Zoárd A. L. Geöcze

     Problemas

23.  Resolva o sistema de equações

(Aroldo de Oliveira, Rio de Janeiro – RJ)
 

24. Sejam  uma circunferência de centro 0 e A, B , dois pontos não antípodas, e seja ainda M o ponto médio de AB. Considere uma corda qualquer XY de , passando por M, e seja P o ponto de interseção das retas AX e BY. Prove que o lugar geométrico dos pontos assim obtidos no plano é uma reta paralela à corda AB.

(Edson de Faria, São Paulo – SP)


25. Prove que existem infinitas soluções positivas e inteiras, x, y, z da equação

      .

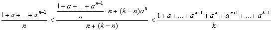
26. Prove que vale a seguinte desigualdade

     

27. Lançamos uma moeda tantas vezes até que durante 3 lançamentos consecutivos o resultado seja 111 ou 101, onde 1 representa cara e 0 representa coroa. Qual é a probabilidade de que a seqüência 111 aconteça antes da seqüência 101?
(Vide artigo do Prof. Flávio Wagner Rodrigues, n.º 4, da RPM)
 

     ...e Probleminhas

1. Possuo 9 laranjas e sei que uma delas está estragada e por isso mais leve. As outras têm todas o mesmo peso. Usando uma balança de dois pratos e, com apenas duas pesagens, como posso descobrir a laranja estragada? 
(Enviado por Willian Tadeu da Silveira, Belo Horizonte – MG)


2.  A Revista Crux Mathematicorum – vol. 10 – n.º 1 – janeiro, 84, publicada em Ottawa, Canadá, escreve todos os inteiros de 0 a 25, usando 1, 9, 8, 4, nesta ordem, e sinais de operações. Por exemplo:

 

... Você consegue chegar até 25 ?

e já que estamos em 1984,  para seus alunos que já conhecem o “binômio de Newton”:

 

3. Prove que  é divisível por 1984. (Enviado por um colega).
 

(Ver respostas na seção "Uma maneira abreviada...")

 

     Soluções dos problemas propostos na RPM, n.º 4, 1.º semestre de 1984.

17. Inscrevemos um triângulo ABC no círculo unitário. Seja K o centro do círculo inscrito.   Prove que se  KA . KB . KC = 1, então o triângulo é eqüilátero (Olimpíadas Húngara, 1982).

Resumo de diversas soluções:

Representamos os ângulos do triângulo ABC na maneira convencional, o raio do círculo circunscrito é 1. seja 0 o circuncentro. Calculamos os segmentos KA, KB, KC em função dos ângulos do triângulo.

Examinemos, por exemplo, KA (Vide figura).

Como AB = c = 2 r sen = 2 sen g, então no triangulo AKB pelo teorema dos senos,

e utilizando as relações

temos que:

Por permutação cíclica,

Pelas condições do problema,

e a igualdade acontece se e somente se

ou seja, se o triângulo for eqüilátero!

 

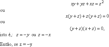
18. Resolva o sistema de equações:

Resumo de diversas soluções:

Usando a 3.ª questão temos que


 

ou, se  z = -x:

Logo o conjunto de soluções (reais!) do sistema é:

Observação:

Alguns leitores examinaram o caso complexo. O controle destas soluções deixamos para o leitor.

Resumo de diversas soluções:

Sendo a > 1, a seqüência 1, a, a2, ... é crescente.

Então, se n < k

e multiplicando o lado esquerdo e direito desta última desigualdade pelo número positivo a –1, temos que

 

Observação:

Chegaram ainda soluções usando indução ou derivada. Estas soluções também são corretas.


20. Da cidade A partem simultaneamente um carro, uma motocicleta e uma bicicleta para a cidade B. Alcançando B, o carro retorna à cidade A e encontra a motocicleta a “a” quilômetros de B, e a bicicleta a “b” quilômetros de B. A motocicleta ao chegar a B retorna também, encontrando a bicicleta a “c” quilômetros de B. Determine a distância AB (suponha todos os movimentos uniformes).

Resumo de diversas soluções:

Sejam as velocidades do carro, motocicleta e bicicleta respectivamente VA, VB, VC. Como os tempos de encontro entre móveis de partida simultânea são iguais, podemos escrever que:

onde x é a distância AB

Eliminando as velocidades, temos que

 

21. Em um triângulo ABC, os pontos médios dos lados AB, BC e CA são C1, A1 e B1, respectivamente. Construa o triângulo, sendo dados o ponto A, o centro O do círculo circunscrito ao triângulo e o ponto médio F de B1C1. Verifique, que dependendo da posição dos pontos A, O e F, existe ou não, solução do problema. (As soluções devem conter: desenho, descrição da construção e sua justificativa).

Resumo de diversas soluções:

Prolongamos o segmento , duplicando este segmento no sentido de F. Assim obtemos o ponto A1. Então  é mediatriz do lado BC. Traçamos uma reta perpendicular ao segmento  pelo ponto A1. O círculo de centro O e de raio AO intercepta esta reta nos pontos B e C.

centro O1, onde O1 é o ponto médio do segmento .


22. Colocamos 400 pontos, distintos dois a dois, no interior do cubo unitário. Prove que, entre os quatrocentos pontos, existem pelo menos 4 que estão no interior de uma esfera de raio igual .

Resumo de diversas soluções

Como temos 400 pontos e 400 > 3.125, pelo menos em algum cubo devem “cair” mais do que 3 pontos.

Ainda sobre o problema 13 do n.º 3 da RPM: (solução RPM n.º 4, pág. 36):

Diversos leitores observaram uma falha aparente na 1.ª solução apresentada deste problema, são corretas, mas ainda é possível usar a igualdade acima, calculando, neste caso, a raiz

Ainda sobre o problema n.º 13, apresentaremos mais uma solução enviado pelo professor Nilo Sá Silva Thé, reproduzindo o trabalho de João Valberto Costa Cavalcanti, do 3.º ano do Colégio Militar do Recife. Considere o triângulo retângulo abaixo, em que as medidas são analisadas na figura

       

    

Portanto

Se x [0,4] tomamos os lados do triângulo: 4 - x, 4 + x.


 

Relação dos leitores que enviaram soluções dos problemas 17 a 22 do n.º 4 da RPM (em ordem de chegada):  

Eduardo Wagner (RJ) – 18 a 22  

Antonio Joaquim Rodrigues Feitosa & Flaudio José G. do Nascimento (CE) – 18  

José Renato Carneiro (SP) – 18  

Antonio Roberto Alves Andrade (SP) – 20  

Manoel E. R. de Azevedo (RN) – 18 a 20  

José Hernandes (SP) – 20 a 22

Janilson Aparecido Balieri (MG) – 19, 20

André Luiz de Faria (RJ) – 18  

Terezinha L. Guedes Machado (MG) – 18

Manoel João de Jesus Almeida (RJ) – 18

Polygular Amaral Rubbo (SP) – 18 a 21

William Tadeu da Silveira (MG) – 20

F. W. Leão (RJ) – 17, 18, 20, 21

Frederico Hevden (SP) – 19 a 21  

Alberto Hassen Raad (MG) – 17 a 22

Israel A. de Oliveira (CE) – 18,20  

Luiz Henrique de Figueiredo (RJ) – 18, 20

Francisco R. Fontes Neto (MA) – 18 a 20  

Denílson Reis do Castro – 18

Wilson Massaro (Sp) – 18, 20, 21

Antonio Fernando de Lucena (PE) – 18

Ubaldo Tonai Teixeira Góes (CE) – 19

Nilo Sá da Silv Thé (PE) – 17 a 21

Roberto Celkrvinicius (Sp) – 18, 19

Wilson Julio Gonçalves (SP) – 17 a 21

Carlos Alberto Mourão Junior (MG) – 18  

João F. Barros (SP) – 18

Sun H. Ming (SP) – 18, 20, 21

Lademir A. M. da Costa (CE) – 17, 18, 19  

Luiz Antonio Ponce Alonso (SP) – 17 a 22

Amadeu C. de Almeida (RJ) – 17 a 20

Daniel Cordeiro de Morais Filho (PB) – 18

Rubens Ortega (PR) – 17 a 22

Roberto P. Chagas & Graciema D’Ávila

Marcos A. Antonello Scremin (RS)–18,20

Roscoe Santaro (MG) – 17, 19  

Jaime Oliveira (SE) – 18, 20

Benjamim C.D.A. Costa & Lincoln Abrantes (RJ) – 18 a 20

Trajano Pires Níbrega Neto (SP)– 18 a 20

Alexandre Kleis (AM) – 18, 20

Aloísio Guimarães (AL) – 18  

Heleno da Costa (RJ) – 17 a 21

Elias Bertalozzo & Osvaldo Coletti (SP) – 18,20  

Kátia Matia L.. de Meneses (RJ) – 18

 

Aroldo de Oliveira (RJ) – 18 a 20  

   Relação Complementar

José Antonio Memoni (SP) – 18, 19

Antonio Roberto Alves Andrade (SP)–14

Ulises Pissaia (SP) – 18

Benjamin César de Azevedo Costa & 
Lincoln Narroso Abrantes (RJ) – 13 a 16  

Cid Carlos Leite da Silva (AL) –18 a 20  

Florival Carmo de Sousa (GO) –18 a 21  

Franscico Rocha Fontes Neto (MA) – 13

João L. do Amaral Prado (SP) –17 a 22

João Francisco Barros (SP) – 15

Raimundo Martins Reis Neto (MA)– 18

Daici Ilha (RS) – 16

Mauri R. Oliveira (MG) – 18

Augusto Jorge de Macedo (RN) –13 a16