Carlos Augusto Isnard
Instituto de Matemática Pura e Aplicada
Estrada Dona Castorina, 110
22460 – Rio de Janeiro – RJ

Seja x um inteiro 0 de n algarismos. Seja Q (x) a quantidade de algarismos necessários para escrever todos os números inteiros de 0 a x, inclusive. Um leitor(*) obteve a seguinte fórmula para Q(x):

                            (1)

Apresentaremos outras duas demonstrações deste resultado, a última das quais tem mais o estilo de argumentação da Aritmética, enquanto a primeira e a do leitor são mais algébricas. Para evitar repetições, usaremos a mesma notação e a mesma numeração de formulas do artigo do João Lúcio de Alencar Neto, nesta mesma página.

A primeira demonstração foi dada no artigo anterior, vejamos as outras duas: 2ª demonstração: Podemos evitar o uso do método de indução (que exige o conhecimento prévio da fórmula a ser demonstrada) provando diretamente a fórmula (3). De fato, de (2) segue-se que:

 

Podemos assim calcular

                 (5)

Para calcular esta soma usamos a seguinte disposição, que nos permite somar cada coluna à direita usando a formula da soma dos termos de uma progressão geométrica.


Substituindo este valor em (5) obtemos (3) que junto com (2) prova (4).

3ª demonstração: Quando escrevemos, por exemplo, 105 na forma 0105 ou 00105 diremos que estamos usando zeros desnecessários ou zeros à esquerda.

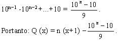
Cada número de 0 a x pode ser escrito com a mesma quantidade n de algarismos, desde que admitamos o uso de zeros à esquerda. Este processo resulta numa utilização total de n(x + 1) algarismos. Descontando deste  valor os zeros que foram escritos  desnecessariamente à esquerda chegaremos à fórmula (1).

O primeiro zero à esquerda é desnecessário quando escrevemos com n algarismos os números de 0 a 10n-1 –1. Isto dá um total de 10n-1 zeros escritos desnecessariamente  na primeira posição à esquerda.

Da mesma maneira o segundo zero à esquerda é desnecessário quando escrevemos com n algarismos os números de 0 a 10n-2 –1. Isto resulta num total de 10n-2 zeros escritos desnecessariamente na segunda posição à esquerda.

E assim por diante até a casa das dezenas, onde existem zeros desnecessários quando  os números de 0 a 9 são escritos com mais de um algarismo. Na casa das unidades não existem zeros desnecessários (pois não existem zeros à esquerda nesta posição).

Concluímos então que o total de zeros  escritos desnecessariamente à esquerda, em todas as posições, foi de:

 Respostas dos Probleminhas (pág.48)

                                       

Com a pesagem I descobre-se o grupo mais leve, com II, a laranja mais leve.

2. Só no n.º 23 é mais difícil: 23 = -1 + ( )! (8 ).

3. (1984 – 1)1983 – (1984+1)1985+ 1984+2 = k × 1984 – 1 – m  × 1984 – 1 + 1984 + 2

= (k –m +1) × 1984.