Usando o Maple em Geometria Analítica

Lenimar Nunes de Andrade
UFPB - João Pessoa, PB
lenimar@mat.ufpb.br  

     Introdução

O Maple é um programa de computação algébrica de uso geral que possui inúmeros recursos numéricos e gráficos, além de funcionar como uma linguagem de programação. Ele vem sendo desenvolvido no Canadá desde 1981 pela Waterloo Maple Inc. Com ele, é possível realizar cálculos que contenham símbolos como , ou sem a necessidade de fazer aproximações numéricas ou realizar simplificações e cálculos com expressões algébricas como ou sem ser preciso atribuir valores numéricos às variáveis ou constantes. Devido a essas propriedades, é possível encontrar soluções exatas para problemas práticos que envolvam resolução de equações, derivadas, integrais, cálculo matricial, etc., tudo isso integrado a recursos que permitem visualização de gráficos planos ou tridimensionais.

O objetivo deste artigo é dar uma pequena amostra de como esse programa pode ser usado para resolver problemas de Geometria Analítica.

Cada comando digitado deve terminar com um “;” (ponto-e-vírgula) ou com “:” (dois-pontos), seguido de Enter. Se o comando terminar com ponto-e-vírgula, o resultado da sua execução será mostrado logo em seguida. Se terminar com dois-pontos, o resultado não será mostrado, podendo ser usado posteriormente. As operações aritméticas básicas são indicadas por
+ (adição), - (subtração), * (multiplicação), / (divisão) e ^ (potenciação) sendo a ordem de prioridade nos cálculos a mesma utilizada na Matemática.

 

Exemplo 1.1
Ao lado do aviso de prontidão do Maple (um sinal de maior) digitamos e encerramos a linha com um ponto-e-vírgula. Ele calcula a soma e mostra imediatamente o resultado:

9 + x2 - 11a.

A simplificação é fundamental na apresentação de muitos resultados. Para isso, o Maple possui o comando simplify (expressão), entre outros comandos.

 

Exemplo 1.2

Simplificar a expressão
> simplify ( (x^6 + 3*x^5 - 3*x^4 - 42*x^3 - 153*x^2 + 3*x + 11)/
>             (x^6 - 4*x^5 - 15*x^4 + 56*x^3 + 15*x^2 - 4*x - 1 ));

 

Exemplo 1.3

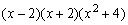
O comando factor (expressão) pode ser usado para fatorar uma expressão dada. Por exemplo, fatorando e , obtemos:
> factor (x^4 - 16);
> factor (x^5 + x + 1); .

 

 

Exemplo 1.4

O comando para resolução de uma equação é o solve (equação). Ele encontra soluções reais ou complexas de equações polinomiais, logarítmicas, exponenciais, trigonométricas, irracionais, etc. Por exemplo,
> solve( x^2 + 4*x + 2 = 0 );
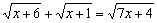
Para resolver a equação , fazemos:
> solve( sqrt(x + 6) + sqrt(x + 1) = sqrt(7*x + 4)); 3
O comando sqrt(x) denota a raiz quadrada de x.

 

     Pontos e retas

Os comandos do Maple estão agrupados de acordo com o assunto, formando pacotes que podem ser chamados com um comando with (pacote).

Por exemplo, o Maple possui um pacote chamado geometry com mais de 100 comandos relacionados com itens de geometria euclidiana plana.

No pacote geometry, um ponto P = (a, b) é definido por point (P, a, b) e uma reta L pode ser definida de duas maneiras com um comando line:

1. Com sua equação e a lista de variáveis: line (L, equação, [variáveis])
2. Com dois de seus pontos A, B e as variáveis: line (L, [A, B], [variáveis])

Entre as muitas funções do pacote geometry relacionadas com os objetos point e line, vamos citar algumas:

coordinates (P) Coordenadas do ponto P
Equation (L) Equação da reta L
slope( L) Declividade da reta L
distance (P, Q) Distância entre os pontos P e Q
distance (P, L) Distância entre o ponto P e a reta L
PerpendicularLine (L2, P, L1) Define a reta L2 que passa pelo ponto P e é perpendicular à reta L1
ParallelLine (L3, Q, L4) Define a reta L3 que passa pelo ponto Q e é paralela à reta L4


Exemplo 2.1
Obter a equação da reta que passa pelo ponto P = (5, -6) e é perpendicular à reta que passa por A = (1, 1) e B = (-3, 2). Inicialmente, definimos o ponto P como objeto geométrico do pacote geometry.

> with (geometry):
> point (P, 5, -6):

Agora, definimos a reta r que passa pelos pontos A = (1,1) e B = (-3, 2).
> line(r, [point (A, 1, 1), point (B, -3, 2)], [x, y]):

Depois de definida a reta r, podemos obter sua equação e sua declividade.
> Equation(r); 5 - x - 4y = 0
> slope(r);

Definimos a reta s que passa por P e é perpendicular a r e mostramos sua equação.
> PerpendicularLine (s, P, r):
> Equation (s); 26 - 4x + y = 0

     Circunferências

Uma circunferência C pode ser definida usando-se o comando circle de uma das quatro maneiras mostradas a seguir:

1. Com três pontos P, Q e R e lista de variáveis: circ(C, [P, Q, R], [variáveis])
2. Com dois de seus pontos P e Q diametralmente opostos e a lista de variáveis: circ(C, [P, Q], [variáveis])
3. Com sua equação e a lista de variáveis: circle(C, equação, [variáveis])
4. Com o centro O e o raio r: circ(C, [O, r], [variáveis])
Citemos algumas das funções do pacote geometry relacionadas com o comando circle:
center (C) Centro radius (C) Raio Equation (C) Equação

Exemplo 3.1
Seja C a circunferência cuja equação é .
Calcular as coordenadas do seu centro e o seu raio.
> with (geometry):
> circle (C, x^2 + y^2 -3*x + 7*y - 1 = 0, [x, y]):

> coordinates (center (C));
> radius (C);

O comando solve também pode ser usado para resolver sistemas de equações. Para isso, basta utilizá-lo com a lista entre chaves das equações do sistema.


Exemplo 3.2
Determine a interseção da circunferência C2 que passa pelos pontos A (5, 4), B (6, 1) e C ( -3, -2) com a reta R1 que passa pelos pontos D (1, 2) e E (-4, 1).
> with (geometry):
> circle (C2, [point (A, 5, 4), point (B, 6, 1), point (C,-3,-2)], [x, y]):
> line (R1, [point (D, 1, 2), point (E, -4, 1)], [x, y]):
> EqCirc := Equation (C2)              EqCirc := x2 - 23 + y2 - 2x - 2y = 0

O sinal de := é utilizado pelo Maple para fazer a atribuição de valor a uma determinada variável.

> EqReta := Equation (R1);           EqReta := 9 + x - 5y = 0
> solve({EqCirc, EqReta});           .

     Cônicas

 No pacote geometry, cada cônica da qual se conhece a equação pode ser definida com um comando conic (G, [equação], [variáveis]).

Opcionalmente, a palavra conic pode ser substituída por parabola, ellipse ou hyperbola. Mas há muitas outras maneiras de definição de cada cônica. Por exemplo, uma parábola P da qual sejam conhecidos o foco F e o vértice V pode ser definida com um comando

parabola(P, [focus = F, vertex = V], [variáveis]),

uma elipse E da qual sejam conhecidos seus focos F1 e F2 e a soma dos raios focais s pode ser definida na forma

ellipse (E, [foci = [F1, F2], distance= s], [variáveis]),

e uma hipérbole H da qual sejam conhecidos os focos F1 e F2 e os vértices
V1 e V2 pode ser definida por

hyperbola (H, [foci = [F1, F2], vertices = [V1, V2]], [variáveis]).

Depois de definida, podemos obter informações a respeito de uma cônica G com os seguintes comandos:
form (G) Classificação                      Equation (G) Equação                       foci (G) Focos
vertices (G) Vértices                         center (G) Centro
directrix (G) Diretriz                         asymptotes (G) Assíntotas


Exemplo 4.1
Considere a parábola P com vértice V=(-3, 4) e foco F = (2, 4). Determine sua equação e sua diretriz.

> with (geometry):
> parabola (P, [vertex = point (V,-3,4), focus = point (F,2,4)], [x, y]):
> EqPar := Equation(P); EqPar := -1100 + 25y2 - 500x - 200y = 0
> EqPar/25; -44 + y2-20x -8y = 0
> Equation (directrix (P)); x + 8 = 0

Exemplo 4.2
Determine a equação da elipse E de focos F1 = (4,3), F2 = (4, -5) e soma dos raios focais igual a 12.

> with(geometry):
> point(F1, 4, 3), point(F2, 4, -5):
> ellipse(E, [foci=[F1, F2], distance=12], [x, y]):
> eq := Equation(E);       eq := 576x2 - 4608x + 320y2 + 640y - 1984 = 0

Podemos usar o comando completesquare (equação, variável) do pacote student para completar os quadrados e escrever a equação em um formato usual.

> with(student): eq := completesquare(eq, x);

eq := 576(x - 4)2 - 11200 + 320y2 + 640y = 0

> eq := completesquare(eq, y);

eq := 320(y + 1)2 -11520 + 576(x - 4)2 = 0

Agora, somamos 11520 ao lado esquerdo (lhs) e ao lado direito (rhs) da equação eq:
> eq := lhs(eq) + 11520 = rhs(eq) + 11520;

eq := 320(y + 1)2 + 576(x - 4)2 = 11520

> eq := eq/11520;             eq:=

Exemplo 4.3
Determine o centro e identifique a cônica definida pela equação
2x2 + 3y2 + 8x - 6y - 13 = 0:
> with(geometry):
> conic(c, 2*x^2 + 3*y^2 + 8*x - 6*y - 13 = 0, [x, y]):
> coordinates(center(c)); [ -2, 1]
> form(c);       ellipse2d

Para obter mais informações sobre o Maple e sobre computação algébrica, consultar as páginas www.SymbolicNet.org e www.mapleapps.com na Internet.