Élvia Mureb Sallum
Flávio Wagner Rodrigues

IME–USP

Soluções e Sugestões
RPM – Problemas
Caixa Postal 66281
05315-970 São Paulo, SP

 

 

     Problemas

171.   Se dois triângulos têm dois ângulos respectivamente iguais e dois ângulos respectivamente suplementares, mostre que os lados opostos aos ângulos iguais são proporcionais aos lados opostos aos ângulos suplementares.

172.  Dez times,  ,  participam de um campeonato no qual cada time joga com todos os outros uma única vez. Os  45  jogos serão realizados em  9  rodadas, cada uma com  5  jogos. Construa uma tabela para esse campeonato ressaltando, se for o caso, aspectos geométricos de sua solução.
(Enviado por Sylvio Ferraz de Mello, SP.)

173.  Os números inteiros    são escritos em ordem em volta de um círculo. A partir do número  1,  marque todo décimo quarto número, isto é, marque  , parando no momento em que for atingido um número já marcado. Determine quantos números não marcados restam.

 

 

     ... e probleminhas

1) Construa três cercas quadradas de modo que todas as nove ovelhas fiquem presas e separadas.  (Extraído do Almanaque matemático. Ediciones Rocamadur, Montevideo, Uruguay, 1999.)

      

       

      

2) Preencha os quadrados com números distintos de 0 a 9 de modo que os números que se lêem nas linhas, colunas e diagonais sejam múltiplos de  11.  (Extraído do El Acertijo, n.° 19, 1996. Publicaciones aperiódicas, Buenos Aires, Argentina.

 

 

 

 

 

 

 

 

 

3) Complete a estrela mágica com os números  1, 3, 4, 5, 8, 9, 10, 12  de modo que a soma de cada linha seja igual a 26. (Extraído do livro Jogando com a Matemática, Editora Ática.)

(Ver respostas na seção "Cartas do leitor")

 

    Soluções dos problemas propostos na RPM 38

162.  Três mulheres  A,  B  e  C  estão na fila da padaria:  A  compra 5 pãezinhos, 2 litros de leite e um pacote de pó de café e tem uma despesa total de       R$ 6,20.  B  gasta R$ 9,80 para comprar 6 pãezinhos, 2 litros de leite e 2 pacotes de pó de café. Quanto  C  pagou por 8 pãezinhos, 3 litros de leite e 2 pacotes de pó de café? 

Solução: A solução rápida do problema pode ser obtida observando que a compra da senhora  C  é igual à soma dos itens comprados pela senhora  A  com a metade dos itens comprados pela senhora  B.  Segue-se que a senhora  C  pagou    pelas suas compras.

(Adaptação de soluções enviadas por vários leitores.)

Observação: Muitos leitores resolveram o problema montando um sistema de equações lineares. Encontraram então uma solução para o sistema formado pelas duas primeiras equações (relativas às compras de  A  e  B)  e substituíram na 3a equação, determinando, assim, o valor pago por  C.  Ao fazer isso, alguns leitores acabaram encontrando valores negativos para o preço de algum item, o que os deixou preocupados com a possibilidade de terem cometido algum erro. Nesse problema, o importante é observar que qualquer solução do sistema indeterminado dá sempre o mesmo valor para as compras da senhora  C.  Para aqueles que gostam de soluções compatíveis, sugerimos que atribuam a cada pãozinho o valor de 10 centavos.

163.   Na figura,  ABCDE  é um pentágono regular inscrito numa circunferência de raio  R.  Com centros em  A,  B,  C,  D  e  E,  respectivamente, e raio igual à medida do lado do pentágono, traçam-se os arcos de circunferência que determinam o “pentágono curvilíneo”  A1B1C1D1E1.  Determinar, em função de  R,  a medida de sua área.  

Solução:   

Sendo R  o raio do círculo circunscrito ao pentágono regular dado ABCDE, temos:      
 

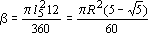
A área do “pentágono curvilíneo” , é igual a , sendo  a área assinalada na figura.

Seja    a área do setor circular   contido no círculo centrado em  E  de raio    e

seja    a área do triângulo  . Então,  .

Temos,

  e

Portanto, a área do pentágono “curvilíneo”  A1B1C1D1E1  é  igual a

 

164.   Prove que, para  n  inteiro maior que  2,   (n!)2 > nn.

Solução:   

Observe agora que  . Do fato de    segue-se que    e, portanto,  . Conclui-se então que  .

(Adaptado da solução enviada por José Claudio M. Velloso, RJ.)

 

 

165.  Construir um quadrilátero inscritível conhecendo seus lados consecutivos  a,  b,  c  e  d.

Solução:   

Seja  ABCD  o quadrilátero inscritível com  ,  ,    e  ,  como mostra a figura. Sobre o prolongamento de  CB  tomemos um ponto  P  tal que o ângulo  BAP  seja igual ao ângulo  DAC.

Como  ABCD  é inscritível, a soma de seus ângulos opostos é  180o;  logo, os ângulos  ADC e ABC  são suplementares, o que implica os ângulos  ADC  e  ABP iguais. Os triângulos  ADC  e  ABP  são, então, semelhantes e fazendo    temos:   .

Portanto, x é uma quarta proporcional entre os segmentos  d,  a,  c,  e pode ser construído facilmente. A construção se inicia colocando-se no papel o segmento  . Prolongando  CB  de um comprimento  x  (já construído), obtemos o ponto  P.  Observe que o primeiro lugar geométrico do ponto  A  é a circunferência de centro  B  e raio  a.

Em seguida, ainda pela semelhança dos triângulos  ADC  e  ABP,  temos: conhecida. O segundo lugar geométrico do ponto  A  é a circunferência de Apolônio (ver Problema 170 deste número da RPM) do segmento  PC  construída na razão  .  Dessa forma, o ponto  A  está determinado. As circunferências de centro  A  e  raio  d  e de centro  C  e raio  c  determinam o ponto  D  (porque o quadrilátero  ABCD  é convexo), e a construção está terminada.   (Solução enviada por F. W. Leão e Edner Abhasen.)

 

Relação dos leitores que enviaram soluções dos problemas da RPM 38

Adailton Almeida de Novais, SE – 162

José Renato C. Carneiro, SP – 162, 164

Alberto Hasser Raad, MG – 162, 164, 165

Juracy Dantas Gomes, MG – 162

Alceu de Amorim Ramos, SP – 162

Leonardo Barroso Rocha, CE – 162

Altemir das Chagas Lima, PR – 162

Levi Brasilino da Silva, PE – 162, 163, 165

Amadeu Carneiro Almeida, RJ – 162, 163

Lhioko S. Tayra, SP – 162

Ana Paula de Oliveira, SP – 162

Luciano M. Filho, PE – 162, 163, 164

Anderson A. de Araujo, SP – 162,164

Lucillo de Souza Junior, ES – 162

Antonio Ferreira Sobrinho, SP – 162, 164

Luiz Alves Vieira, CE – 162

Antonio Luiz Miranda, RJ - 162

Luiz Antonio Domingos, SP – 162

Armando Staib, RJ – 162, 163, 164, 165

Luiz Cesar Niehues, SC – 162

Aron Roberto Ferreira, MG - 162

Manuel João Jesus Almeida, RJ – 162, 164

Carlos A. Gomes, RN – 164

Marcelo J. C. da Rocha, RJ – 162, 164

Carlos A. S. Victor, RJ– 162,163,164,165

Maria A. P. Abuabara, SP – 162

Cid Carlos L. da Silva, AL – 162

Maria Inês Boldrin, SP – 163

Ednaldo José Leandro, SP – 162

Mauricio Tadeu de Oliveira, SP – 162

Edson Roberto Abe, SP – 162

Maurilio Machi, SP – 162, 164

Enilson Vieira Chaves, MG – 162

Maxwell Gonçalves Araujo, GO – 162

Enrico C. L. Martignoni, RJ – 162

Noisés Pereira da Silva, PE – 162

Etiene Silva A. Ramos, SP – 162

Paulo A. da Mata Machado, MG – 162

F. W. Leão, RJ – 162, 163, 164, 165

Paulo Roberto Mendonça, SP – 162

Flavio Ricardo L. da Cunha, GO – 162

Pierre Bedouch, MG – 162

Francisco A. M. Costa, CE – 162, 164

Renato M. de Castro Scher, SP – 162

Francisco A. M. Paiva, CE – 162,163, 164

Ricardo Klein Hoffmann, RS – 164

Francisco das C. S. Carvalho, PI – 162

Robério Bacelar da Silva, CE – 163

Franciso Rocha Fontes Neto, MA – 162

Robinson Y. Matsukuma, SP – 162

Geraldo Perlino, SP – 162

Rogério Possi Junior, SP – 162, 164

Janilson A. Bacieri, MG – 162

Ruy Carlos Miritz, Rs – 162

João Ferreira, AP – 162

Sigridi de Almeida Borges, SP – 162

Joaquim Ferreira da Silva, PE – 162

Tsunediro Takahaski, SP – 162, 163, 164

Jorge Ferreira dos Santos, RJ – 162

Vicente W. Moura Gaeta, AM – 164

José Carlos G. Gaspar, RJ – 162, 164

Wanderley Gamba, SP – 162

José Carlos M. Velloso, RJ – 162, 164

Wilzanete Brasilino de Souza, PE – 162

José Hernandez, SP – 162, 164

Zilton Gonçalves, RJ – 162, 164