Antonio Carlos Tamarozzi
UFMS – Três Lagoas, MS

     1.  Introdução

É conhecido o fato de que matrizes triangulares, aquelas em que todos os elementos abaixo ou acima da diagonal principal são nulos, têm seu determinante dado pelo produto dos elementos da diagonal principal. Por exemplo, no caso da matriz triangular superior de ordem 3 abaixo

Assim sendo, uma técnica muito utilizada para o cálculo do determinante de uma matriz é reduzi-la à forma triangular através de “operações básicas” que preservam o determinante original, ou pelo menos seu módulo. Tais operações consistem em trocas de linhas ou colunas ou, ainda, multiplicação de uma linha (coluna) qualquer por um número real não nulo e consecutiva adição a outra linha (coluna), operações essas descritas no resultado conhecido por Teorema de Jacobi.

Vamos descrever neste artigo a forma triangular em blocos, também muito conveniente para cálculo de determinantes. Trata-se de uma generalização da forma triangular, com a vantagem de requerer a produção de um número menor de zeros e portanto de um esforço operacional menor na sua obtenção.

Para exemplificar e motivar a próxima seção, consideremos a matriz triangular superior em blocos:

O que vamos mostrar é que  ,  o determinante de  A,  pode ser obtido pela multiplicação dos determinantes dos elementos da diagonal principal, que aqui são matrizes de ordem 2, ou seja,

.

 

       2.  Forma triangular em blocos

Um bloco ou submatriz de uma matriz  A  de ordem  n  é qualquer matriz    obtida de  A  pela exclusão de    linhas e    colunas. As submatrizes cujas diagonais principais são partes da diagonal principal de  A  são chamadas de blocos diagonais de  A.

Uma forma prática de obter submatrizes de  A  é considerar partições simultâneas de linhas e colunas. O exemplo a seguir mostra uma matriz genérica de ordem  6  particionada por algumas submatrizes.

Finalmente podemos escrever a definição: Uma matriz está na forma triangular superior (inferior) em blocos se todos os elementos abaixo (acima) dos blocos diagonais são nulos.

 

     3.      Determinantes de matrizes em blocos

Consideremos matrizes triangulares em blocos do tipo

,

sendo  A  e  D  blocos quadrados de ordens  m  e  n  respectivamente (m  e  n  naturais maiores ou iguais a 1) e O a matriz nula de ordem    O objetivo é mostrar que   . Para isso triangularizaremos  M  através de triangularizações de  A  e  D:

(i)    Usamos as “operações básicas” nas primeiras  m  linhas  e m  colunas de M  para transformar  A  numa matriz triangular superior. Essas operações transformam a matriz  B  em uma modificada  .

(ii)  Usamos as “operações básicas” nas últimas  n  linhas  e  n  colunas de  M  para transformar  D  numa matriz triangular superior. Essas operações não alteram a forma triangular obtida para  A, apenas transformam a matriz    em uma modificada  .

Obtemos, assim, a forma triangular para M.

Temos, então:

  ou , conforme o número efetuado de trocas de linhas ou colunas tenha sido par ou ímpar:

se  k  é o número de trocas efetuadas em  A  e  l  em  D, então o número de trocas para  triangularizar  M  é  ; se  k  e  l  são ambos pares ou ambos ímpares, então  k + 1  é par e

 = ;  caso contrário, temos:

= .

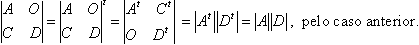
por transposição e então:


vamente, trocamos  O  por  B  e  C  por  D,  transladando as  m  colunas de  B  para a esquerda, efetuando nesse movimento  mn  trocas de colunas. Assim obtemos, pelo resultado anterior:

.

O que estudamos para matrizes triangulares em blocos    é também verdadeiro para matrizes que admitem qualquer número de blocos diagonais. Por exemplo, a matriz  M  abaixo, está na forma triangular superior em blocos e seu determinante    é obtido como indicado.

Você certamente conhece o resultado (Teorema de Binet): o determinante do produto de matrizes é igual ao produto dos determinantes. Os livros do ensino médio, em geral, não demonstram esse teorema ou o fazem de modo complicado. Podemos utilizar as matrizes em blocos para demonstrar o teorema de um modo relativamente fácil.

 

      Teorema de Binet:

Se  A  e  B  são matrizes quadradas de mesma ordem, então 

Demonstração: Considerando  A  e  B  matrizes quadradas de ordem  n  e  In   a matriz

básicas”, podemos transformar a matriz  M em  com  , na forma também pelos resultados já obtidos, temos:

,

e, portanto, .

Vejamos, supondo  A  e  B  matrizes quadradas de ordem  2,  como usar “operações básicas” para efetuar a transformação de  M  em 

Multiplicando-se as duas primeiras colunas de  M  por    e  ,  respectivamente, e adicionando à terceira coluna, esta fica com os elementos: 

 

Referências bibliográficas

[1] Ayres, F. Matrizes. Rio de Janeiro: MacGraw-Hill, 1974.

[2] Bellman, R. Introduction to matrix analysis. New York: MacGraw-Hill, 1970.

[3] Hoffman, K. & Kunze R. Álgebra Linear. São Paulo: Polígono, 1970.

[4] Iezzi, G. & Hazzan, S. Fundamentos de Matemática elementar. São Paulo: Atual, 1985.

[5] Lipschutz, S. Álgebra Linear. Rio de Janeiro: MacGraw-Hill, 1971.

[6] Monteiro, J. Álgebra Linear, vol II. São Paulo: LPM, 1970.

[7] Noble, B. & Daniel, J.W. Álgebra Linear aplicada. Rio de Janeiro: Prentice-Hall do Brasil, 1986.

 

Antonio Carlos Tamarozzi é mestre em Matemática pela UnB e desde 1997 é professor da UFMS, onde atualmente coordena um curso de Especialização em Matemática, voltado para o ensino fundamental e médio, que motivou este artigo.