Élvia M. Sallum
Flávio Wagner Rodrigues
IME – USP

Soluções e Sugestões
RPM – Problemas
Caixa Postal 66281
05315-970 São Paulo, SP
 

     Problemas

158. Nas faces de um dado perfeito (todas as faces têm probabilidade igual a 1/6) são pintados os algarismos  0,  1,  2,  3,  4  e  5. Esse dado é lançado sucessivamente até que, pela primeira vez, a soma dos pontos obtidos seja estritamente maior que  12. Qual é o valor mais provável da soma obtida?

(Do livro: Mathematical Quickies de Charles W. Trigg.)

159.Na figura determine o raio da circunferência menor em função do raio R do quadrante.

(Enviado por Amadeu Carneiro Almeida, RJ.)

160. Para que valores do inteiro    a equação    admite raízes múltiplas?

(Do livro: Problem-solving through problems de Loren C. Larson.)

 

161. Numa folha havia o seguinte desenho: um quadrilátero  ABCD  e um paralelogramo com os vértices em lados distintos do quadrilátero. O professor apagou o paralelogramo deixando marcado apenas o seu centro  O. Como reconstruir o paralelogramo?                
(Olimpíadas Argentinas)

     ... e probleminhas

1.   Dois mercados vendem presunto pelo mesmo preço e estão fazendo as seguintes promoções:

Mercado A: Compre  4  peças e leve  5.

Mercado B: Compre  4  peças e pague  3.

Qual deles oferece o maior desconto?

(Extraído do Equis, no 2 - Montevidéu, Uruguai.)

 

2.      Coloque em ordem crescente: 

(Extraído do Jornal de Matemática Elementar, no 171 - Lisboa, Portugal.)

 

3.      Qual é o valor de  x  na expressão:  ?

(Extraído do Jornal de Matemática Elementar, no 171 - Lisboa, Portugal.)

(Ver respostas na seção "O leitor pergunta")

 

Notas: 

1.  O Probleminha no. 1 da RPM 36 nos foi enviado pelo leitor Antonio Ricardo de Melo Santos. Nossas sinceras desculpas por seu nome ter sido involuntariamente omitido.

2.  O leitor Francisco Rocha Fontes Neto, respondendo à pergunta colocada no Probleminha no. 1, nos enviou diversos exemplos de outros números interessantes.

 

 

     Soluções dos problemas propostos na RPM 35

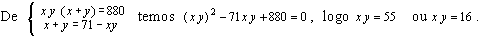
150. Sejam  x e y  inteiros positivos tais que  e . Determine  .

Solução:

Para    temos  ; porém não existem inteiros  x  e  y  que verificam essas duas equações.

Para    temos  ; logo  x  e  y  são as raízes  11  e  5  da equação  Assim,  .

(Solução enviada por diversos leitores.)

 

151. Numa circunferência de raio  R  fixe dois pontos  B  e  C. Mostre que o lugar geométrico dos baricentros dos triângulos  ABC,  onde  A  é um ponto qualquer dessa circunferência, é uma outra circunferência de raio    que corta  BC  em três segmentos congruentes.

Solução:

Sejam  O  o centro da circunferência dada de raio  R,  M  o ponto médio de  BC  e   

Para cada  A  na circunferência dada considere  G  o baricentro do  .

Observe que nos casos degenerados onde    ( )  consideramos  G  no segmento 

Reciprocamente, cada ponto dessa circunferência é baricentro de algum    com  A  na circunferência dada. (Por quê?)

(Solução enviada por vários leitores.)

 

152. Construir, com régua e compasso, um triângulo  ABC, conhecendo o ângulo Â,  o perímetro e um ponto  P  do lado  BC.

Solução:

Suponha o problema resolvido. Considere uma circunferência que tangencia o lado  BC  e os prolongamentos de  AB  e  AC  nos pontos  L, M  e  N  respectivamente (ver figura). Como    e    segue-se que ,  onde  2p  é o perímetro do triângulo. Segue-se que  .

Construção: Determine nos lados do ângulo dado os pontos  M  e  N  tais que . Construa a circunferência que tangencia os lados do ângulo  A nos pontos  M  e N.  Trace por  P  uma tangente a essa circunferência determinando os pontos  B  e  C  nos lados do ângulo.

(Solução enviada por vários leitores.)

 

153. Exprimir o número 1997 como uma soma de parcelas positivas, de modo tal que o produto dessas parcelas seja o maior possível.

Observação: No enunciado do problema 153 foi omitido o fato de que as parcelas deveriam ser inteiras. Pedimos desculpas ao professor Morgado, que sugeriu o problema, e aos nossos leitores por essa nossa falha involuntária. Alguns dos leitores que enviaram soluções admitiram que as parcelas deveriam ser inteiras, enquanto outros tentaram, sem conseguir justificar satisfatoriamente, resolver o problema mais geral. Vamos apresentar a seguir a solução no caso de parcelas inteiras positivas.

Solução:

Vamos mostrar inicialmente que nenhuma parcela deve ser maior do que  4. De fato, se existir uma parcela   e k for par, a substituição de k por   aumenta o valor do parcela igual a 4 pode ser substituída por    sem alterar o produto, concluiremos que podemos nos restringir a parcelas iguais a  2  e  3.

Vamos mostrar em seguida que o número de parcelas iguais a  3  deve ser a maior possível. De fato, se existirem    parcelas iguais a  2, a substituição de cada grupo de  3  parcelas por duas parcelas iguais a  3 aumenta o valor do produto.

Segue-se que a decomposição de 1997, que corresponde ao maior valor do produto, é formada por uma parcela igual a 2 e 665 parcelas iguais a 3.

 

 

A seção de problemas da RPM ganha um ilustre colaborador

Na RPM 36 publicamos a solução do problema do bilhar circular (problema 147) que nos foi enviada por Edner Abhasen do Rio de Janeiro, RJ.

Na sua carta ele afirma ser descendente do matemático árabe Abhasen, que resolveu esse problema no século XI, informando também que esse problema reapareceu em Paris em 1842 e agora na RPM em 1998. Conclui dizendo que esse fenômeno de reaparecimento também pode ocorrer com pessoas, levando-nos a pensar que ele é (ou pelo menos pensa ser) uma reencarnação de seu ilustre antepassado.

Ele promete novas aparições na seção Problemas.


 

 

Relação dos leitores que enviaram soluções dos problemas 150 a 153 da RPM 35

Alceu de Amorim Ramos, SP – 150

José Henrique Piccinillo, SP – 150

Alessandra Aparecida da Silva, SP – 150

José Hernandez, SP – 150

Alexissandro P. Bulhões, ES – 150

José Joaquim P. Condé, MG – 151

Altemir das Chagas Lima, PR – 150

Levi Brasilino da Silva, PE – 150, 151

Amadeu Carneiro de Almeida, RJ – 151

Lhioko S. Taira, SP – 150

Anderson Antonio de Araújo, RJ – 150

Luiz Angelo G. Vieira, MG – 150

Antonio C. M. Neto, CE – 150, 151 152, 153

Luiz Gonzaga Viana Neto, CE – 150

Antonio Ferreira Sobrinho, SP – 150, 151

Manoel Eduardo R. Azevêdo, RN – 150

Antonio Luiz Miranda, RJ – 150

Manuel J. de J. Almeida, RJ – 150,151

Antonio M. Santos, PR – 150, 151, 153

Marcelo C. Cavalcanti, ES – 150

Antonio R. de M. Santos, MG – 150

Marcelo Carvalho Ferreira, RJ – 150

Aron Roberto Ferreira, MG – 150

Marcelo Gamba, SP – 151

Astrogecildo Ubaira Brito, AP – 150

Marcelo J. C. da Rocha, RJ – 150

Berenice Vilela A. Alves, MG – 150

Marcos Keller, RJ – 150, 151, 152

Carlos Alberto S. Victor, RJ – 150, 151, 153

Marcos Luiz Henrique, PE – 150, 151

Carlos Cley E. Ladislau, CE – 150

Marcos Vinicius M. Maciel, RJ – 150

Carlos Henrique Lima, PA – 150

Maria de L. F. dos Santos, SP – 150

Cesar Joaquim R. da Silva, RJ – 150

Maria Ivete C. Rodrigues, SP – 150

Cid Carlos L. da Silva, AL – 150

Maurício T. de Oliveira, SP – 150, 153

Cristovom A. Girodo, SP – 150

Maurinei Carlos Santana, MG – 150

Cristovam M. de Souza, PE – 150

Mauro Felix de Souza, RJ – 150

Enrico Carlo L. Martignoni, RJ – 150

Nelio Toshio Kikuchi, SP – 150, 152

Etiene Silva A. Ramos, SP – 150

Noel de Oliveira Santos, SP – 150

F. W. Leão, RJ – 150, 151, 152

Noisés Pereira da Silva, PE – 150

Flávio Ricardo L. Cunha, GO – 150, 153

Otavio L. C. S. Magalhães, MG – 150

Florival C. de Sousa, GO – 150, 151, 152

Paulo Sergio Adami, SP – 150

Francisco C. S. Carvalho, PI – 150

Regina de C. M. de Almeida, RJ – 150

Francisco Rocha Fontes Neto, MA – 150

Regis Sant’Anna, PR – 150, 151,152,153

Frank Emerson T. Casadio, RJ – 150, 153

Ricardo Klein Hoffman, RS – 150

Geovane Duarte Borges, PA – 150

Rogério dos Santos Mendes, PE – 150

Gilberto Tenani, SP – 150

Rosendo Eduardo C. Marcon, RS – 150

Helder Alves de Oliveira, PB – 150

Ruy Carlos Mikitz, RJ – 150, 153

Ivan José Coser, PR – 150

Sebastião M. dos Santos, MG – 150, 153

Ivan Mariano L. Costa, MG – 150

Sérgio Dalmas, SC – 150, 151

João Linneo A. Prado, SP – 151

Sérgio de Paula Silva, RJ – 150

Joaquim M. Coutinho, RJ – 150

Sigridi de Almeida Borges, SP – 150

Jorge André S. de Paiva, BA – 150

Sun H. Ming, SP – 150

Jorge Ferreira dos Santos, RJ – 150

Tsunediro Takahashi, SP – 150

José Carlos G. Gaspar, RJ – 150

Vicente Wilson M. Gaetta, AM – 150

José G. L. Rodrigues, DF – 150, 151

Wanderley Gamba, SP – 150