Alciléa Augusto
Rio de Janeiro, RJ

Correspondência:
RPM – Cartas do leitor
Caixa Postal 66281
05311-970 São Paulo, SP


     Oportunidade perdida

Escreve-nos o colega Joaquim Ferreira da Silva, de Petrolina, PE, contando que, ao ler o artigo da professora Renate G. Watanabe, notou a coincidência entre as atividades propostas sobre Descobertas com cubos (RPM 61, p. 14−16) e um texto que escrevera há aproximadamente um ano, mas nunca o mandou para publicação. O texto, que agora nos chega às mãos sob o título A coloração das faces dos cubos: volume e outros conceitos, considera cubinhos de aresta unitária e cubos formados por esses cubinhos, com arestas de 2, 3, ..., 6, 7 unidades. Faz um estudo análogo ao que é proposto nas atividades do artigo citado, com estudo das funções que calculam o número de cubinhos com 0, 1, 2 ou 3 faces pintadas em termos da medida da aresta, etc.

RPM

Isso acontece muitas vezes. Há exemplos de descobertas científicas que são publicadas quase simultaneamente e independentemente por diferentes pesquisadores. O missivista não conta a razão pela qual deixou de enviar artigo tão interessante para publicação, mas que o caso sirva de alerta a outros colegas que estejam aguardando melhor momento para submeter seus escritos. E o colega de Pernambuco ainda poderá divulgar seu artigo numa outra ocasião ou de uma outra forma.

 

    Sobre um cálculo com radicais

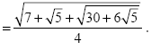
Escreve-nos o colega Paulino Liu, autor do artigo Curiosidades (RPM 36, p.20−24), contando que tem recebido consulta de leitores sobre a seguinte transformação proposta no artigo:

de cos- para cos6° -

Sugere o uso da identidade - para transforma r- em - Usando a mesma identidade, ele transforma - em -

 

Respostas dos ...probleminhas

1. 58 anos.
2. Uma possível resposta é: 2 pessoas recebem 3 envelopes com R$ 100,00, 1 envelope com R$ 50,00 e 3 envelopes vazios; 1 pessoa recebe 5 envelopes com R$ 50,00, 1 envelope com R$ 100,00 e 1 envelope vazio.
3. 80 passos.