Jesús A. Pérez Sánchez
Venezuela

     Introdução

Naquela semana o professor Beremis estranhou a demora dos seus alunos na entrega dos exercícios de Matemática. Quando eles finalmente apresentaram os exercícios, seus rostos não refletiam muito entusiasmo.

Ao perguntar sobre o motivo da demora, o professor Beremis inteirou-se de que não tinham resolvido um dos problemas, por falta de dados. O professor viu-se numa situação desagradável, pois era muito cuidadoso na preparação dos exercícios e, embora não tivesse conferido todos os detalhes dos problemas, tinha certeza de ter fornecido os elementos necessários para sua solução. Logo, quis saber qual era a dificuldade. Tratava-se do seguinte problema:

Dada a parábola da figura, encontrar a interseção da reta  r,  tangente à curva em  P,  com o eixo  OX.

O argumento da turma era que somente com as informações contidas na figura não podiam achar a equação da parábola e, portanto, a equação de  r  também não.

O professor escutou atenciosamente o seguinte raciocínio:

A equação geral da parábola é  y=ax2+bx+c,  onde  a,  b  e  c  são constantes que devem ser determinadas com os dados indicados na figura. Certamente, pode-se afirmar que  .  

Por outro lado, dado que a curva passa pela origem, temos  . Assim, a equação da parábola fica  .

Também, visto que o ponto    está na curva, tem-se  ,  isto é,  .

Então, seria  interessante obter uma outra igualdade

envolvendo essas constantes para formar um sistema de duas equações com duas incógnitas que, no caso de ser possível e determinado, nos permitiria conhecer os valores de  a  e  b.  É oportuno, então, usarmos outra pista indicada no desenho: a abcissa do vértice da parábola é igual a  2.


Logo, não aparece uma nova relação entre  a  e  b,  ficando estabelecido que a equação da parábola é  y = ax2 4ax,  onde    é desconhecida.

O professor Beremis reconheceu que seus alunos estavam certos: com as informações dadas não era possível achar o valor de  a.

Entretanto, com seu costumeiro espírito animado, propôs aproveitar o momento para revisar o conceito de reta tangente. Assim começou:

Seja  r  uma reta (não vertical), com coeficiente angular  m  e passando pelo ponto    da parábola dada por  y=ax2+bx+c,  .

Suponha que  (x1, y1)   não coincide com o vértice da parábola (ou seja,  ). A equação de  r  é  y y1 = m(x x1).

Nosso intuito é encontrar  m,  de modo que a reta  r  tenha   como único ponto em comum com a parábola.

Essa reta  r  é denominada reta tangente à parábola no ponto  (x1, y1) .  (É bom mencionar que, usando o conceito de derivada, obtém-se uma definição de reta tangente válida para uma curva qualquer, não apenas para parábolas.)


 única solução.

Substituindo o  y da primeira equação na segunda, e usando  ,  após agrupar e fatorar, vem

.

Se a única solução dessa equação deve ser  x = x1,  isso nos conduz a  m = 2ax1 + b.

Assim, a equação de  r  fica  .

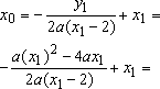
O requerido na tarefa proposta é o valor de  x  correspondente a  y = 0.  Chamando esse valor de  ,  temos

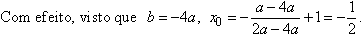
Também, no nosso caso particular,    e  .  Assim, 

 
.

Nesse instante, os olhos do professor Beremis brilharam e sua face iluminou-se de alegria, pois percebeu que podia resolver o problema mesmo sem conhecer o valor de  a.

No final, cada rosto desenhava um sorriso. Não era para menos!

Nota da RPM: Observe que a parábola do Prof. Beremis não é única. Na verdade trata-se de toda uma família de parábolas, y = ax(x 4), a < 0.  Duas delas estão ilustradas na figura a seguir, com as respectivas tangentes no ponto (1, y1) = (1, 3a). Todas essas retas

É interessante observar que isso continua verdadeiro mesmo que escolhamos qualquer outro ponto de tangência  com 

Teremos, então,

.

Como a última expressão não depende de  a,  mas só de   ,  as retas tangentes a todas as parábolas cortam o eixo  Ox    no mesmo ponto.