Élvia Mureb Sallum
Flávio Vagner Rodrigues

IME–USP

Soluções e Sugestões
RPM – Problemas
Caixa Postal 66281
05315-970 São Paulo, SP

 

 

     Problemas  

142. Mostre que quaisquer que sejam os  números  inteiros  a, b, c, d, e, a equação

não pode ter todas as raízes reais.

(Adaptado de um problema proposto numa Olimpíada de Matemática dos Estados Unidos, em 1983.)

 

143.  Seja um número natural e  k  inteiro.

       

(Enviado por José Hernandez, São José do Rio Preto, SP.)

 

144.Na figura, o triângulo  ADE  tem o mesmo perímetro e a mesma área do quadrilátero  BCDE. Determine os lados do  triângulo  ADE  sabendo-se que  AB = 8 cm,  AC = 5 cm  e  BC = 7 cm.

(Enviado por Cristovam Araujo Girodo, SP.)

 

145.Considere um quadrilátero  ABCD  inscrito numa circunferência e  I  o ponto de intersecção das diagonais  AC  e  BD. Traçando por  I  perpendiculares aos lados  ABBCCD  e  DA  obtemos os pontos  M, N, P e Q, respectivamente. Prove que  I  é o centro da circunferência inscrita no quadrilátero  MNPQ.

(Enviado por Guilherme Marques dos Santos Silva, PR.)

 

 

    ... e probleminhas  

1.   Num conjunto de 30 pessoas, 5 são altas e gordas, 11 são baixas e 13 são gordas. Quantas são as altas e magras? Quantas são as baixas e magras?  (Tirado do Equis, no 2 - Montevidéu, Uruguai.)

 

2.   Uma turma de ceifeiros deveria trabalhar em duas roças, uma com o dobro da área da outra. Durante meio dia, todos trabalharam na roça maior, depois do almoço, metade da turma continuou na roça grande e a outra metade passou para a roça menor. No fim da tarde, o trabalho estava quase terminado, faltando apenas uma pequena faixa da roça menor. Esse pedaço foi concluído por um único trabalhador, que ceifou o dia seguinte inteiro. Quantos ceifeiros havia na turma?

                (Enviado por Jorge Luís Rodrigues Silva - Fortaleza, CE.)

3.

Na multiplicação ao lado, os algarismos ímpares foram substituídos por  I  e os algarismos pares por  P. É possível reconstituir a multiplicação original?

(Tirado do Jornal de Matemática Elementar, no 14    - Lisboa, Portugal.)

 

(Ver respostas na seção "O leitor pergunta" )

     Soluções dos problemas propostos na RPM 31  

134.    O número natural    tem  2n  algarismos. Os    primeiros são iguais a  1, os  n  seguintes são iguais a  2  e o último é  5. Mostre que, para  N  é um quadrado perfeito e determine, em função de  n, a raiz quadrada de  N.

Solução:

Do enunciado do problema segue-se que o número  N  pode ser representado na forma:

.

Portanto, agrupando termos, obtemos:

.

Usando a fórmula da soma dos termos de uma P.G., segue-se:

  .

(Solução enviada por diversos leitores.)

NOTA: Como foi corretamente observado por vários leitores,    é um número com  n  algarismos, terminado em  5  e cujos    primeiros algarismos são iguais a  3.

 

135.  Na figura,  C1  e  C2  são circunferências tangentes em  P.

a)    Se uma reta corta C1 e C2 nos pontos  A, B e C, D, respectivamente, mostre que APC e BPD são ângulos congruentes.

b)      Se uma reta tangencia C2 num ponto  C  e corta  C1  nos pontos  AB, mostre que  PC  é bissetriz do APB.

Solução:

Seja t a tangente comum às circunferências  C1  e  C2  no ponto P.

       
figura 1                                            figura 2     

(Solução enviada por Carlos Alberto da Silva Victor, RJ.)
 

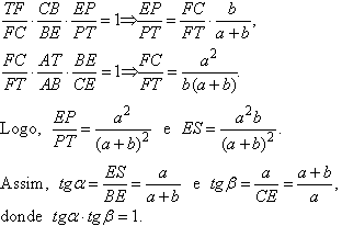
136. Na figura,  ABCD  é um quadrado e  T  um ponto qualquer, distinto de  B, na semi-reta de origem  A  contendo  B. Sejam  E  a intersecção das retas  DT  e BC  e  F  a intersecção das retas  AE e CT.  Mostre que  BF  é perpendicular   a  ET.

Solução:

Por semelhança de triângulos, obtemos

Por aplicação do teorema de Menelaus, temos:

(Solução adaptada da enviada por Carlos Alberto da Silva Victor, RJ.)

 

137.    Considere o conjunto A de todas as combinações simples de 10 elementos em grupos de 5. Duas combinações distintas são escolhidas ao acaso no conjunto A. Determine as probabilidades de que elas:

a) não tenham nenhum elemento em comum;

b) tenham exatamente 4 elementos em comum.

Solução:

a)  Sorteada a primeira combinação nos 251 elementos restantes, existe apenas uma combinação que não tem elementos em comum com a combinação sorteada. Segue-se que a probabilidade pedida vale 1/251.


podem ser combinados com qualquer um dos 5 elementos que não pertencem a ela para formar uma combinação que tenha 4 elementos em comum com a sorteada. Segue-se que a probabilidade pedida vale  25/25l.

(Adaptada de soluções enviadas por vários leitores.)
 

 

Relação dos leitores que enviaram soluçõesdos problemas 134 a 137 da RPM 31

Alceu de Amorim Ramos, SP - 134, 136

Luís Felipe de Araujo, PB - 134

Alexandre Machado Klein, SC - 134

Marcelo Gamba, SP - 135

Amadeu C. Almeida, RJ - 134, 136

Mauro Felix de Souza, RJ - 134

Antonio Ferreira Sobrinho, SP - 134, 136

Paulo de Sousa Sobrinho, RN - 134,136

Azuma Sato, SP - 134, 137

Paulo Sérgio C. Lima, MG - 136, 137

Carlos A. S. Victor, RJ - 134, 135,136

Rafael Goldzmidt, SP - 134, 135, 137

Carlos Humberto S. Júnior, CE - 134

Régis Sant’Ana, PR - 134,135,136

F. W. Leão, RJ - 134, 135, 136

Ricardo R. Ferro, RJ - 134, 135, 136

Geraldo Perlino, SP - 136

Sebastião M. Santos, MG - 135, 136, 137

Geraldo Perlino Jr., SP - 134, 135,136,137

Sérgio Dalmas, SC - 134, 136, 137

Jacques Mauro de Moraes, ES - 134

Sonia Regina Gouveia, SP - 134

João Linneu A. Prado, SP - 134,135

Vicente Wilson M. Gaeta, AM - 134

Jorge Ferreira dos Santos, RJ - 134

Wanderley Gamba, SP - 134

Ledo Vaccaro Machado, RJ - 134

 

Nota: na RPM 31  foi publicado o nome do leitor Jorge F. dos Santos sem a informação do Estado, que é RJ, e sem o número do problema resolvido corretamente, que é o 127.