Severino Toscano Melo
IME – USP

     Introdução

A Coluna do Botelho da RPM 37 descreve o interessante algoritmo usado no Brasil para a distribuição das cadeiras de um Parlamento eleito por eleição proporcional. Esse sistema político coloca o seguinte problema matemático: como dividir um número inteiro de objetos (as  C  cadeiras de um Parlamento) em  n  partes inteiras (onde  n  é o número de partidos que se qualificam a ter representação), proporcionalmente a  n  números dados (as votações obtidas pelos  n  partidos).

A divisão proporcional das  C  cadeiras quase certamente resultará em números fracionários. É razoável que cada partido tenha, então, pelo menos a parte inteira do número que lhe cabe por divisão proporcional. Mas qualquer critério de aproximação ou arredondamento que se use para dividir as sobras determinará bancadas de tamanhos não mais proporcionais às votações obtidas pelos partidos. A escolha de um algoritmo para distribuir as cadeiras restantes deve ter como objetivo maximizar as vantagens ou minimizar os defeitos de uma distribuição final necessariamente imperfeita. Está aí o aspecto subjetivo, ou político, do problema:   a definição do que será bom ou ruim num eventual divisão de cadeiras.

Proponho-me aqui a tentar inferir qual o princípio que norteou a elaboração da regra, a partir de uma interpretação aritmética do algoritmo descrito pelo nosso colega Manoel H. C. Botelho. É impossível provar matematicamente que o legislador teve tal ou qual intenção. O que este artigo demonstra é que, se o legislador estivesse imbuído de um certo objetivo (definido precisamente mais a frente), ele teria chegado ao atual algoritmo de divisão das sobras. Mas isso pode ser só coincidência. A intenção poderia ter sido outra e, ainda assim, o algoritmo resultante poderia ter sido o mesmo. Caberia talvez uma pesquisa histórico-legal para descobrir qual princípio norteou o estabelecimento desse critério.

 

      Análise do algoritmo  

Supomos, para leitura deste artigo, que o leitor está familiarizado com o algoritmo descrito no artigo da Coluna do Botelho da RPM 37.


atribuir uma fração de cadeira a um partido, cada cadeira do Parlamento representaria  Q  eleitores. Por isso, se um partido teve  V  votos, é razoável determinar, a priori, que ele terá passos seguintes da distribuição de cadeiras.

Após a distribuição inicial vêm as etapas seguintes do algoritmo que formam a distribuição das sobras.

Suponhamos que os  n  partidos que se qualificaram, ,  tiveram, respectivamente,   votos. Suponhamos que a esses partidos sejam atribuídas    cadeiras do Parlamento, respectivamente. Como medir a qualidade ou imperfeição dessa distribuição de cadeiras, tendo como axioma político que o número de cadeiras de cada partido deveria ser proporcional ao número de votos?

partido . Chamemos que  q  o menor desses  n  quocientes. Como  q  depende de   ,  usaremos às vezes a notação  . Veremos a seguir que a distribuição das sobras é feita de modo a maximizar  q  a cada passo.

Temos portanto:

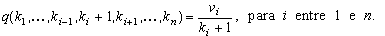
 nova cadeira, estaremos, nesta etapa, escolhendo o partido que ganha a nova cadeira de modo a maximizar  q.  Mais do que isso, o partido que recebeu a nova cadeira passa a ser aquele

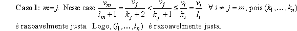
Nas etapas seguintes, também será verdade que, após a atribuição da nova cadeira, o menor cadeira. Isso é conseqüência da maneira com que os inteiros c1, . . ., ck são escolhidos na primeira etapa. É o que veremos com a ajuda da definição e da proposição seguintes.

Definição: Uma n-upla de inteiros positivos    é dita razoavelmente justa  (com
para todo  i  entre  1  e  n.

Observação:  Segue imediatamente das definições que, se a  n-upla    é razoavelmente justa, então

Voltemos agora ao algoritmo de distribuição das sobras. Segue da afirmação (1) que a  n-upla    determinada pelo primeiro passo do algoritmo é razoavelmente justa. A lei prescreve que, a cada passo da distribuição das sobras, seja somada uma cadeira à

A proposição a seguir mostra que, em todas as etapas do processo, as  n-uplas obtidas são razoavelmente justas. Da observação segue também que, ao atribuirmos a nova cadeira a  ,  estamos tornando o novo  q  o menor possível ao fim daquele passo.


 

 

     Um problema de máximo global  

Partindo do princípio de que distribuição boa é aquela que tem  q  grande, somos naturalmente levados à seguinte questão:

Será que o algoritmo da lei eleitoral, ao maximizar  q  a cada passo, leva-nos ao máximo valor de  q  dentre todas as possíveis distribuições de cadeiras com  ?

Vimos na seção anterior que a n-upla de partida do algoritmo da lei eleitoral é razoavelmente justa e que, a cada passo da distribuição das sobras, são obtidas n-uplas razoavelmente justas. Em particular, a distribuição final de cadeiras é razoavelmente justa e, portanto, a resposta à  pergunta acima é sim.
 

     Um exemplo númerico  

Cinco partidos    disputam oito cadeiras de uma câmara municipal e obtêm, respectivamente, as votações:

,   ,  ,   , 

O total dos votos válidos (lembrando que, agora, voto em branco é considerado nulo, como informado na RPM 38, pág. 37) é    e o quociente eleitoral é o maior inteiro

Sem usar o resultado teórico (*), uma maneira de verificar que    é um ponto de máximo global para  ,  com  ,  seria calcular  q  de toda 4-upla cuja soma resultasse  8.

Uma maneira alternativa é usar o argumento:


 
,  ,  ,    e  .  Ou seja, ela tem que ser  .

Gostaria de agradecer ao Professor Antônio Luiz Pereira por conversas a respeito do assunto, e ao Professor Carlos Isnard por ter dado a definição de n-uplas razoavelmente justas, o que me permitiu melhorar a versão original deste artigo.

   

Severio Toscano do Rego Melo é professor do Instituto de Matemática e Estatística da USP desde 1992, tendo sido anteriormente docente da UFPE. Nasceu no Recife em 1960. Fez graduação e mestrado na UFPE e doutorado na Universidade da Califórnia, Berkeley.