Zoárd A. L. Geöcze

Soluções e Sugestões devem ser enviadas para:
PROBLEMAS
Departamento de Matemática Universidade Federal de Viçosa 36570 – VIÇOSA – MG 

 

     Problemas

28.        São dados 4 pontos no plano, cada ponto num dos lados de um retângulo.  Construa o retângulo, conhecido o comprimento da sua diagonal.

29.         Prove que, para qualquer x R e n N*,

31.        Seja an o inteiro positivo mais próximo de . Calcule a soma:

.

32.        Sejam K e L pontos da hipérbole xy = 1, simétricos em relação à origem do sistema
 
 hipérbole, ortogonalmente, sobre as retas MK e ML, obtendo assim os pontos PK e PL. Prove que OPK = OPL.

Observação: Estes exercícios foram reproduzidos da Revista húngara “Jornal da Matemática para o Ensino Médio”, 1974, 1975 e 1980.

   

     ... e Probleminhas  

1.       Oito carros de marcas e cores diferentes, estão alinhados, lado a lado, para uma corrida. Estabeleça a ordem em que os carros estão dispostos e suas respectivas cores, a partir das seguintes informações:

1.            O Ferrari está entre os carros vermelho e cinza.

2.            O carro cinza está à esquerda do Lótus.

3.            O McLaren é o segundo carro à esquerda do Ferrari e o primeiro à direita do carro azul.

4.            O Tyrrell não tem carro à sua direita e está logo depois do carro preto.

5.            O carro preto está entre o Tyrrell e o carro amarelo.

6.            O Brabham não tem carro algum à esquerda e está à esquerda do carro verde.

7.            À direita do carro verde está o Toleman.

8.            O Lótus é o segundo carro à direita do carro creme e o segundo à esquerda do carro marrom.

9.            O Alfa Romeu é o segundo carro à esquerda do Renault.

(Enviado pelo Prof. Eduardo Ignácio Nunes, Rio de Janeiro, RJ)
 

2.      a) Quem escreve todos os números inteiros de 1 até 3428, quantas vezes escreve o  algarismo 3?

b) Quem escreve todos os números inteiros de 1 até 5555, quantas vezes escreve o algarismo 5?

(Enviado pelo Prof. Eduardo Ignácio Nunes, Rio de Janeiro, RJ)

3.      Calcule a medida da diagonal do retângulo inscrito no quadrante de uma circunferência de raio r, como na figura.

(Enviado por Carlos Alberto Rocha Reganati, São Paulo, SP)

(Ver respostas na seção "O que vai por aí")

 

     Soluções dos problemas propostos na RPM, nº 5, 2º semestre de 1984  

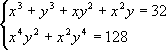
23.        Resolva o sistema de equações

Solução:

e como

x2 + y2 0

podemos dividir, tendo

                                   (I)

como

temos pela 1ª ou pela 2ª equação original

x6 y6 - 32 x3 y3 -2048 = 0

Fazendo Z = (xy)3 a equação será de 2º grau, e suas soluções são Z1=64 e Z2=-32 ou

                                      (II)

                             (III)

e pelas relações (I), (II) e (III)

Assim o nosso sistema original reduz-se a dois sistemas

               

em (i) as únicas soluções são (2, 2)

em (ii), usando outra vez uma equação de segundo grau, temos que

   ou vice-versa

Com isto, o conjunto de soluções reais do sistema é

24.        Sejam  uma circunferência de centro O A e B  dois pontos não antípodas, e seja M o ponto médio de AB. Considere uma corda qualquer XY de  passando por M, e seja P o ponto de interseção das retas AX e BY. Prove que o lugar geométrico dos pontos assim obtidos no plano é uma reta paralela à corda AB (Edson de Faria, São Paulo, SP).

Solução:

Considere a figura:

a)      O teorema de MENELAOS aplicado ao triângulo PAY e à transversal QXB dá

                                                            (1)

b)      O mesmo teorema aplicado ao triângulo PAB e à transversal XMY dá

                                                 (2)

Substituindo em (1) temos:

Ora, este último resultado nos leva a concluir que PQ || AB porém, nada indica até agora que a reta PQ seja fixa. De fato, o círculo ainda não foi utilizado.

É hora de lembra o teorema de Pascal:

“Em todo hexágono inscrito num círculo (ou numa cônica) os pontos de concurso das retas suportes dos pares de lados opostos estão em linha reta”.

Este teorema possui casos particulares interessantes. Um deles resolve o problema em questão. Consideremos o quadrilátero inscrito AYBX como limite do hexágono AA’YBB’X quando 
A’ = A e B’ = B. Neste caso, os “lados” AA’ e BB’ são tangentes ao círculo.

Como a corda AB é fixa, o ponto R é fixo. Se a reta PQ passa por R e é paralela a AB, então PQ é fixa.

(Eduardo Wagner, Rio de Janeiro, RJ.)

Observação: Para este problema chegou somente a solução acima. O autor do problema enviou também a sua solução, usando uma transformação geométrica, a inversão.

 

Solução:

Observemos que 256k+1 =  256k + 256k para todo k , ou ainda

Basta então mostrar que existem infinitos k em N tais que 56k + 1 seja um múltiplo de 9. Mas se 56k + 1 for um múltiplo de 9, então 56 (k + 9) + 1 será também múltiplo de 9 pois
 
9 e k = 4 já serve pois 4 . 56 + 1 = 225 =  9 . 25.

(Resumo da solução de Manuel João de Jesus Almeida, Rio de Janeiro, RJ)

 

26.        Prove que vale a seguinte desigualdade

  Solução:

pois os logaritmos envolvidos são positivos. A igualdade vale se e somente se todos os termos forem iguais, mas isto no nosso caso não acontece, pois os três primeiros logaritmos são maiores que 1 e o quarto é menor que 1.

Logo vale a desigualdade rigorosa.

 

  Solução:

basta provar que

mas isto é verdade, pois em base 8

(Resumo de diversas soluções)

 

Observação: Certas soluções recorrem ao cálculo numérico do lado esquerdo da desigualdade, encontrando um valor ligeiramente maior do que 4. Estas soluções são também aceitáveis.

27.   Lançamos uma moeda tantas vezes, até que durante 3 lançamentos consecutivos o resultado seja 1 1 1 ou 1 0 1 onde 1 representa cara e 0 representa coroa. Qual é a probabilidade de que a seqüência 1 1 1 aconteça antes da seqüência 1 0 1?

(vide artigo do Prof. Flávio Wagner Rodrigues, nº 4, da RPM).

Solução:

Os lançamentos da moeda deverão prosseguir até que ocorra uma das seqüências 1 1 1 ou 1 0 1. Após a ocorrência de uma cara (1) teremos, para o lançamentos seguintes, as possibilidades:

A probabilidade de que a seqüência 1 1 1 ocorra antes da seqüência 1 0 1 será

(José Hernandes, São José do Rio Preto, SP.)

 

Relação dos leitores que enviaram soluções dos problemas 23 a 27 do nº 5 da RPM (em ordem de chegada):  

Carlos A. Mourão Junior (MG) – 23,25,26

Itagiba Franco F. Cárdia (SP) – 23, 26

José R. Carneiro e Carneiro(SP)–23,25,26

Manoel E. Rocha de Azevedo (RN)–23,25

Valdir Ferreira Lobo (CE) – 23

Gilvan Lima de Oliveira (PI) – 23, 26

Roberto Pinheiro Chagas & Graciema Roscoe Santoro (MG) – 23, 26

Paulo S. de Andrade Moraes (MG)–23

Estas soluções chegaram até dia 25 de março de 1985. Continuamos a publicar a lista das soluções chegadas até a edição do nº 6 da RPM.

Sebastião M. dos Santos (MG)–23,26

Inácio Tavares Saraiva (SP) – 26

Manuel J.de Jesus Almeida(RJ)–23,25,26

Luis Felipe Araújo (PB) – 26

Antonio Ferreira Sobrinho (SP) – 23, 26

Francisco J. F. da Silva (CE)–23,26

Relação Complementar

José Joaquim Pires Conde (MG) – 23, 26

Luiz M. da Franca Neto (PB) – 18,20,21

Sun Hsien Ming (SP) – 23, 26  

Maria I. C. Rodrigues (SP)–18,20,21

José Hernandes (SP) – 23, 27

Herval Paccola (SP) – 17, 18 a 22  

Wilson R. T. Rezende (MG) – 23, 26

Sergio Luis Zani (SP) – 18 a 21

Virginia Cardia Cardoso (SP) – 23

Nemer Alberto Zagiur (SP) – 19, 21

Eduardo Wagner (RJ) – 23, 24, 26

Aurélio Magno da F. Pinto (DF)–18,19,20

Francisco Rocha Fontes Neto (MA)–23,26

Dahilson Reis de Castro (RJ) – 20

André Luiz de Faria (RJ) – 23

Heleno da Costa Vital (RJ) – 19

Aparecido Carlos da Silva (SP) – 23

José Bartolomeu de Carvalho (PE) –18,20

Aracoles T. de Jesus Cárdia(SP)–23

Hiroshi Maeda (PR) – 18, 22

Mauré Raimundo Oliveira (MG) – 23

Valdir Ferreira Lobo (CE) – 18, 20

Taibis Freitas de Sousa (BA) – 23

Edilson de Castro Feitosa (CE) – 1

Estas soluções chegaram antes da edição da RPM, nº 5.