade curiosa sobre os números inteiros positivos é a que fornece a soma dos n primeiros cubos:

1³ + 2³ + 3³ + 4³ +...+ n³ = (1 + 2 + 3 + 4 +...+ n)².

Em geral essa igualdade é demonstrada por indução; mas como chegar a ela intuitivamente? Primeiramente observamos que:

13 = 1; 23 = 8 = 3 + 5; 33 = 27 = 7 + 9 + 11;

43 = 64 = 13 + 15 + 17 + 19; 53 = 125 = 21 + 23 + 25 + 27 + 29; etc.

Isto é, parece que cada cubo m3é a soma de m números ímpares consecutivos. Se isso for verdade, então quando se somam os 2 primeiros cubos, somam-se os 1 + 2 = 3 primeiros ímpares; quando se somam os 3 primeiros cubos, somam-se os 1 + 2 + 3 = 6 primeiros ímpares; quando se somam os 4 primeiros cubos, somam-se os 1 + 2 + 3 + 4 = 10 primeiros ímpares, etc.

Percebemos então o aparecimento de uma outra seqüência interessante: 1, 3, 6, 10, 15, ..., a saber, os números triangulares T1 = 1; T2 = 1 + 2; T3 = 1 + 2 + 3; T4 = 1 + 2 + 3 + 4; T5 = 1 + 2 + 3 + 4 + 5; etc.

Usando-se a fórmula da soma dos n primeiros termos de uma PA de razão 1, temos que o n-ésimo número triangular é dado por

-

Observemos

13 = 1

23 = 3 + 5 = (2T1+ 1) + (2T2− 1)

33 = 7 + 9 + 11 = (2T2 + 1) + 9 + (2T3− 1)

43 = 13 + 15 + 17 + 19 = (2T3 + 1) + 15 + 17 + (2T4− 1)

               ........................

n3 = (2Tn-1 + 1) + ... + (2Tn− 1),

ou seja, 13 + 23 + 33 +... + n3 = 1 + ... + (2Tn − 1), isto é, igual à soma de todos os ímpares de 1 até (2Tn − 1). Essa é a soma dos Tn termos de uma PA de razão 2 e primeiro termo 1, sendo, portanto, igual a

-

Segue então que 13 + 23 + 33 +... + n3 = (1 + 2 + ... + n)2.

Painel III

Parece mas não é, além das cúbicas

José Cloves V. Saraiva

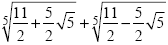
No artigo Parece mas não é, publicado na RPM 62, são apresentados e estudados números reais com aparência irracional, como, por exemplo, - que é igual ao inteiro 2, sendo esses números oriundos de raízes de equações polinomiais cúbicas que surgem na fórmula de Cardano. Conforme o título deste texto, vamos apresentar o exemplo

-

que também é aparentemente um irracional e, no entanto, é igual a 1.

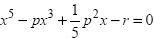
Vamos nos basear no nosso artigo A fórmula de Cardano além das cúbicas, publicado na revista Eureka!, OBM no 15, 2002, em que se mostra que a equação do quinto grau da forma- tem uma raiz dada pela fórmula : -

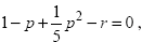
Para obter uma equação desse tipo que tenha raiz 1, deve-se ter - ou seja: p2 − 5p + 5(1 − r) = 0, equação do segundo grau cujo discriminante é ∆ = 5( 1 + 4r). Fazendo r = 11, a equação fica: p2 − 5p − 50 = 0, que tem raízes −5 e 10.

Tomamos então p = −5, chegando à equação do quinto grau x5 + 5x3 + 5x − 11 = 0. A raiz que buscamos é dada por:

-

Inicialmente observamos que a raiz real acima, calculada numa máquina, aproxima-se do valor inteiro 1, mas isso não justifica a igualdade! Mesmo porque, a equação do quinto grau acima pode ter 4 outras raízes além de 1 e alguma poderia ter valor real diferente de 1.

Vamos então provar que o único valor real das raízes da equação x5 + 5x3 + 5x − 11 = 0 é x = 1, sendo todas as outras raízes números complexos. Isso provará a igualdade. De fato, sendo x = 1 uma raiz da equação, então (x − 1) divide x5 + 5x3 + 5x − 11 com quociente x4 + x3 + 6x2 + 6x + 11 e resto 0. Todas as outras raízes estão no quociente que pode ser escrito na forma

x4 + x3 + 6x2 + 6x + 11 = x2(x2 + x + 5) + (x + 3)2 + 2,

que é positivo para todo valor real de x, visto que

- é positivo para qualquer x real.

E, assim, o polinômio x4 + x3 + 6x2 + 6x + 11 nunca se anula, concluindo a prova.

Deixamos para o leitor verificar a igualdade

-

usando que a equação x7 +7x5 − 14x3 − 7x + 13 = 0 tem 1 como raiz.