Sônia P. Carvalho
Sylvie O. Kamphorst
UFMG, MG

     Introdução  

Nosso objetivo é estudar a dinâmica de um número positivo menor do que 1 pela aplicação da função

  ,

onde    significa tomar a parte inteira do número  2x.

Este é um exemplo interessante: apesar de relativamente fácil de ser estudado, permite observar alguns dos conceitos sofisticados que aparecem no estudo de sistemas caóticos.

Vamos começar observando como funciona a função f (x) .

Para  ,  .

Para  ,  .

Observe a tabela

Tomemos o ponto    e vejamos como ele evolui se aplicamos sucessivamente a função  .  Vemos pela tabela que    é levado pela  f  em  ,  que, por sua vez, é levado pela  f  em  ,  que é levado em  ,  que é levado em  ,  que é levado em  , que volta a ser levado em    e daí forma-se um ciclo. Esquematicamente podemos escrever:

ou, se preferirmos, podemos fazer graficamente,

  O conjunto

O

chama-se a órbita do ponto    pela função  .

É um bom exercício para o leitor achar a órbita de  .

   

     Números inteiros na base 2 

Todo número inteiro positivo, no sistema decimal, é representado como soma de unidades, dezenas, centenas, etc., isto é, como soma de diferentes potências de 10, com coeficientes cujo valor vai de 0 a 9. Por exemplo: 2 728 é 2 milhares, 7 centenas, 2 dezenas e 8 unidades, ou seja,   .

Na base 2 as coisas funcionam de maneira análoga. Um número inteiro positivo na base 2 é representado como soma de potências de 2, com coeficientes valendo 0 ou 1.

Por exemplo,  . Assim, 7, na base 2, se escreve  111.

Podemos escrever:

base 10

0

1

2

3

4

5

6

7

8

9

10

base 2

0

1

10

11

100

101

110

111

1000

1001

1010

 

     Números menores do que 1 na base 2

No sistema decimal um número menor do que 1 aparece na forma    onde os  ’s  tem valor de  0  e  9.  Eles correspondem a somas de potências de expoente negativo de 10.  Por exemplo,

.

Na base  2  acontece a mesma coisa, só que com potências negativas de  2  e os coeficientes só podem valer  0  ou  1. Por exemplo,  é um número menor que  1  representado na base  2,  correspondendo, na base 10, à seguinte soma de potências negativas de  2:

.

Os números, representados na base  2,    e    são, na base 10,

.
 

      Dobrar um número na base 2 

Dobrar um número na base 2 é muito bacana. Vejamos num exemplo como funciona. Seja  um número representado na base 2.  

Logo,

.

Logo, na base 2 temos:             e       .

Vemos que multiplicar por 2, na base 2, é andar com a vírgula para a direita. Observe também que dividir por 2 corresponde a andar com a vírgula para a esquerda. Exatamente como acontece na base  10,  ao se multiplicar e dividir por  10.

De volta a y = f(x) = 2x [2x]  

Tome  , escrito na base 2. A órbita de  é o conjunto O , onde   , , ,  etc.

,

,

,

,

   ,  e então       .

Observe também que  ,  ou, melhor ainda,  que  ,  para todo  n.  A órbita desse ponto tem um ciclo de período 3.

Deixamos para o leitor achar as órbitas de

,
e .  

Elas têm ciclo?

 

    Comportamento de órbitas e tipos de números

Você deve ter observado que, se um número escrito na base  2  tem uma representação finita, a órbita dele vai até o zero e fica por lá. Se o número tem uma representação periódica, a órbita, a partir de uma certa hora, começa a se repetir, fazendo um ciclo. E, se a representação é infinita e não é periódica, a órbita fica “passeando” pelo segmento  ,  sem parar em lugar nenhum e sem formar ciclos. Assim, o comportamento da órbita de    está completamente determinado pela representação de      na base  2.

Um número real pode ser um racional, isto é, uma fração da forma  ,  com  p  e  q  números inteiros, ou um número irracional, que são os que não são frações, como     ,  p,  e,  etc. 

Não é difícil mostrar que a representação de uma fração na base 2 é finita se e somente se o denominador é uma potência de 2 (estamos falando de frações na forma reduzida, isto é, com numerador e denominador primos entre si).

Observemos agora o que acontece com as representações periódicas. Tomemos  .

,

isto é, uma fração com denominador diferente de uma potência de 2 (e tinha mesmo que ser, pois já vimos que, se o denominador fosse potência de 2, então a representação seria finita!).

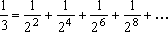
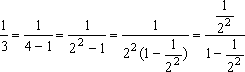
Observemos agora ao contrário. Tomemos  , uma fração cujo denominador não é uma potência  de  2.

.

Vemos que    é a soma de uma PG, com    e  . Logo,

e sua representação na base 2  é 

O que esses exemplos sugerem (e isso pode ser demonstrado) é que uma fração cujo denominador não é uma potência de 2 dá uma representação periódica na base 2.

Na verdade, toda fração, ou número racional, quando escrita na base 2, ou tem um desenvolvimento finito (se o denominador é potência de 2) ou tem uma representação infinita e periódica (no caso contrário), e vice-versa. E os números irracionais terão representação infinita e que não se repete.

Juntando esses fatos com o que sabemos sobre a relação entre representação na base 2 e comportamento das órbitas, podemos fazer o seguinte resumo:  

 

RESUMO

Os números podem ser  

Representação na base 2  

Comportamento da órbita  


com  p  e  q  números inteiros). 

 representação finita  

a órbita vai morrer no zero  

 representação            infinita e periódica  

a órbita tem um ciclo  

irracionais  

representação infinita e não periódica  

a órbita passeia no intervalo  [0,1]  

 

     Caos 

Imagine uma função que apresente as seguintes características:

1)   Existem órbitas periódicas de todos os períodos. (Embora cada órbita periódica seja simples, a presença de todos os períodos torna a evolução do sistema mais complexa.)

2)   Existe sensibilidade em relação aos dados iniciais, isto é, em todas as regiões podemos observar pontos que num certo instante estão próximos e após algum tempo estão muito afastados. (Esse fenômeno de espalhamento das órbitas torna muito difícil a tarefa de fazer previsões sobre sistemas caóticos. É o que ocorre com as previsões meteorológicas.)

3)   Existe uma órbita que se espalha de tal maneira que, não importa onde estejamos, em algum instante ela se aproximará (arbitrariamente) de nós.

O leitor consegue imaginar tudo isso ocorrendo ao mesmo tempo?

É o caos!  Ou seja, toda função que apresenta as características descritas nos itens acima, tem uma dinâmica caótica.

Para muitos cientistas, basta haver sensibilidade em relação aos dados iniciais para que haja caos.

Vamos ver agora que a função  ,  definida para  ,  tem as características descritas em 1), 2) e 3).  

 

     1.    Infinitas órbitas periódicas  

Os números cuja representação na base 2 é periódica tem ciclos em suas órbitas. Por exemplo:

  tem  como  órbita   O   , isto é, um ciclo de tamanho 3. 

 tem como órbita   

, isto é, um ciclo de tamanho 5.

Chamamos de período da órbita o tamanho do ciclo. Então, o período será o número de casas da parte que se repete na representação do número na base 2. Como podemos inventar números com partes que se repetem com qualquer tamanho, teremos órbitas periódicas, com qualquer período.  

 

     2.    Órbitas de números próximos  

Para saber se dois números estão próximos, precisamos calcular a distância entre eles. Mas calcular a distância entre dois pontos na reta é pegar o valor absoluto da diferença entre eles, ou seja,

distância .

Por exemplo, se    e  ,  como    (compare as 7 primeiras casas depois da vírgula), temos

distância .

Assim,

.

Mas

,

pois é a soma da PG de razão    e  primeiro termo 1.

Assim,

O mesmo raciocínio nos fará concluir que, se dois números têm as  k  primeiras

Observemos as órbitas de    e    (a distância entre   e    é menor do
 pertinho). O ponto    tem representação finita e sua órbita vai morrer no zero em 10 passos, isto é,    e    para todo  .

Já a O ( ) começa a se repetir a partir da oitava casa com ,  ,  ,  , etc. ..., formando um ciclo de período 2. Observemos também que  está à direita de  1/2, isto é, é maior do que  1/2,  e  y9  está à esquerda de  1/2 ,  isto é, é menor do que 1/2 .

Como    e  ,  então  dist , o mesmo acontecendo com  , .

O ponto    tem o dígito 1 na 2a casa, está à direita de    e, logo,  dist ,  o mesmo acontecendo com  , .

Conclusão: O que observamos é que, apesar de as órbitas de    e    começarem bem pertinho  (dist ),  elas só ficam perto durante um certo tempo. Para  ,  dist ,  isto é, os pontos se afastam. Isso é verdade para as órbitas de quase todo par de pontos que tomarmos. Esse fenômeno chama-se sensibilidade em relação às condições iniciais e é um dos fenômenos que caracterizam um sistema caótico.

   

     3.    Uma órbita que passeia pelo intervalo todo

Vamos achar um ponto    e mostrar que sua órbita passeia por todo o intervalo  . Matematicamente, dizer que a órbita passeia é dizer que essa órbita se aproxima de qualquer ponto do intervalo, tão perto quanto se quiser. Ou seja, dado um ponto    do intervalo

O ponto    será construído por passos, como mostrado a seguir.

Observemos primeiro que podemos construir blocos de tamanhos variados usando  0’s  e  1’s. Por exemplo, com uma casa apenas temos os blocos:  0   e  1.  Com duas casas temos 4 blocos:  00, 01, 10  e  11. Com 3 casas temos 8 blocos: 000, 001, 010, 100, 011, 101, 110  e  111. Com 4 casas temos 16 blocos: 0000, 0001, 0010, 1000, 0100, 0011, 0101, 1001, 0110, 1100, 1010, 0111, 1011, 1101, 1110 e 1111. Por meio da análise combinatória, sabemos que existem    blocos com  k  casas, usando os dígitos 0 e 1 para preenchê-las.

O ponto    é construído colocando-se 0, vírgula e depois os blocos com 1 casa, seguidos dos blocos com 2 casas, depois os com 3 casas e assim por diante, dando:

  


bloco 001 corresponde às 3 primeiras casas de   e aparece no grupo dos blocos com 3 casas. Não é difícil ver que   e, assim,    e    têm as 3 primeiras

Assim, a órbita de    é uma que passeia pelo intervalo todo!

 

Referências Bibliográficas e Leituras Recomendadas

[1]    Fomin, S. V. Sistemas de numeração. Editorial Mir, Moscou, 1984.

[2]    Ifrah, Georges. Os números: a história de uma grande invenção. Editora Globo, 1989.

[3]    Niven, Ivan. Números racionais e irracionais. Coleção Fundamentos da Matemática Elementar, Sociedade Brasileira de Matemática, 1961.

[4]    Bogutchi, Tânia. Aritmética elementar em computadores, monografias de especialização, Departamento de Matemática, UFMG, 1991.

[5]    Gleick, James. CAOS - A criação de uma nova ciência. Editora Campus, 1991.

[6]    Stewart, Ian. Será que Deus joga dados? A nova matemática do caos. Jorge Zahar Editor, 1991.

[7]    Ruelle, David. Acaso e Caos. Editora UNESP, 1993.

[8]    Peitgen H.O., Jurgens, H., Saupe D. Fractals for the Classroom. Springer Verlag, Berlim, 1992.

[9]    Devaney, Robert. A First Course in Chaotic Dynamical Systems. Addison-Wesley Pub. Comp., Inc., 1992.

__________
NR.: Este trabalho nos foi apresentado na forma de atividade com várias tarefas propostas a alunos do 3o grau de Matemática. Membros do Comitê Editorial da RPM fizeram esta adaptação para artigo, com a concordância das autoras.