Eduardo de Campos Valadares
(UFMG)
Eduardo Wagner
(Comitê Editorial da RPM)
Nota da RPM: Recebemos um artigo de Eduardo de Campos Valadares que trata de somas de inteiros e de cálculos de áreas e volumes por métodos geométricos. Considerando que o artigo contém material interessante para o professor de Matemática do ensino fundamental e médio, resolvemos publicar uma síntese dele, abordando somas de inteiros e agregando também idéias semelhantes já publicadas na literatura internacional.  

 

     Introdução de Eduardo de Campos Valadares  

Um dos maiores prazeres que o ensino de Matemática pode proporcionar aos alunos é o da descoberta (ou da redescoberta) de resultados matemáticos já conhecidos a partir de material vista em aula. Iniciamos este artigo com o problema clássico de calcular a soma dos  n  primeiros números naturais pelo método que Gauss teria utilizado aos dez anos para somar de 1 a 100 de cabeça, para surpresa do seu professor. Mostraremos ainda como calcular a soma dos quadrados dos  n  primeiros naturais e outros resultados interessantes.

Se    a soma dos  n  primeiros números naturais. O método utilizado pelo jovem Gauss para calcular essa soma é bastante simples, embora engenhoso. Ele escreveu a soma pedida e, embaixo, escreveu a mesma soma ao contrário

Somando, obtemos    com  n  parcelas, ou seja,

A demonstração a seguir usa essencialmente a mesma idéia.

 

     A soma dos  n  primeiros números naturais

I.  A soma dos  n  primeiros números naturais pode ser visualizada geometricamente através da figura abaixo. Nela vê-se um retângulo formado por bolinhas. A base do retângulo possui    bolinhas e a altura tem  n  bolinhas. No total, temos então    bolinhas. Observe     agora que elas estão divididas em duas partes iguais pela linha poligonal e em cada uma delas aparece a soma  .  Obtém-se, então, a fórmula da soma dos  n  primeiros números naturais.

 

 

Nota da RPM: A figura acima apareceu na coluna de Martin Gardner “Mathematical Games”, da Scientific American de outubro de 1973, junto com várias outras chamadas “look-see diagrams” e o autor cita que ela já era conhecida pelos gregos antigos. Posteriormente, figuras demonstrando resultados matemáticos conhecidos apareceram nas revistas Mathematics Magazine e The College Mathematics Journal, publicadas sob o título “Proofs without words” (Demonstrações sem palavras). Em 1993, as melhores demonstrações sem palavras dessas revistas foram reunidas por Roger Nelsen e publicadas no livro Proofs without wordsExercices in visual thinking pela MAA (Mathematical Association of America). Esse livro será a nossa principal referência neste artigo, doravante designado por [Pww].

II.  Uma outra forma de obter a soma dos  n  primeiros números naturais utiliza a figura a seguir e o conceito de área. Observe que a soma    é igual à área do triângulo grande (metade de um Quadrado de lado  n)  mais a metade de  n  quadrados.



     A soma dos números ímpares  

A soma dos  n  primeiros números ímpares pode ser visualizada através da figura a seguir. O fato de que essa soma é igual a    já era do conhecimento dos antigos pitagóricos, mas a figura é da autoria de Nicômaco de Gerasa (um pitagórico tardio), que viveu em torno do ano 100 d.C. {Pww].

 

 

 



     A soma dos quadrados dos  n  primeiros números naturais  

I.  Considere inicialmente três “castelos” iguais como os da figura A. Cada um deles é formado por    cubos unitários. Na figura B os três castelos foram reunidos e nota-se que o último andar possui apenas a metade dos cubos necessários para completar um paralelepípedo. A figura C mostra os cubos do último andar cortados horizontalmente pela metade, sendo a parte de cima (mais escura) utilizada para completar o paralelepípedo. Pela figura D vemos que a soma  ,  que é o volume dos

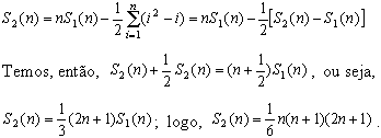
II.  Uma alternativa para calcular a soma dos quadrados de números naturais consiste no seguinte. A parte clara da figura abaixo, os quadrados superpostos de lados  1, 2, 3, ..., n,  representa a soma que denotaremos por  .  Seja  .

Temos de subtrair do retângulo de lados  n  e  S1(n)  (área = n x S1(n))  a região escura que consiste de tiras retangulares de largura unitária e cujos comprimentos valem  S1(n 1),  S1(n 2)  etc. Então

  .

Note que a substituição de    por    no somatório não afeta o resultado final, já que  .  Portanto,

 

     Soma dos cubos dos  n  primeiros números naturais  

Uma abordagem geométrica semelhante permite determinar também    .  Na figura a seguir, é representada pela soma dos volumes de cubos de arestas 1, 2, 3, ..., n.

Podemos associar essa figura a uma mina a céu aberto onde a retirada de minério deu origem a diversos terraços em forma de  L.  A área    do i-ésimo terraço é obtida subtraindo-se da área do topo do cubo correspondente,  ,  a área    da base do bloco cúbico de lado  ,  de modo que  .

Nossa tarefa consiste em obter o volume de minério que ainda resta na mina,  ,  supondo que originalmente o local tivesse o formato de um bloco de dimensões  .  Assim, devemos subtrair do volume original,  ,  o volume do minério já retirado. A contribuição do i-ésimo terraço,  ,  é calculada multiplicando-se a área do terraço, denotado por  ,  pela distância  ,  entre o terraço e o topo da mina  .  Somando todos os  ,  notando que a substituição, no somatório, de    por    não altera o resultado temos:

.

Obtemos, então,    em termos de    e  :

 

     A soma de uma série geométrica  

Sendo  r  um número positivo menor que  1,  quanto vale a soma infinita  ?  A resposta pode ser obtida através de um desenho bastante engenhoso.

Na figura seguinte,  ASPQ  é um quadrado de lado 1  e  .  A reta  PR  forma o triângulo  PTS  no qual 

(Essa última igualdade pode ser verificada construindo-se um novo quadrado de lado  r  obtendo o segmento de medida    uma vez que a razão entre as medidas dos segmentos é 

O que cada umas das figuras abaixo pode mostrar?

Observação

Demonstrações visuais ou demonstrações de resultados algébricos que utilizam métodos geométricos são interessantes para motivar os alunos e fixar resultados. Em geral, geometria e álgebra são tratadas separadamente, mas, como vimos aqui, idéias geométricas podem enriquecer o ensino de certos tópicos de álgebra, tornando o aprendizado mais estimulante.

É certo que, para os alunos, as demonstrações visuais podem parecer, em um primeiro momento, ter algo de “magia”. É importante que eles percebam que a mágica é apenas aparente: a descoberta de um resultado matemático é fruto de experimentação, dedicação e compreensão dos conceitos envolvidos.

Em suma, demonstrações visuais de resultados algébricos podem ser úteis como complemento de aprendizagem, sendo usadas com bom-senso sem exageros e deixando clara a necessidade, no caso de números naturais, por exemplo, do axioma da indução, para provar definitivamente certos resultados.

__________
NR: A RPM deseja expressar os seus agradecimentos à professora Edna Maura Zuffi, de São Carlos, SP que, tendo lido uma versão anterior do presente artigo, fez críticas construtivas e ofereceu algumas sugestões. A colega é autora de um trabalho intitulado Somas finitas e área de um quadrado que contém uma outra abordagem geométrica de alguns dos problemas aqui apresentados.
 

Agradecimentos do autor Eduardo de Campos Valadares.

O presente artigo é especialmente dedicado ao Prof. Mozart Coutinho Dolabela (in memoriam), que nos constagiou com seu entusiasmo e visão criativa da Matemática. O autor agradece ao Prof. Emmanuel A. Pereira pelas sugestões e a Allyson M. Moreira pela elaboração das figuras.

 

Eduardo de Campos Valadares é professor do Departamento de Física da UFMG e publica regularmente artigos de divulgação científica em revistas nacionais e internacionais. O artigo aqui publicado foi concebido enquanto lecionava para alunos do curso de licenciatura do período noturno da UFMG. Divulga, para contatos, seu e-mail: ecampos@dedalus.lcc.ufmg.br