Tomas Edson Barros
Ademir Cristovão Lucchiari

Um problema interessante de construção com régua e compasso é o da construção de um polígono regular de n lados, , inscrito numa circunferência de raio R, o qual é equivalente ao problema a seguir.

 

     Problema 1:

Dividir uma circunferência de raio R, com régua e compasso, em n arcos de mesmo comprimento.

É muito simples a resolução do problema acima para . Para n = 5 , a solução (também simples) está atrelada à razão áurea.

Para n = 7 existem apenas soluções aproximadas (veja, por exemplo, RPM 17, p. 19), situação que ocorre também com muitos outros valores de n, tais como n = 9, 11, 13 e 14, para os quais não existe construção exata.

A constatação desses fatos foi uma das primeiras descobertas de um dos maiores matemáticos de todos os tempos, Carl Friedrich Gauss, o qual provou, em 1796, com apenas 19 anos de idade, que o Problema 1 possui solução se, e somente se, n = 2m ou n = 2m p1 p2 . . . , pk, sendo m um número natural e p1 p2 . . . , pk primos de Fermat distintos, ou seja, primos da forma (RPM 4 p. 1-3 e RPM 7 p. 23-25).

Como F0 = 3, F1 = 5, F2 = 17, conclui-se que não existe  q N  tal que 7 = Fq e, portanto, não é possível dividir com régua e compasso uma circunferência de raio R em sete arcos de mesmo comprimento. Com análise semelhante conclui-se o mesmo para   n = 9, 11, 13 e 14, bem como para uma infinidade de valores de n.

Um problema correlato ao Problema 1 é o seguinte: 

 

     Problema 2: 

Dividir um disco de raio R, com régua e compasso, em n regiões com mesma área.

Notamos que, se o Problema 1 possui solução para um certo n, então o Problema 2 também possui solução para esse mesmo n, sendo as regiões de mesma área os setores circulares do disco, determinados pela divisão da circunferência em n arcos de mesmo comprimento.

Os arcos possuem mesmo comprimento e os setores possuem mesma área.
No entanto, não é óbvio que a impossibilidade de resolução do Problema 1, para um determinado n, implica que o Problema 2 não possui solução para o mesmo n, pois:

para a divisão da circunferência em arcos de mesmo comprimento, precisamos determinar pontos da circunferência igualmente espaçados; já na divisão do disco, a marcação desses pontos fornece uma das possibilidades de divisão em regiões de mesma área.

A princípio, sem uso da régua e compasso, temos diversas outras maneiras de dividir o disco em regiões de mesma área e existe, portanto, a chance de que uma dessas maneiras possa ser executada através de construções com régua e compasso.

Tal problema surgiu numa aula da disciplina Ensino da Matemática através de problemas, no Departamento de Matemática da UFSCar, na qual um grupo de alunos propôs à classe alguns problemas de divisão de figuras planas em regiões de mesma área, utilizando régua e compasso. Os problemas iniciais eram para triângulos e quadriláteros, resolvidos sem dificuldade por parte dos alunos. No caso do disco, após alguma discussão, concluiu-se que para alguns valores de n a tarefa era possível, já para outros, não se tinha certeza da possiblidade de solução.

O professor sugeriu dividir o disco em anéis concêntricos. Após discussões constatamos finalmente que de fato:

 

Existe um modo de se dividir o disco em n regiões de mesma área, somente com o uso de régua e compasso, para qualquer natural n.

 

Nessa divisão, as regiões são um disco e anéis concêntricos, mostradas na figura. Denotando por o disco de centro O e raio e por o anel delimitado pelas circunferências de raios e respectivamente, então

e

Portanto, o Problema 2 terá solução se, dado um segmento de comprimento R, soubermos

 

     Essa construção pode ser feita com as seguintes instruções:

1. Dividir o segmento AB , de comprimento R , em n partes iguais:

,

2. Determinar o ponto médio, M , de AB;

4. Traçar a perpendicular a AB pelo ponto, , e determinar o ponto de intersecção,, da perpendicular com a semi-circunferência S;


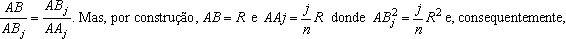
Para justificar tal construção basta notar que é semelhante ao   portanto

Para finalizar, exemplificamos a divisão do disco em sete regiões de mesma área.

Notamos que essa construção abre um leque de possibilidades diferentes para a resolução do Problema 2. Para , temos, por exemplo, as possibilidades abaixo:
 

 

 

Tomas Edson Barros é professor do Departamento da Universidade Federal de São Carlos - UFSCar.

Ademir Cristovão Lucchiari é aluno do curso de Matemática noturno da UFSCar.


NR: No cartaz da Olimpíada de Matemática de São Paulo de 1985 há um bolo redondo e está proposto o problema:

 

Divida este bolo redondo em quatro pedaços iguais. Você só poderá fazer o corte sem tirar a faca do bolo e sem percorrer novamente um corte já feito.

   

Para resolver esse problema, você deve achar uma maneira, que respeite as condições impostas, de dividir o círculo em quatro regiões de mesma área.