Eduardo Tengan
Élvia Mureb Sallum

IME-USP

Soluções e Sugestões
RPM - Problemas
Caixa Postal 66281
05311-970 São Paulo, SP

 

 

Nota

O professor Cláudio Possani, um dos responsáveis por esta seção desde a RPM 45, está sendo substituído nessa tarefa pelo professor Eduardo Tengan, PhD/Emory-USA. A RPM agradece a valiosa participação do professor Cláudio Possani na seção com a certeza de que ele continuará colaborando com a revista, o que vem fazendo desde seus primeiros números.

Aviso

Para podermos organizar melhor a correção dos problemas enviados pelos leitores, estamos estabelecendo prazos para o recebimento de suas soluções, após os quais elas não serão corrigidas. Para os problemas 263, 264, 265 e 266, esse prazo limite é 12/10/07.

 

Problemas

263 . Determine, justificando, o conjunto das soluções reais da inequação cos(sen x) > sen(cos x).

264 . Determinar os ângulos diedrais de um octaedro regular, isto é, os ângulos formados por duas faces adjacentes do octaedro.

265 . Seja ∆ABC um triângulo tal que  = 60o. Seja H o seu ortocentro e J - AC tal que AJ = 2JC e JC = JH. Mostre que ∆ABC é eqüilátero.

(Proposto por Carlos H. B. Gonçalves, SP.)

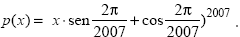
266 . Seja p(x) o polinômio de grau 2007, com coeficientes reais,

-

Determine o resto da divisão de p(x) por x2 + 1.

 

     ...probleminhas

1 . A Câmara de vereadores de uma cidade é composta de 44 membros. Na última eleição foram escolhidos alguns candidatos da situação e outros da oposição. Dos vereadores da situação, 5/6 são do PT, e dos vereadores da oposição, 3/10 são do PFL. Quantos são os vereadores do PFL?

2 . Anteontem meu pai tinha 59 anos e no ano que vem ele fará 62 anos. Qual é a data de aniversário dele?

-3 . Era uma vez uma inacessível e isolada ilha. Nela havia três tribos indígenas, cada uma delas distribuída em duas aldeias, como mostra o mapa. Esses índios eram extremamente ferozes e belicosos. Se dois índios de tribos diferentes por acaso se encontravam, acabavam brigando até um liquidar o outro. Por causa desse sério problema, os chefes das três tribos reuniram-se na tentativa de encontrar alguma solução. Eles pensaram em construir três trilhas, cada uma delas ligando as duas aldeias da mesma tribo, sem que duas quaisquer delas se cruzassem. Assim, cada índio andaria apenas pela sua respectiva trilha, eliminando desse modo a possibilidade de índios de tribos diferentes se encontrarem. Fosse você um dos caciques, como resolveria o problema?

Respostas na seção Cartas

 

     Soluções dos problemas propostos na RPM 61

255 . Seja n um número natural. Mostre que:

a) se 2n − 1 é primo, então, n é primo;

b) se 2n + 1 é primo, então, n é da forma 2k com k natural.

c) se n > 2 e um dos números 2n − 1 ou 2n + 1 é primo, então, o outro é composto.

Solução

a) Suponhamos que o número 2n − 1 é primo. Se n fosse composto, então teríamos n = ab, com a > 1 e b > 1, o que implica: 2n − 1 = 2ab − 1 = (2a)b − 1 = (2a − 1)(2a(b 1) + 2a(b 2) + ... + 2a + 1). Como a > 1, os dois fatores do segundo membro são ambos maiores do que 1, isto é, 2n − 1 seria um inteiro composto, o que contraria a hipótese. Logo, n é primo.

b) Suponhamos que 2n + 1 é um número primo. Para n = 1, 2n + 1 = 3 e n = 20. Para o caso n > 1, lembremos inicialmente o seguinte: se d > 1 é um número ímpar, então x = −1 é raiz de xd +1 = 0; logo, xd + 1 admite a fatoração xd +1 = (x + 1)(xd1 xd2 + ... + x2 x + 1).

Então, se n >1 tem um divisor ímpar, d, n = dq e 2n + 1 = 2dq + 1 = (2q)d + 1 e (fazendo 2q = x) temos 2n + 1 = (2q + 1)(2(d 1)q − 2(d 2)q+ ... + 22q −2q + 1) com 1 < 2q + 1 < 2dq + 1, o que é impossível, já que por hipótese 2dq + 1 = 2n + 1 é um número primo. Logo, 2n + 1 só pode ser um número primo se o expoente n não tem divisores ímpares, ou seja, é da forma 2k com k natural.

c) 1 solução: De a) e b) podemos dizer que, se 2n − 1 é primo, então n > 2 é primo; logo, não pode ser da forma 2k com k natural, o que implica 2n + 1 composto. Se 2n + 1 é primo, então n > 2 não é primo, já que é da forma 2k com k natural maior que 1, o que implica 2n − 1 composto.

2 solução: Como 2n − 1, 2n , 2n + 1 são inteiros consecutivos para n > 2, n - N, então 3 divide um desses números e 3 não divide 2n (pois 3 não divide 2); logo, 3 dividirá 2n − 1 ou 2n + 1.

Se 2n − 1 é primo, 3 não é fator de 2n − 1; logo, 3 divide 2n + 1. Nesse caso, 2n + 1 é composto. De modo análogo obtém-se que 2n − 1 é composto se 2n + 1 for primo.

(Soluções tiradas das enviadas por Amaro J. de Oliveira Filho, PE, e Robério Landim, CE.)

-256 . No mecanismo da figura, articulado nos pontos A e C, o ponto A está fixo na reta r e B percorre r. Supondo AC = BC = CD, mostre que a ponta de um lápis em um ponto P da vareta maior, tal que PC AC, descreve uma elipse (podendo ser uma circunferência ou um segmento).

Solução

Como os triângulos ACB e ACD são isósceles, podemos concluir que os ângulos de suas bases são complementares e, portanto, o segmento AD é perpendicular à reta r. Assim, o lápis em D, P = D, descreve um segmento na reta perpendicular a r em A. Se P = B, o traço é um segmento em r.

-

No sistema de coordenadas cartesianas com origem em A, eixo x = r e eixo y = reta AD, quando P = (x, y) está no segmento BD, temos

o que implica

Logo, o lápis em P descreve, no 1 quadrante, um arco de:

- uma elipse de focos em r, se P está entre B e C;

- uma circunferência se P = C

- e uma elipse de focos no eixo y se P está entre D e C.

-Deixamos para o leitor mostrar que, se P está na semi-reta BD com BP > BD, o lápis descreve um arco de elipse com focos no eixo y, no 2 quadrante.

(Solução adaptada das enviadas por vários leitores.)

 

257 . O resultado do jogo Mega Sena consiste em 6 números sorteados de um conjunto de 60 números, de forma independente e equiprovável. Uma aposta básica é uma aposta em 6 números. Uma aposta em 7 números custa C7,6 = 7 vezes o custo da aposta básica. Um apostador A que faz uma aposta de 7 números paga o mesmo valor que um apostador B que faz sete apostas básicas, de 6 números cada uma.

a) Quem tem mais chance de ganhar o prêmio máximo, isto é, acertar os 6 números sorteados?

b) Quem tem mais chance de fazer uma quina, isto é, acertar exatamente 5 dos 6 números sorteados?

Solução

a) A e B têm mesma chance, pois, para A ganhar, com uma aposta de 7 números, todos os 6 números sorteados na Mega Sena devem estar entre os 7 apostados, logo, existem C7,6 = 7 possibilidades favoráveis, o mesmo que B, que faz 7 apostas (diferentes) de 6 números.

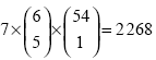
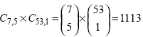
b) Para A ganhar, com uma aposta de 7 números, dos 6 números sorteados na Mega Sena , 5 devem estar entre os 7 apostados e o outro entre os 53 restantes. Assim, existem- possibilidades favoráveis para A acertar a quina. Para B, que faz 7 apostas (diferentes) de 6 números, ganhar, dos 6 números sorteados na Mega Sena, 5 devem estar entre os 6 números apostados e o outro entre os 54 restantes. Assim, existem- possibilidades favoráveis para B acertar a quina.

Portanto, B tem mais chances de ganhar.

(Solução enviada por Rogério César dos Santos, DF.)

-258 . Um copo na forma de um cilindro circular reto está com água até 3/4 de sua altura. Qual é o maior ângulo, α, que podemos inclinar o copo sem derramar água?

Solução

Vamos resolver um problema mais geral: suponhamos que a altura do copo seja h e que o nível da água no copo tenha altura kh com 1/2 < k < 1. (É possível resolver o problema no caso em que 0 < k <1/2 usando técnicas de integração. Deixamos o desafio para os leitores interessados.)

-Sendo R o raio da base do copo, o volume correspondente à parte sem água do copo na posição vertical é igual a πRh(1−k). Esse mesmo volume, no copo inclinado, pode ser calculado como metade do volume do cilindro com raio da base igual a R e altura x.

Logo, obtém-se - Como x = 2R tg α, temos -

Em particular, para -

(Solução adaptada da enviada por Amadeu Carneiro de Almeida, RJ.)

 

Relação dos leitores que enviaram soluções dos problemas da RPM 59

Amadeu Carneiro de Almeida, RJ: 256, 258 João Fernandes de Moura, RJ: todos
Amaro José de Oliveira, PE: 255, 258 José Dimas de Souza Meneghin, MG: 257
Américo Antonio Frigo, SP: 256 Mario Dalcin, Uruguai: 256
Anderson A. de Araújo, SP: 255, 257, 258 Milton Dini Maciel, SP: 256, 257, 258
Antonio José Francisco RJ: 258 Paulo Roberto Furtado, RJ: todos
Antonio Matos dos Santos, PR: 258 Robério Landim de Carvalho, CE: 255
Calvet Ramos Elias, MG: 258 Rogério César dos Santos, GO: 256, 257
Carl Henning Schinke, RJ: 256, 257, 258 Sebastião Maurício dos Santos, MG: 258
Diobel Gomes Travessa, SP: 258 Sebastião Paulo Tonelli, SP: 258
Eudes Antonio da Costa, TO: 258 Tsunediro Takahashi, SP: 258
Francisco Blasi Jr., SP: 256, 258

Nota: O leitor Nilton Silveira, MG, enviou a solução correta do problema 254 e, por falha nossa, seu nome não foi publicado na relação de acertadores da RPM 62. A ele nossas sinceras desculpas.