Cláudio Possani
Élvia Mureb Sallum

IME-USP

Soluções e Sugestões
RPM - Problemas
Caixa Postal 66281
05311-970 São Paulo, SP

 

 

Nesta seção da revista, os leitores são convidados a resolver os problemas propostos e a enviar as soluções para o endereço acima. A seção sempre publica as soluções dos problemas propostos há dois números da revista. Assim, neste número 60, estamos publicando as soluções dos problemas propostos na RPM 58 e a relação de leitores que enviaram soluções corretas de um ou mais desses problemas. As soluções dos problemas propostos neste número deverão ser enviadas até setembro de 2006 e serão publicadas na RPM 62.

Como boas-vindas aos nossos novos assinantes, professores responsáveis pela OBMEP nas suas escolas, estamos publicando um número maior de problemas, seis, dois a mais que os quatro usuais, e estamos oferecendo uma premiação para os acertadores.

PRÊMIOS para os 500 primeiros assinantes que enviarem soluções

1o) Um CD-Rom da RPM para os que acertarem todos os problemas propostos.

2o) A próxima assinatura da RPM para os que acertarem exatamente cinco dos problemas propostos.

3o) Exemplares da RPM ou o livro (com conteúdo retirado da RPM) editado pelo MEC, Coleção Explorando o Ensino, Matemática vol. 3, ensino médio, para os que acertarem exatamente 4 dos problemas propostos.

     Problemas

250. Na figura, temos duas circun-ferências tangentes em A. Mostre que os segmentos DE e BC são paralelos.

 

 

251. Sabe-se que o número de 7 algarismos 21358ab, em que a é o dígito das dezenas e b o das unidades, é divisível por 99. Determine a e b.

252. (O teste da diagonal) Dois retângulos ABCD e A'B'C'D' são sobrepostos como na figura. Prove que os retângulos são semelhantes se e só se as diagonais AC e A'C' estão na mesma reta. Logo, para verificar se dois retângulos são semelhantes, basta colocá-los como na figura e verificar se as diagonais AC e A'C' estão na mesma reta.

253. Determine o resto da divisão de 1299 + 1499 por 169.

(Enviado por Amadeu Carneiro de Almeida, RJ.)

254. Um retângulo ABCD está dividido, por paralelas aos lados, em 9 re-tângulos menores. Sabendo que os 4 números na figura indicam as áreas dos retângulos correspondentes, provar que a área de ABCD é maior ou igual a 90.

255. Na figura, ABCD é um quadrado, AOB é uma semicircunferência e X é um ponto do quadrado tal que sendo a distância de X ao lado BC, e P a intersecção de XA com a semicircunferência. Qual é o lugar geométrico desses pontos X, tais que ?

      (Enviado por Cláudio Arconcher, SP.)

 

     Soluções dos problemas propostos na RPM 58

242. Prove que um pentágono com os cinco lados congruentes e três ângulos congruentes é regular.

Solução

Como o pentágono tem todos os lados iguais, basta mostrar que ele é inscritível.

1o caso: os ângulos congruentes são consecutivos . Os quadriláteros BAED e EABC são trapézios isósceles, logo inscritíveis e a circunferência que passa pelos pontos B, A, E e D também passa pelos pontos E, A, B e C.

2o caso: os ângulos congruentes não são consecutivos . O AED é isósceles, logo os seus ângulos da base AD são congruentes (de medida a) e, portanto, o quadrilátero ABCD é um trapézio isósceles. Portanto, , recaindo no 1o caso.

(Solução enviada por J. Cláudio M. Velloso, RJ.)

243. Numa urna há m bolas brancas e n bolas pretas, m + n > 2. Fora da urna há uma pilha suficientemente grande de bolas pretas. Tiramos duas bolas da urna e

i) se as duas bolas forem pretas, colocamos uma de volta na urna e descartamos a outra;

ii) se uma for branca e a outra preta, colocamos a branca de volta na urna e descartamos a preta;

iii) se as duas bolas forem brancas, ambas são descartadas e colocamos na urna uma das bolas pretas da pilha.

Executamos essas operações até que reste somente uma bola na urna. Discuta em função de m e n a cor dessa bola remanescente.

Solução

Observe que, após a ocorrência de qualquer uma das três situações do enunciado, o número m de bolas brancas não se altera ou diminui de 2 unidades, mantendo portanto sua paridade. Observe também que o número total de bolas diminui sempre de 1 unidade a cada ocorrência.

Se m for ímpar ao final, teremos uma bola branca; se m for par, no final teremos uma bola preta (e nenhuma branca). O número n de bolas pretas não interfere no resultado.

(Solução enviada por Jonas Dutra Soares, MG, e Américo Antonio Frigo, SP.)

245. Cem "pesos" diferentes, de massas 1, 2, 3, ..., 99, 100, estão distribuídos nos pratos de uma balança de modo que eles ficam equilibrados. Mostre que, qualquer que seja a distribuição dos pesos, é possível retirar dois pesos de cada prato de modo que a balança continue em equilíbrio.

Solução

Vamos supor que os pesos no prato A são bolas pretas e no prato B são bolas brancas. Alinhemos essas bolas por ordem crescente de massa, como ilustrado abaixo:

Queremos mostrar que é possível retirar duas bolas brancas e duas bolas pretas de tal forma que a soma das massas de ambos os conjuntos seja a mesma. Começamos com uma observação simples:

Observação 1

Se existirem duas posições i e j tais que i + 1 < j < 100, as bolas nas posições i e j + 1 são brancas (resp. pretas) e as bolas nas posições i + 1 e j são pretas (resp. brancas), então, retirando os dois pares, a balança permanece em equilíbrio.

Basta então mostrar que a situação descrita na observação 1 deve necessariamente ocorrer.

Podemos supor que a primeira bola é preta. Como devem existir pelo menos três posições ocupadas por bolas brancas. Seja k a primeira posição ocupada por uma bola branca. Vamos examinar as diversas situações e mostrar que ou elas são impossíveis em virtude da hipótese de equilíbrio inicial da balança, ou a situação descrita na observação 1 de fato ocorre.

Suponhamos primeiro que todas as bolas a partir da posição k são brancas. Nesse caso, da hipótese inicial de equilíbrio da balança, obtemos

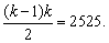
A igualdade acima leva à equação quadrática Como essa equação não possui raiz inteira ( = 20201), essa situação não pode ocorrer.

Podemos, portanto, supor a partir de agora que as primeiras (k 1) bolas são pretas, a k-ésima é branca e existe alguma bola preta entre as posições k + 1 e 100. Seja l a primeira posição a partir de k + 1 onde aparece uma bola preta. Se l > k + 1, então teremos bolas pretas nas posições k 1 e l, bolas brancas nas posições k e l 1 e k < l 1, ou seja, a situação descrita na observação 1.

Podemos portanto supor agora que:

a) as primeiras (k 1) bolas são pretas;

b) a k-ésima bola é branca;

c) a posição (k + 1) é ocupada por uma bola preta.

A situação está ilustrada abaixo:

Se todas as bolas a partir da posição k + 1 fossem pretas, teríamos apenas uma bola branca, o que, como observamos, não pode ocorrer. Seja l a primeira posição a partir de k + 2 em que aparece uma bola branca. Se l > k + 2, então teremos bolas brancas nas posições k e l, bolas pretas nas posições k + 1 e l 1, k + 1 < l 1 e estamos novamente na situação da observação 1.

Se, por outro lado, l = k + 2, então temos duas possibilidades:

a) existe uma posição r > l ocupada por uma bola preta.

b) todas as bolas a partir da posição k + 2 são brancas.

No caso a), teríamos bolas pretas nas posições k 1 e r, bolas brancas nas posições k, r 1 e k < r 1 e recairíamos novamente na situação da observação 1.

Resta analisar o caso b). Nesse caso, da hipótese de equilíbrio inicial da balança, obtemos

A igualdade acima leva à equação quadrática k2 k 5048 = 0.

Como essa equação não possui raiz inteira, essa situação não pode ocorrer. Isso completa a análise e mostra que a situação descrita na observação 1, dada a hipótese de equilíbrio inicial, deve necessariamente ocorrer.

(Solução enviada por Antonio Luiz Pereira, SP.)

Nota

Não publicamos a solução do problema 244, uma vez que nenhum leitor enviou uma solução completa e correta. Se houver interesse dos leitores, a solução será publicada, em forma de um pequeno artigo, no próximo número da revista.

Relação dos leitores que enviaram soluções dos problemas da RPM 58

Antonio Matos dos Santos, PR - 242

João Fernandes de Moura, RJ - 242

Américo Antonio Frigo, SP - 243

Jonas Dutra Soares, MG - 243

Davi da Silva Antunes, SP- 242

Marcelo Bergamini Campos, MG - 243

Eudes Antonio da Costa, TO - 242

Milton Dini Maciel, SP - 242

Francisco Blasi Jr., SP - 245

Robério Landim de Carvalho, CE - 242

J. Cláudio M. Velloso, RJ - 242

Tsunediro Takahashi, SP - 242

     Correções da seção Problemas da RPM 58

1) A solução do problema 235 foi enviada por J. Cláudio M. Velloso, RJ.

2) O problema 244 está relacionado com o material concreto Montanhas de areia do acervo da Matemateca do IME-USP.

3) A relação dos acertadores que foi publicada na RPM 58 é a dos problemas da RPM 55, e não da RPM 56, como seria o correto. Publicamos abaixo a relação correta.

Relação dos leitores que enviaram soluções dos problemas da RPM 56

Américo Antonio Frigo, SP - 237

João Fernandes de Moura, RJ - 234, 236

Carl H. Schinke, RJ - 237

José Evandro Lemes, RJ - 235

Eduardo Luis Estrada, SP - 237

Luciano Monteiro de Castro, RJ - 235

J. Cláudio M. Velloso, RJ - 235

Milton Dini Maciel, SP - 234, 235