Seqüências de Fibonacci

Alberto de Azevedo
Universidade de Brasília, DF

       Introdução

Em 1202 Leonardo de Pisa, também conhecido por Fibonacci, formulou o seguinte problema:

A partir de um casal de coelhos recém-nascidos, quantos casais de coelhos existirão após 12 meses, supondo-se que: nenhum coelho morre, todo casal de coelhos tem um primeiro casal de filhotes com dois meses de idade e, após ter o primeiro casal de filhotes, gera um novo casal todo mês.

Não é difícil constatar que o número de casais de coelhos a cada mês é dado pela seqüência

1,  1,  2,  3,  5,  8,  13,  21,  34,  55,  89,  144,  233, ...  (*)

Indicando por    o número de casais de coelhos no enésimo mês, vale a seguinte fórmula de recorrência:

.

A seqüência (*), que é conhecida como seqüência de Fibonacci, tem sido objeto de continuada atenção na literatura matemática. Existe uma revista intitulada The Fibonacci Quarterly que trata de problemas que, de uma forma ou de outra, estão relacionados com esses números de Fibonacci. A própria RPM já tratou desse assunto mais de uma vez  ([1], [2] e [3]).
Um dos fatos relacionados com a seqüência de Fibonacci é a

Esse resultado vale para qualquer seqüência não nula    satisfazendo   seqüências essas chamadas de seqüências de Fibonacci.

Exemplos de seqüências de Fibonacci são: (1,  1,  2,  3,  5,  8,  13,  21,  34,  55,  89,  144,  233,  ...),  (4,  4,  8,  12,  20,  32,  52,  84,  136,  ...)  ou a seqüência constante zero. Uma progressão geométrica    é uma seqüência de Fibonacci se e somente se  .

Essa equação em    é equivalente a  , cujas soluções são

Os valores de    e de    mostram a estreita ligação das seqüências de Fibonacci com a razão áurea. Na verdade, vale o resultado:

I. Se    é qualquer seqüência de Fibonacci, existem números reais  a  e  b  tais que 

.     (*)

Vamos demonstrar esse fato usando indução sobre  n.  Para n = 1  e   n = 2,  vamos mostrar que existem números reais    e  b,  soluções do sistema:

.

Supondo o resultado verdadeiro para valores menores que  n, mostremos que é verdadeiro para  n:

visto que ambos,    e  ,  são raízes da equação  .  Isso conclui a demonstração.

Na linguagem dos espaços vetoriais, os fatos acima mostram que as seqüências de Fibonacci formam um espaço vetorial de dimensão dois tendo por base as seqüências    e  .  No caso da seqüência  (1, 1, 2, 3, ...), 

.

II.  Seja  (f1, f2, f3 ,..., fn ,...)  uma seqüência de Fibonacci não nula. Mostremos usando (*), que a seqüência  fn / fn +1 é convergente com limite igual à razão áurea = 1/.

primeiro lugar que existe, no máximo, um valor de n para o qual fn = 0. De fato,

Como 1 2, e as potências de 1 / 2 são todas distintas, de forma que a igualdade (1 / 2)n = ( / ) pode ocorrer no máximo para um valor de n. Assim a partir de um certo inteiro N, podemos construir a seqüência fn / fn +1.

 Temos:

onde  . Assim,  ,    e a seqüência    é convergente com limite igual à razão áurea  .

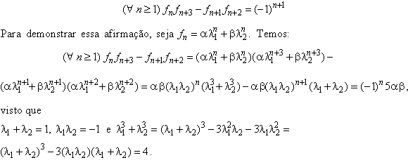
III. A exemplo do resultado acima, a fórmula geral  (*)  para as seqüências de Fibonacci enseja demonstrações simples e naturais para diversas das relações existentes entre os números de Fibonacci. Por exemplo, vamos mostrar que os termos de uma seqüência de Fibonacci    estão inter-relacionados da seguinte forma:

Resulta que

.

No caso particular da seqüência  (1, 1, 2, 3, 5, 8, 13, 21, 34, 55, 89, ...)  temos 

e isso completa a demonstração.

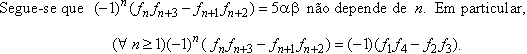
Uma conseqüência imediata dessa relação é que os termos ímpares da seqüência de quocientes  ,  ,  , ..., , ...  formam uma seqüência estritamente decrescente que converge para a razão áurea   e que os termos pares formam uma seqüência estritamente crescente que também converge para  .  Resulta que qualquer quociente    com  n  ímpar é maior do que qualquer outro quociente com  n  par.

 

Referências bibliográficas:

[1] ÁVILA, Geraldo. Retângulo áureo, divisão áurea e seqüência de Fibonacci, RPM 6, pág. 9.

[2] PITOMBEIRA, João Bosco. Um problema de Fibonacci, RPM 17, pág. 4.

[3] PITOMBEIRA, João Bosco. Euclides, Fibonacci e Lamé, RPM 24, pág. 32.