Mário Dalcin
Montevidéu, Uruguai

Na obra de Arquimedes (287 a.C. + 75 = 212 a.C.) encontramos o Livro dos Lemas, que contém 15 proposições referentes a temas da geometria elementar. Nas de números 4, 5 e 6, aparece o “arbelos”, ou faca do sapateiro, região limitada por três semicircunferências de diâmetros AB, AC e BC com C pertencente ao segmento AB, estando todas em um mesmo semiplano determinado por AB.

Vamos apresentar e provar as proposições 4 e 5 do livro de Arquimedes e uma nova, inspirada nas duas primeiras.


     Proposição 4 do Livro dos Lemas


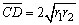
A área do arbelo é igual à área do círculo de diâmetro CD com CD perpendicular à AB e D pertence a semicircunferência de diâmetro AB.


     Proposição 5 do Livro dos Lemas

Seja C1 a circunferência tangente à CD e às semicircunferências de diâmetros AB e AC e seja C2 a circunferência tangente à CD e às semicircunferências de diâmetros AB e CB. Então, C1 e C2 têm mesmo raio.


     Prova da Proposição 4

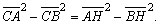
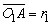
Sendo O1 e O2 os pontos médios de AC e CB, respectivamente, tomemos e . Veja que CD é altura do triângulo retângulo ADB e, portanto, , ou seja, . Portanto, a área do círculo de diâmetro CD é .

Por outro lado, a área do arbelo é
como queríamos demonstrar.

     Prova da Proposição 5

Vamos fazer uma demonstração diferente da apresentada por Arquimedes recorrendo ao seguinte resultado prévio:

Se CH é altura do triângulo ABC, então

De fato, o teorema de Pitágoras aplicado aos triângulos AHC e BHC fornece: .

Observe agora a figura a seguir.

Sendo O o ponto médio de AB, veja que

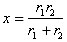
Se P é o centro e x a medida do raio da circunferência tangente a CD e às semicircunferências de diâmetros AC e AB e sendo P' a projeção de P sobre AB, temos: , ou seja,

Usando o nosso resultado preliminar no triângulo , O1OP temos

, ou seja,

Desenvolvendo e simplificando, chegamos a .
Se Q é o centro e y a medida do raio da circunferência tangente a CD e às semicircunferências de diâmetros AB e CB, procedendo exatamente da mesma forma, calculamos . As duas circunferências têm, portanto, mesmo raio. Vamos então chamar essas circunferências de circunferências gêmeas de Arquimedes.

Uma observação interessante é que os triângulos O1OP e O2OQ possuem mesmo perímetro, que é igual ao comprimento de AB.
De fato, o perímetro de O1OPOP é

É imediato verificar que o perímetro de é o mesmo.

     Outro resultado interessante


A menor circunferência tangente às circunferências gêmeas de Arquimedes, deixando ambas no seu interior, tem diâmetro igual a CD.

Vamos dar apenas a indicação da solução, deixando os cálculos para o leitor interessado.

Calcule PP' e QQ' em função dos raios r1 e r2. Em seguida, no trapézio PP'Q'Q calcule PQ e mostre que PQ + 2x = CD.

 


Referências bibliográficas
EVES, H. Introdução à história da Matemática. Campinas, SP: Editora da UNICAMP, 1995.
HEATH, T. L. The works of Archimedes. Dover, U.S.A.: Book of Lemmas, 1953.