Flávio Wagner Rodrigues
IME–USP

  Soluções e Sugestões
RPM – Problemas
Caixa Postal 66281
05315-970 São Paulo, SP  
 

     Problemas

150.  Sejam x e y inteiros positivos tais que  xy + x + y = 71  e  x2y + xy2 = 880 .  Determine  x2+y2 .

(Olimpíadas Argentinas.)

151.  Numa circunferência de raio  R  fixe dois pontos  B  e  C. Mostre que o lugar geométrico dos baricentros dos triângulos  ABC,  onde  A  é um ponto qualquer  dessa circunferência, é uma outra circunferência de raio  R/3   que corta  BC  em três segmentos congruentes.

(Enviado por Cláudio Arconcher, Jundiaí, SP.)

152. Construir, com régua e compasso, um triângulo  ABC, conhecendo o ângulo Â,  o perímetro e um ponto  P  do lado  BC.

(Sugerido por Fabiano G. B. Brito, São Paulo, SP.)

153.  Exprimir o número 1997 como uma soma de parcelas positivas, de modo tal que o produto dessas parcelas seja o maior possível.

(Sugerido por A. C. Morgado, Rio de Janeiro, RJ.)

 

     ... e probleminhas  

1)   Uma pessoa fez 69 anos em 96 (1996), 58 anos em 85, 47 anos em 74, etc. Uma outra pessoa fez 79 anos em 97, 68 anos em 86, 57 anos em 75, etc. É claro que essa coincidência não acontece com todas as pessoas. Qual é a condição para que isso ocorra?                        

(Tirado de El Acertijo, 25.) 

2)    Se gato e meio come rato e meio em minuto e meio, em quanto tempo um gato come dois ratos?

(Enviado por Valdinéia B. Nascimento - Campina Grande, PB.)

3)    Coloque parênteses para que a expressão  5 2 x 1 + 4 6 = 5   se torne verdadeira.

(Enviado por Reinaldo Arakaki -  São José dos Campos, SP.)

(Ver respostas na seção "Livros")
 

     Soluções dos problemas propostos na RPM 33  

142. Mostre que quaisquer que sejam os  números  inteiros  a, b, c, d, e, a equação

não pode ter todas as raízes reais.

Solução: Sejam  r1, r2, . . . , r7   as  7  raízes da equação. Temos então:

r1, r2, . . . , r7 = 2

r1r2, r1r3, . . . , r6r7 = 3

raízes podem ser reais.

(Adaptado das soluções enviadas por vários leitores.)

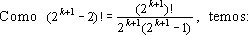
143.    Seja um número natural e  k  inteiro.

            

Solução: Para cada natural    denotemos por   o maior número inteiro k  tal que  2k
divide n. Por exemplo,  Se n é ímpar,  .  É fácil mostrar

Para isso vamos observar que:       e portanto:    .

Portanto:
 

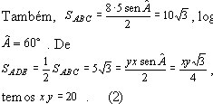
a)    Para 


 

.

  e

.


  é divisível por  .

(Adaptado da solução enviada por João Linneu A. Prado, Jaú, SP.)

 

144.    Na figura,  o ADE  tem o mesmo perímetro e a mesma área do quadrilátero  BCDE.  Determine os lados do ADE dados:   cm,  cm e  cm.

Solução:

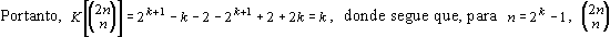
Sendo  p  o semiperímetro do ,  temos que a área    do    é dada por  .

Como os perímetros do  e do quadrilátero  CDEB  são iguais, temos  .    (1)


Por  (1)  e  (2):   e  . Aplicando a lei dos cossenos no    vem:

(Solução enviada por diversos leitores.)

 

145. Considere um quadrilátero ABCD  inscrito numa circunferência e I o ponto de intersecção das diagonais  AC e BD. Traçando por I  perpendiculares aos lados AB, BC,  CD e DA, obtemos os pontos M, N, P e Q, respectivamente. Prove que  I  é o centro da circunferência inscrita no quadrilátero  MNPQ.

Solução:

Como  ,  então  . Logo o quadrilátero  INCP é inscritível.

Do mesmo modo,  IPDQ,  IQAM  e  IMBN são inscritíveis. Considerando arcos nas diferentes circunferências nas quais cada um desses quadriláteros se inscreve, temos para o ângulo  da figura:

.  Então, 

Como por construção temos  ,  ,    e  ,  segue que:

 

donde, respectivamente, 

Logo  MNPQ  é circunscritível à circunferência de centro  I  e raio  IF.

(Solução enviada por diversos leitores.)

 

Relação dos leitores que enviaram soluções dos
problemas 142 a 145 da RPM 33  

Adailton Almeida de Novais, SE - 144

José Hernandes, SP - 144

Aguinaldo José Roma, SP - 144

Lhioko S. Tayra, SP - 144

Alceu de Amorim Ramos, SP - 144

Luiz Cesar Niehues, SC - 144

Altemir das Chagas Lima, PR - 144

Luiz Henrique R. Almeida, RJ - 144

Amadeu Carneiro de Almeida, RJ - 144, 145

Manuel de Souza Lima, RJ - 144

André Luiz Souza de Araújo, RJ - 145

Marcio Felix de Souza, SP - 144

André Pereira da Silva Branco, RJ - 144

Maria Ivete C. Rodrigues, SP - 144

Antônio Ferreira Sobrinho, SP - 144

Maria Raquel Andrade, MG - 144

Antônio Matos dos Santos, GO - 144

Marisa M, Lopes, SP - 142, 143, 144

Carlos A. S. Victor, RJ - 142, 143, 144, 145

Paulo Tadeu M. S. Oliveira, SP - 144

Carlos André P. S. Branco, RJ - 143, 144

Nelson Tunala, RJ - 142, 144, 145

Cid Carlos L. da Silva, AL - 144

Pierre Bedouch, MG - 144

Cristina G. A. Barbi, MG - 144

Rafael Goldsmidt, SP - 143, 144, 145

Ezequiel Meireles Lourenço, PE - 145

Régis Santana, PR - 142, 144, 145

F. W. Leão, RJ - 144, 145

Ricardo Klein Hoffmann, AM - 144

Francisco Rocha Fontes Neto, MA - 144

Robinson Y. Matsukuma, SP - 144

Geraldo Perlino Jr., SP - 142, 143, 144, 145

Romel Siqueira França, USA - 144

Geraldo Perlino, SP - 144

Sebastião Maurício dos Santos, MG - 144

J. Claudio M. Velloso, RJ - 144, 145

Sergio de Paula Silva, RJ - 144

João Alberto Moura, RS - 144

Trajano Nóbrega, SP - 142

João Linneu A. Prado, SP - 142, 143, 144

Tsunediro Takahashi, SP - 142, 144

Joaquim Machado Coutinho, RJ - 144

Valdir F. Lobo, CE - 144

Joaquim R. S. Ferraz, BA - 144, 145

Valéria Donola, SP - 144

Jorge David Júnior, SP - 144

Vander de Souza Lima, GO - 144

Jorge Ferreira dos Santos, RJ - 144, 145

Vander Lage Martins, RJ - 144

José Gutembergue, DF - 144

Vicente Wilson M. Gaeta, AM - 144, 145

José Henrique Piccirillo, SP - 144

Wanderley Gamba, SP - 144


NOTA:
Na relação de acertadores publicada na RPM 33 foi omitido o nome do colega Jos