Sérgio Alves
IME-USP

Envie suas perguntas para:
RPM - O leitor pergunta
Caixa Postal 66281
05315-970 São Paulo, SP

 

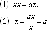
   Com freqüência a RPM recebe de seus leitores pedidos de esclarecimento sobre a solução da equação incompleta  x2 ax = 0, com perguntas do tipo: O que está errado na solução abaixo?

RPM:

A passagem de ( l ) para (2) equivale a "cancelar" o x.

Evidentemente x = a é solução da equação, mas x = 0 também é solução e não é obtida pela resolução feita.

Acontece que, na passagem de (1) para (2), dividimos ambos os lados da igualdade por x e, ao fazermos isso, impomos x 0, uma vez que não se define divisão por zero (ver RPM 1, pág. 7); logo, com esse procedimento só obtemos soluções diferentes de zero.

Uma maneira correta de resolver é:   x(x a) = 0 x = 0   ou  x = a

já que o produto de dois números é zero se, e só se, pelo menos um deles é igual a zero. Esse procedimento fornece então as duas soluções  x = 0   e  x = a.

É claro que se pode também utilizar a fórmula de resolução da equação do 2 grau, mas esse procedimento mecânico não traz nenhuma vantagem para o aprendizado.

 

   Um leitor de Campinas, SP, nos pede a solução do problema:

Encontre todos os valores reais de x e y satisfazendo  x2 + 4x cos y + 4 = 0 .

RPM:

Considerando a expressão acima como uma equação de segundo grau em   x, queremos achar suas raízes reais. Para isso, o discriminante   = 16 cos2 y 16  deve satisfazer 0, ou seja:   l6cos2 y 16 0 o cos2 y 0 cosy = ±1 .

Para  cos y = 1  temos  y = 2k,   k Z,   e a equação inicial se reduz a   x2 + 4x + 4 = 0,  cuja única solução é  x = 2.

Para   cos y = 1   e,   portanto,    y = (2k +1)n,    k Z,   a   equação   x2 4x + 4 = 0    tem uma única raiz  x = 2.

Concluímos que as soluções da equação dada são todos os pares ordenados (2,(2k + l))   e  (-2, 2k)   com   k Z.

 

   Dois professores de Teresina, PI, nos enviaram o problema:

 

Determinar a área do círculo da figura,  sendo dados  = 120°,  AC = 4 cm, e  BC = 6 cm.

RPM:

A reta perpendicular à corda AB, pelo ponto O, que é o centro da circunferência, corta a corda em seu ponto médio M, logo: BM = MA = 5 e, então, CM = 1 . No triângulo OMC, retângulo em M, temos CM

No OCA conhecemos, então, o ângulo de 120° e seus lados adjacentes OC = 2 e AC = 4 ; logo, pela lei dos cossenos, podemos escrever:

A área do círculo é 28 cm2 .