Gilberto Garbi
Rio de Janeiro, RJ

Qualquer pessoa que tenha estudado um pouco de Cálculo ou Análise conhece a famosa série harmônica, a soma dos inversos dos sucessivos números naturais de 1 até  n:
que
 aquela soma pode ser feita tão grande quanto quisermos, bastando para isso adicionar um número suficiente de termos sucessivos. Os professores, em geral, e mesmo muitos alunos conseguem demonstrar facilmente tal divergência através de um raciocínio simples, produzido há mais de seis séculos, e isso costuma dar-lhes a falsa impressão de que conhecem tudo o que é realmente importante sobre aquela série. A verdade, entretanto, é bem outra: por mais que imaginemos saber muito sobre a série harmônica, sempre encontraremos em seu estudo novas surpresas, algumas das quais mostraremos neste artigo.

Já na Grécia Clássica, se não antes, os matemáticos haviam percebido que certas somas de infinitas parcelas poderiam resultar em números finitos, como, por exemplo,

Os gregos sabiam, também, que tal propriedade era comum a todas as seqüências de números em proporção contínua (nome por eles dado às progressões geométricas) de razão  r  tal que  .  Disso, aliás, valeu-se o grande Arquimedes em alguns de seus cálculos, como o da área da parábola ou dos volumes de certos sólidos de revolução. A questão geral da convergência ou divergência de séries, entretanto, somente foi compreendida muito mais tarde, exatamente no século passado, com os trabalhos do francês Augustin Louis Cauchy, que tivera nesse terreno precursores importantes como seu compatriota Jean le Rond d’Alembert. Até que isso acontecesse, a análise da convergência ou divergência de séries era feita caso a caso, através de abordagens específicas que exigiam muita criatividade da parte dos matemáticos. Foi isso o que ocorreu com a série harmônica.

Desconhece-se quem foi o primeiro matemático a se perguntar se a série harmônica convergia ou não e quando tal pergunta foi feita. Independentemente de quem possa ter sido, é provável que ele tenha imaginado que a série convergia e isso por uma razão bastante simples: se tivermos tempo e paciência para somar  1 000  parcelas, veremos que o resultado situa-se apenas entre  7  e  8. Mais ainda, para que o modesto 10  seja atingido é preciso somar mais de  12 000  parcelas. Isso pode ter sido tomado como um indício de convergência e a dúvida deve ter perdurado até que se chegasse à primeira prova historicamente documentada de que a série diverge. Tal prova foi produzida pelo matemático francês Nicole Oresme (1323 – 1382), em meados do século XIV, e é a mais conhecida e utilizada no ensino por ser elegantíssima, simples e de fácil compreensão. Em síntese, Oresme observou que:
 

e assim por diante. Logo,


série harmônica diverge.

A maioria das pessoas, infelizmente, sequer ouviu falar de Nicole Oresme, mas o fato é que essa prova é uma verdadeira pérola. Em meados dos anos 30, o grande matemático inglês Godfrey Harold Hardy, um dos maiores da Inglaterra neste século, disse que para que uma demonstração possa ser considerada realmente grande, nela devem ser encontrados três ingredientes básicos: economia, surpresa e inevitabilidade. A demonstração de Oresme passa com louvor pelo teste de Hardy...

Três séculos mais tarde, em 1648, o matemático italiano Pietro Mengoli encontrou nova prova daquela divergência por um caminho diferente mas também criativo e elegante. A prova de Mengoli baseia-se no fato de valer a desigualdade abaixo, para qualquer  n  natural maior que 1:

Repetindo-se essa operação indefinidamente, vemos que a soma da série harmônica é maior do que a soma de um número ilimitado de parcelas iguais a 1, ou seja, ela diverge. Um belíssimo raciocínio.

Os próximos matemáticos a dedicar suas atenções à série harmônica foram os famosos e briguentos irmãos Bernoulli, Jacques (1654 – 1705) e Jean (1667 – 1748), cujas contribuições em campos como Análise Combinatória, Teoria das Probabilidades e Cálculo Integral e Diferencial foram muito importantes naquele período de grande expansão matemática que se seguiu aos trabalhos de gênios como Descartes, Fermat, Pascal, Newton e Leibniz.

Ambos criaram duas outras provas diferentes da divergência da série, aparentemente desconhecendo os trabalhos de Oresme e Mengoli. Embora corretas, as provas dos irmãos Bernoulli foram mais longas e menos simples e por isso não serão aqui mostradas. A Matemática deve muito aos irmãos Bernoulli, e a Jean, o mais novo dos dois, coube a honra de ter sido professor do grande e incomparável Leonhard Euler (1707 –1783), indiscutivelmente o matemático que mais obras produziu em todos os tempos. Euler era dotado de uma capacidade sem similar de criar novas teorias matemáticas e de ver coisas originais mesmo em campos que já pareciam ter sido esgotados por estudos de outros que o precederam. Dizia-se de Euler que ele calculava com a facilidade com que os outros respiram e que não havia campo da Matemática que ele tocara sem deixá-lo enriquecido. A vida de Euler constitui um dos mais belos capítulos da história da Matemática não apenas por seus grandes feitos, mas, também, pelas árduas condições que enfrentou na vida, inclusive o fato de haver perdido uma das vistas com apenas 27 anos e ter permanecido totalmente cego por 17 anos, até falecer. Por incrível que possa parecer, mesmo cego Euler produziu verdadeiras obras-primas, realizando mentalmente complexos cálculos e ditando-os a um de seus 13 filhos, que lhe servia de secretário.

Euler costumava descobrir teoremas simplesmente praticando com os números os mais variados exercícios e brincadeiras para, em seguida, observar o que acontecia com os resultados. Valendo-se de sua intimidade com a Aritmética, pesquisou a série harmônica e nela descobriu fatos admiráveis, por exemplo que a soma de  n  termos daquela série tem uma relação muito próxima com o logaritmo natural de  n,  à medida que  n  cresce. Isso não deve ter sido muito difícil de observar, pois basta preparar uma tabela contendo as somas de  n  termos da série e procurar aquilo que se costuma chamar de um padrão de comportamento. Como Euler conhecia de cor tabelas logarítmicas, trigonométricas e muitas outras, não deixaria de perceber que os logaritmos naturais estavam ligados à questão. A prova disso, entretanto, não era simples e para chegar a ela Euler realizou um trabalho brilhante. Vale a pena conhecê-lo, como exemplo de sua capacidade de intuir caminhos que ninguém além dele conseguia enxergar.

Quem conhece um pouco de Cálculo Diferencial sabe que uma grande quantidade de funções pode, dentro de certas condições, ser decomposta em séries de potências da variável independente. Newton (1642 – 1727) fez dessa técnica uso magistral, mas, antes dele, outros matemáticos já haviam começado a explorar o novo território. Um deles, Mercator, cujo nome ainda hoje é lembrado por seus trabalhos em cartografia, demonstrou que     pode ser decomposto da seguinte maneira:

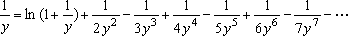
Partindo da fórmula de Mercator, Euler fez    e obteve

Fazendo-se sucessivamente    vai-se obtendo os inversos dos números naturais desdobrados em séries infinitas, nas quais os primeiros termos são logaritmos naturais:

...............................................

Somando-se verticalmente e denominando

............................................

tem-se

A soma

 

As somas  S2(n),  S3(n),    Sp(n) são todas menores que  2,  para qualquer valor de n

a aproximação S(n)=1nn+ (já que para valores grandes de n, 1nn e 1n(n+1)se confundem).

Como que por um passe de mágica, ficara demonstrada a relação entre a série harmônica e os logaritmos naturais. Euler realizou um paciente trabalho aritmético para calcular a constante    com grande precisão. Até a 26a casa decimal ela é:

.

Essa descoberta de Euler permite, entre outras coisas, estimar com boa aproximação o valor da soma da série harmônica sem cálculos muito trabalhosos. Por exemplo, suponhamos que se deseje saber quantos termos devem ser somados para que se tenha  70  como resultado. É claro que o número de termos deve ser muito grande, já que vimos que para atingir  10  devem ser somados mais de  12 000  parcelas. Utilizando a constante  ,  podemos fazer:

701n n 0.577   ou   1n n 69,423,   que implica   n e69,423,

um número próximo de  14 . 1029. 

Em seus estudos sobre a série harmônica, Euler definiu a função  zeta através da série

Essa é uma função muito interessante e pode-se demonstrar que a série converge quando  x >1 e  diverge para  x 1  É fácil ver que a série harmônica é um caso particular da função zeta, para  x = 1.  Significa que a nossa série situa-se no limite entre a convergência e a divergência da função zeta e é precisamente essa condição que explica por que a divergência da série é tão lenta. A função zeta assume valores muito curiosos para certos valores de  x
Euler no início do século XVIII e que assombrou a comunidade matemática da época.

Pesquisando a função zeta, Euler conseguiu relacionar campos aparentemente isolados da Matemática e provar que a divergência da série harmônica implica a existência de infinitos números primos e, reciprocamente, se há infinitos números primos, então a série harmônica deve divergir. Vinte e um séculos depois de Euclides, Euler encontrara outra prova da infinitude dos números primos, dessa vez utilizando propriedades da série harmônica. Curiosamente, a quantidade de números primos também está relacionada com os logaritmos naturais. No final do século XIX, dois matemáticos franceses, Hadamard e la Vallée-Poussin, independentemente, demonstraram que, quando  n  tende para o infinito, a quantidade de números primos

Como foi dito no início, a série harmônica é fonte de muitas surpresas e curiosidades. Não há aqui espaço para falar muito mais, mas vale relatar o seguinte: se excluirmos da série harmônica os inversos de todos os números não primos, ou seja, se somarmos apenas os inversos dos primos, ainda assim a série será divergente. Esse fato, difícil de acreditar, também foi descoberto por Euler.

Para finalizar com mais uma surpresa, imaginemos que no momento em que o Universo foi criado, no famoso Big Bang, o mais veloz dos computadores atualmente existentes tivesse sido colocado a somar os termos da série harmônica. A que soma imagina o leitor que o computador teria chegado hoje,  12  bilhões de anos depois? Certamente a um valor bem grande, pois a soma tende a infinito, não é? Os mais rápidos computadores atuais realizam  2,048 . 1012 somas por segundo. Em 12  bilhões de anos existem cerca de 3,8 . 1017  segundos, de modo que teriam sido somadas  7,78 . 1029   parcelas. Comparando com o número de parcelas necessárias para atingir  70,  vemos que o hipotético computador disparado na origem dos tempos não teria hoje atingido esse modesto número. Apesar dessa incompreensível lentidão com que avança, a soma cresce ilimitadamente, como Oresme, Mengoli e os irmãos Bernoulli provaram há séculos.

Incrível? Sim, a série harmônica está cheia de coisas incríveis, muitas já descobertas, mas certamente muitas outras ainda à espera de um novo Euler que as desvende ...

 

Gilberto Garbi  é engenheiro formado pelo ITA e, desde 1969, executivo de empresas de telecomunicação. Foi presidente da TELEPAR (Paraná), diretor da TELEBRÁS, presidente da NEC do Brasil  e hoje é presidente da VÉSPER (Rio) Telecomunicações. É autor do livro O Romance das equações algébricas, prêmio Jabuti de 1998, resenhado na  RPM 35.

 

NR: Neste artigo são feitas muitas afirmações que devem ter aguçado a curiosidade dos leitores. Àqueles que desejarem saber mais sobre os fatos históricos relatados, recomendamos a leitura dos livros, já muitas vezes citados na RPM, sobre História da Matemática, como o de Carl B. Boyer (Editora Edgard Blucher Ltda.) ou o de Howard Eves (Editora da UNICAMP).

Àqueles que gostariam de saber mais sobre os resultados matemáticos citados no artigo, recomendamos a leitura de dois trabalhos de Geraldo Ávila, publicados na revista Matemática Universitária, da SBM. O primeiro, bem próximo ao presente artigo, chama-se  A série harmônica e a fórmula de Euler-MacLaurin,  publicado no no 19/dezembro 1995, págs. 55-63. O outro, publicado no no 3/junho 1986, págs. 51-60, intitula-se  Sobre somas de certas séries infinitas.