Antônio Luiz Pereira
Renate Watanabe

Envie suas perguntas para:
RPM - O leitor pergunta
Caixa Postal 66281
05311-970 São Paulo, SP


     Vinco

De uma leitora de Taubaté, São Paulo

Sou assinante da RPM e gostaria de saber se é possível vocês me ajudarem na solução do exercício abaixo.

Uma folha de papel de dimensões 6 × 8 é dobrada de modo que dois vértices diagonalmente opostos coincidam. Determine o comprimento do vinco.

-

RPM

Os triângulos retângulos BAE e BCF são congruentes porque - (iguais a 90° − -) e AB = BC. Logo, AE = FC = FD = x.

Da figura à esquerda, obtém-se 62 + x2 = (8 − x)2 e, portanto, x = 7/4. Do trapézio, à direita, vem y2 = 62 + (8 −2x)2 = 36 + (9/2)2 = 225/4.

Portanto, y = 15/2.

 

    Achar a resposta ou resolver?

De um leitor de Itapipoca, CE.

Gostaria de contar mais uma vez com o apoio da RPM para solucionar esta questão: Num triângulo ABC, os ângulos A, B e C estão, respectivamente, na razão 4 : 2 : 1. Então para os lados a, b e c, respectivamente opostos a esses ângulos, vale a relação:

-

RPM

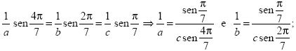
Pelo enunciado, C é o menor ângulo do triângulo e, portanto, c é o menor lado. Se dentre os números a, b e c, o número c é o menor, então dentre os números 1/a, 1/b, e 1/c, 1/c é o maior. Portanto, se realmente um desses três números é igual à soma dos outros dois, esse número será o 1/c – alternativa (d). (Supondo que o teste não esteja furado, embora as alternativas a) e b) sejam iguais, não é difícil encontrar a alternativa correta.)

Um problema mais difícil é mostrar que, de fato, na situação do enunciado, 1/a + 1/b = 1/c.

O procedimento é o seguinte: -

Mas -

Pela lei dos senos e usando identidades trigonométricas, obtém-se:

-

-

 

    Fácil (depois de ver a solução)

De uma leitora de Santo Antônio de Pádua, RJ

Um ex-aluno me procurou para ajudá-lo a resolver alguns problemas. Resolvemos vários, porém um deles não conseguimos. Será que a RPM pode nos ajudar? O problema é o seguinte.

Mostre que em um grupo de 9 pessoas não é possível que cada pessoa conheça exatamente três outras pessoas desse grupo.

RPM

(Pense um pouco antes de ler a solução.) Imagine 9 pessoas: A, B, C, .... Se A conhece B, vamos ligar A com B por meio de um fio e como, nesse caso, B conhece A, vamos ligar B com A por meio de outro fio. Portanto, o número de fios para estabelecer todas as relações “conhece” é par.

Supondo que cada uma das 9 pessoas conhece exatamente 3 pessoas, precisaríamos de 27 fios para estabelecer todas as relações “conhece”. Mas 27 é ímpar. Impossível.

 

    De tirar o sono?

De um leitor de Picos, PI

Por favor! Gostaria de saber se posso contar com vocês para uma dica ou a própria resolução da questão de um concurso. Pois a questão vem me tirando o sono e venho brigando com ela há dias.

Questão: A tabela abaixo apresenta as dimensões do papel enrolado em duas bobinas B1 e B2.

-

Todo o papel das bobinas será cortado de modo que tanto o corte feito em B1 como em B2 resulte em folhas retangulares, todas com a mesma largura do papel. Nessas condições, o menor número de folhas que se poderá obter é:

(A) 135     (B) 137     (C) 140     (D) 142

Na B1 há 2310 cm de papel. Na B2 há 1800 cm de papel.

Como o MDC(2310, 1800) = 30, então:

B1 fornecerá 2310/30 = 77 folhas de 30 cm,

B2 fornecerá 1800/30 = 60 folhas de 30 cm.

O total de folhas será 77 + 60 = 137.

 

    Nautilus

De um leitor de Curitiba, PR

Tenho uma dúvida diferente desta vez. Procurei em muitos lugares, mas não encontrei a resposta. Em vários textos, afirma-se que a ESPIRAL ÁUREA, aquela mesma encontrada no Nautilus, por exemplo, é um caso de espiral logarítmica. Existe alguma expressão para a espiral áurea, ou seja, uma função que forneça o r (distância até a origem) a partir do ângulo? Se existe, qual seria?

RPM

Uma espiral logarítmica é uma curva no plano de equação

x(t) = r(t) cos t

y(t) = r(t) sen t , com r(t) = a ebt, a > 0.

Muitas formas da natureza, por exemplo, a trajetória de um inseto aproximando-se de uma fonte de luz e a concha de muitos moluscos, como o nautilus, são aproximações da espiral logarítmica.

A espiral áurea verdadeira é uma espiral logarítmica na qual a distância à origem é multiplicada pelo número áureo φ, a cada quarto de volta, ou seja, -

O símbolo da SBM (que aparece na capa desta revista) é uma curva que lembra a espiral áurea. Ela é construída colando-se quartos de circunferências cujos raios crescem na proporção áurea (ver RPM 20, p.10). Essa curva, que às vezes também é chamada de espiral áurea, não é, de fato, uma espiral logarítmica.

Para mais informações, incluindo desenhos, equações e histórias, recomendamos a página (em espanhol) www.epsilones.com/paginas/t-historias ou o verbete (em inglês) www.en.wikipedia.org

 

    RPM 61: a seção pede ajuda aos leitores

Na RPM 61, p.57-58, pedimos ajuda aos leitores para resolver um problema de Geometria. Três leitores mandaram soluções, mas somente a solução enviada por Gilberto G. Garbi está correta. A equação que fornece a solução do problema não é algébrica e uma solução aproximada, θ 28°09' , pode ser obtida por processos numéricos.

Os leitores interessados em ver a solução podem escrever para a RPM.

Se forem muitos, publicaremos a solução (comprida) no próximo número.

Se forem poucos, enviaremos uma cópia da solução ao leitor interessado.