1. A concavidade da parábola

Como professor coruja que sou, vou relatar, com muito orgulho, uma proeza do meu aluno Ernesto E. Prudêncio, do Colégio Anglo de Campinas.

No ano passado, quando ele cursava a 1ª série do 2º grau, estávamos estudando as funções e numa certa aula chamei a atenção da classe para o seguinte: construindo gráficos de diversas funções quadráticas eles haviam observado que quando o coeficiente de x2 era positivo, a parábola apresentava concavidade para cima, e quando negativo, a concavidade era baixo, Havíamos  inferido esta regra a partir de alguns casos particulares. Fiz a devida critica a este procedimento (o que não quer dizer que não se deva usá-lo). A seguir avisei-os de que, nos próximos anos do colégio, voltaríamos a esta questão. Usando mais recursos da Geometria Analítica iríamos provar que realmente a regra era geral, aplicando-se a todas as funções quadráticas.

E a aula continuou.

No intervalo seguinte o Ernesto me procurou, com seu jeitinho acanhado, dizendo assim:

- Mestre, você falou que para deduzir aquela propriedade da parábola era preciso usar mais de Geometria Analítica, e eu fiz a dedução com o que já vimos. Por favor, dê uma olhada.

Antes de relatar sua idéia, cabe esclarecer que já havíamos trabalhado com o vértice da

Convém ainda explicar como havíamos chegado a este resultado,. Para melhor compreender o raciocínio dele.

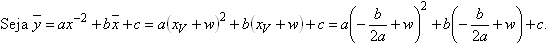
Dada a função y = ax2 + bx + c (a ¹ 0)seja y0 pertencente ao seu conjunto-imagem. Isto significa que y0 = ax2 + bx + c , isto é ax2 + bx + c - y0 = 0 tem no mínimo uma solução:

Ela terá uma única solução justamente quando y0  = yV. Para obter yV basta então exigir que o discriminante de ax2 + bx + c – y0 = 0 seja nulo:

 

Agora passo a descrever o raciocínio do Ernesto usando sua linguagem e simbologia.

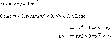
Dada a função y = ax2 + bx + c, seja  = xv + w com w 0.

Se w > 0, então está a direita de xV.

Se w < 0, então  está à esquerda de xV.

 

Após algumas simplificações:

Isto significa que se a > 0, qualquer ponto da parábola, que não seja seu vértice estará mais alto, acima do vértice, o que significa  parábola com concavidade para cima.

Como é gostoso quando estas coisas nos acontecem em sala de aula!

 

N. da R.: Conquanto o raciocínio apresentado pelo estudante seja bastante natural e criativo, gostaríamos de acrescentar um outro modo de chegar à mesma conclusão por vias algébricas.

Com efeito, se y = ax2 + bx + c, tem-se para x ¹ 0:

 

e o sinal de y será o sinal da expressão entre colchetes. Ora, para valores bastante grandes (em que terá portanto, o mesmo sinal que “a”. Assim sendo, para valores suficientemente grandes de x, o sinal de y será o sinal de a.

 

      2. O problema dos quatro “quatros”

A primeira vez que vi o problema dos quatro “quatros” foi como aluna de colégio em 1945.

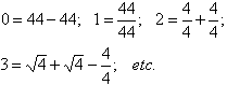
O problema pedia que se escrevessem todos os números inteiros de 1 a 100 com quatro “quatros”.

 

Já como professora de Matemática, e durante muitos anos, nem meus alunos, nem eu, conseguíamos escrever 33 e 41 com quatro “quatros”.

Mas, eventualmente, de tanto propor o problema, um aluno, um dia, trouxe uma solução:

 

e anos mais tarde, outro descobriu que

 

Mas, o que me deixou mais encantada, foi receber dos irmãos Rui e Roger Chamas, alunos, então de 2º e 3º anos colegiais respectivamente, uma solução geral do problema:

“Para todo número natural n,

 

 

LIÇÃO DE LÓGICA...*

Num curso de Lógica o professor deu uma prova contendo a seguinte questão:

Um homem passeava com seu filho em um zoológico quando o filho foi abocanhado por um crocodilo. Este logo disse ao pai que lhe devolveria o filho desde que ele, pai, adivinhasse corretamente se a devolução ia ou não ser feita. O palpite do pai é que o filho não será devolvido. Pergunta-se então se o crocodilo devolve ou não o filho; pergunta-se também por que essa questão está sendo proposta na prova.

Vai aqui a resposta de um aluno espirituoso:

Se o crocodilo devolver o filho, a adivinhação do pai terá sido incorreta: o filho não deveria ser devolvido e o crocodilo não estaria cumprindo o prometido.

Se o crocodilo não devolver o filho, a adivinhação do pai teria sido correta e novamente o crocodilo não estaria cumprindo o prometido.

  Conclusão: o crocodilo precisa estudar Lógica para aprender a não fazer promessas que não possa cumprir!

Finalmente, essa questão está sendo dada no exame porque sempre existe um pouco de crocodilo dentro de cada um de nós...

______________
* Está historia  está contada no Two year College Mathematics Journal, Vol. 14, n.º 5, Nov. 1983, p. 421.