Eduardo Wagner
Rio de Janeiro

     Introdução

Em uma breve visita à cidade de Fortaleza, fui abordado por um professor que me perguntou como calcular o volume de certo poliedro. Estávamos na festa de premiação dos estudantes classificados na Olimpíada Brasileira de Matemática e naturalmente não tinha possibilidade de tentar resolver no momento o problema que o incomodava, mas prometi pensar e enviar a resposta depois. O fato é que o problema é interessante e me motivou a escrever este pequeno artigo.

O problema é o seguinte:

Um poliedro tem duas faces paralelas, que chamarei de bases. Essas bases são quadrados, mas os lados de uma não são paralelos aos lados da outra. Todas as outras faces, que chamarei de faces laterais, são triângulos.

Conhecendo os lados das bases e a distância entre os planos das bases, é possível calcular o volume desse poliedro?

O próprio professor que me fez a pergunta tinha uma certa intuição de que não era possível e me fez duas outras perguntas:

1)   Se fizermos uma translação de uma das bases em um plano paralelo à outra, o volume se modifica?

2)   Se uma das bases, mantendo-se em seu plano, girar em torno de seu centro, o volume se modifica?

O poliedro em questão é assim:

As bases são quadradas, estão em planos paralelos, mas seus lados não são respectivamente paralelos. Como se calcula o volume desse poliedro? Essa é a questão.

Para responder, vamos estudar um sólido um pouco mais geral. Consideremos o problema de calcular o volume de um poliedro que possui duas bases paralelas quaisquer e faces laterais triangulares. São conhecidas as bases e a distância entre elas. Na figura abaixo mostramos um poliedro desse tipo. A base inferior é um quadrilátero  ABCD  de área  S1, a base superior é um triângulo  EFG  de área  S2  e a distância entre as duas bases é h. Como o leitor poderá perceber durante a demonstração, não importam os gêneros das bases. Consideramos um quadrilátero e um triângulo apenas para facilitar o desenho.

Será necessário também considerar uma seção nesse poliedro eqüidistante das duas bases. Essa seção corta todas as arestas laterais nos seus pontos médios e seja  Sm  sua área. Na figura, M  é médio da aresta  AE  e  N  é médio da aresta  BE.

Isso implica que o segmento  MN  é paralelo à aresta  AB  e que a área do triângulo  EMN  é a quarta parte da área do triângulo  EAB.

Tomemos um ponto  O  qualquer sobre a seção eqüidistante das bases. O nosso poliedro pode ser decomposto nos seguintes sólidos:

     uma pirâmide de vértice  O  e base  ABCD;

     uma pirâmide de vértice  O  e base  EFG;

    tetraedros de vértice O e bases nas faces laterais do poliedro (OEAB, OEBF, OFBC, etc.).

Vamos tratar agora de somar os volumes desses sólidos. A pirâmide de vértice  O  e base  ABCD  tem volume

.

A pirâmide de vértice  O  e base  EFG  tem volume

.

O problema agora passa a ser o de calcular os volumes dos tetraedros de vértice  O  e bases nas faces laterais do poliedro. Vamos então observar o que ocorre com um deles, por exemplo o tetraedro  OEAB.

Seja  d  a distância do ponto  O  ao plano  EAB. O volume do tetraedro OEAB  é:

,

onde    representa a área do triângulo  EAB. Mas, como ,  então o volume de  OEAB  é igual a

.

.

Dessa forma, a soma dos volumes dos tetraedros  OEAB, OEBF,  OFBC,  etc. é igual a

,

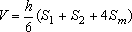
Portanto, o volume do nosso poliedro é igual a 

,

ou seja,  

 

Conseguimos então uma fórmula para calcular o volume dos poliedros desse tipo, mas não pense, leitor, que se trate de uma fórmula original. Ela se deve a Thomas Simpson (1710-1761), professor inglês e autor de diversos trabalhos em cálculo, geometria e trigonometria.

Vamos, então, responder às perguntas formuladas pelo professor.

 

Pergunta 1: Conhecidas as bases e a distância entre elas, o volume do poliedro está determinado?

Resposta: Não. Claramente, o volume desse poliedro depende das áreas das duas bases, da distância entre elas e também da área da seção eqüidistante das bases. Portanto, sem conhecer essa seção não podemos calcular o volume do poliedro.

 

Pergunta 2: Aplicando uma translação em uma das bases em um plano paralelo à outra, o volume se modifica?

Resposta: Não. O volume permanece constante. Essa translação não muda as áreas das bases e a altura. Mas o que ocorre com a seção eqüidistante das bases? Repare que cada lado dessa seção é paralelo a um lado de uma das bases e tem comprimento igual à metade desse lado. Por exemplo,  MN  tem comprimento igual à metade de  AB,  NP  tem comprimento igual à metade de  EF, etc., e isso não se modifica com a translação. Por outro lado, os ângulos do polígono  MNPQ... permanecem os mesmos, porque cada lado da seção eqüidistante é paralelo a um lado de uma das bases e uma translação não modifica esses ângulos. Concluímos, então, que uma translação em uma das bases (em seu próprio plano) não muda a seção eqüidistante e, por isso, o volume do poliedro permanece constante.

 

Pergunta 3: Uma rotação de uma das bases em torno de seu centro modifica o volume do poliedro?

Resposta: Sim. Uma rotação de uma das bases não muda os lados da seção eqüidistante, mas modifica seus ângulos. Com isso, a área dessa seção se modifica e o volume do poliedro também.

Para ilustrar, vamos calcular o volume do poliedro proposto pelo professor cearense nas seguintes condições: as bases são quadrados  ABCD  e  EFGH  de lados  a  e  b,  respectivamente, a distância entre as bases é  h  e vamos considerar que cada lado de uma das bases seja paralelo a uma diagonal da outra base. Por exemplo, os lados  EF  e  GH  serão paralelos à diagonal  AC.

 

A seção eqüidistante das bases é o octógono  MNPQRSTU. Observe que  , , , , e assim por diante. Além disso,  MN  é paralelo a  EH,  que, por sua vez, é paralelo a  BD,   de acordo com nossa hipótese. Como  NP  é paralelo a  AB,  concluímos que o ângulo  MNP  mede 135o, e, como o mesmo argumento vale para todos os outros ângulos, concluímos que a seção eqüidistante das bases tem todos os seus ângulos de 135o.

O nosso problema agora é calcular a área dessa seção, mas isso não é difícil. Repare que  MPRT  é um quadrado. Sendo  c  o seu lado, então sua área é dada pela lei dos cossenos no triângulo  MNP:

  ,

ou seja,

.

Por outro lado, cada um dos triângulos  MNP,  PQR,  RST  e  TUM tem área

.

Somando a área do quadrado central com as áreas dos quatro triângulos, obtemos a área da seção eqüidistante das bases:

.

Finalmente, aplicando a fórmula que encontramos para o volume dos poliedros desse tipo,

Durante toda a exposição não dei um nome a esse poliedro. Na verdade, não sabia se ele tinha algum nome. Enquanto estava redigindo este artigo, lembrei então do professor Zoroastro Azambuja e lhe telefonei. Fazia tempo que não falava com ele e mais uma vez me surpreendi com sua lucidez e sabedoria. Ele me disse que esse poliedro que possui duas bases paralelas e como faces laterais triângulos, paralelogramos ou trapézios deve ser chamado de prismatóide. E ficamos, então, combinados assim.

 

Referências Bibliográficas

[1]    Boyer, C. B. História da Matemática. Editora Edgard Blücher Ltda., 1974.

[2]    Heath, T. L. The thirteen books of Euclid´s Elements, vol. 2, New York, 1956.

[3]   Newman, J. M. The Rhind Papyrus, The World of Mathematics, vol. 1, Simon and Schuster, New York, 1956.