Roberto Ribeiro Paterlini
Departamento de Matemática da UFSCar

      INTRODUÇÃO 

É muito comum encontrarmos, em textos de Matemática para o 1o e 2o graus, questões sobre contagem de dígitos. Lendo o problema 1 da   RPM 30, página 43, lembrei-me de ter visto uma fórmula no livro  História da Teoria dos Números, de Leonard Eugene Dickson. Folheando o livro, encontrei, na página 457, o seguinte resultado, publicado por M. d’Ocagne em 1888:

Ao escrever os números naturais 1, 2, 3, ..., N, onde  N  tem  n  dígitos, o número total de dígitos escritos é  n(N+1)1n,  onde 1n=11...1  tem  n  algarismos iguais a 1.

Essa fórmula parece-me bastante útil. Por exemplo, ela resolve facilmente o seguinte problema:

Quantos dígitos são usados, no total, para escrever os números naturais de  1  a  101000?

Como 101000 tem 1001 dígitos, a resposta é 1001(101000+1)11000. Levando em conta que

Apresentamos duas demonstrações da fórmula de M. d’Ocagne.

 

     UMA DEMONSTRAÇÃO ELEMENTAR  

Pretendo passar para o leitor da RPM os passos que segui para demonstrar a fórmula de M. d’Ocagne.

Comecei  observando  que,  para  escrever  os  números  de  um  dígito  1, 2, 3, ..., 9, usamos 9 dígitos. Os números de 2 dígitos, de 10 a 99, perfazem  9 . 10 números, portanto o número de dígitos é  2 . 9 . 10   números de três dígitos, portanto usamos  3 . 9 . 102  dígitos para escrevê-los. Em geral, existem

números de  m  dígitos. Surgiu então a soma

que é o número total de dígitos usados para escrever todos os números com  m  ou menos dígitos.

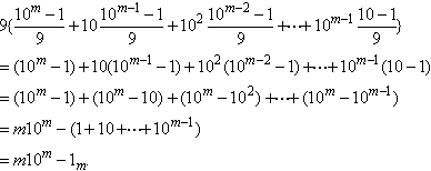
Percebi que seria preciso encontrar uma fórmula fechada para  Dm . Examinei primeiro o caso particular  ,  o que me inspirou como proceder no caso geral. Obtive assim o seguinte:

Dado um número natural  N  com  n  dígitos, existem    números com  n  dígitos de    a  N,  inclusive. Assim, o número total de dígitos usados para escrever os números  1, 2, 3, ..., N  é

o que demonstra a fórmula de M. d’Ocagne.

 

     DEMONSTRAÇÃO PELO MÉTODO DA INDUÇÃO FINITA  

Enquanto desenvolvia a demonstração anterior, lembrei-me de utilizar o Método da Indução Finita. O resultado foi o seguinte.

Seja  P(N)  a afirmação:  ao escrever os números naturais 1, 2, 3, ..., N,  onde  N  tem  n  dígitos, escrevemos    dígitos.

Se  N=1, o número acima é 1(1+1)1=0, o que corresponde à realidade. Portanto, P(1)  é verdadeira.

Suponhamos que  P(N) seja verdadeira. Para provar que  P(N + 1)   é verdadeira, temos dois casos a considerar:

1o caso:  o número de dígitos de  N + 1   é  n.

Então o número de dígitos necessários para escrever 1, 2, 3, ..., N + 1é  

2o caso:  o número de dígitos de  (isso significa que N = 99...9 (n 9’s)).

Então o número de dígitos necessários para escrever 1, 2, 3, ..., N + 1 é N+1 é n(N+1)1n+n+1=(n+1)(N+2)1nN1. Observe que

Em virtude do Método da Indução Finita, a afirmação  P(N)   vale para todo N1. Com isso encerramos essa segunda demonstração da fórmula de M. d’Ocagne.

 

     O PROBLEMA INVERSO

A fórmula de M. d’Ocagne resolve diretamente problemas do tipo: quantos dígitos...

Consideremos agora o problema inverso, que pode ocorrer nas duas formas seguintes: se, ao escrevermos os números naturais 1, 2, 3, ...,  N, escrevemos  d  dígitos, quanto vale  N? Ou então: escrevendo-se a sucessão dos números naturais 1, 2, 3, ...,  qual é o d-ésimo dígito?

Se nos propusermos a utilizar a fórmula de M. d’Ocagne para resolver problemas desse tipo, será necessário observar algumas propriedades.

Começamos com alguns exemplos.

Exemplo 1. Ao escrever os números naturais 1, 2, 3, ...,  N, um indivíduo observou que escreveu 1002 dígitos. Qual o valor de  N ?

Solução: Afirmo que  N  tem 4 ou menos dígitos. De fato, se  N  tivesse 5 ou mais dígitos, o número de dígitos usados seria maior ou igual ao número de dígitos usados para

Exemplo 2. Ao escrever os números naturais 1, 2, 3, ..., N,  um estudante observou que escreveu  45 394   dígitos. Qual o valor de  N ?

Solução: Como  45 394   tem 5 dígitos, conjecturamos que  N  deve  ter no máximo  5  dígitos. De fato, se  N  tivesse mais do que 5 dígitos, o  número total de dígitos seria maior

Exemplo 3. Escrevendo-se a sucessão dos números naturais 1, 2, 3, ...,  qual é o 10 000o dígito?

Solução: O 10 000o  está em um número natural  N, que deve ter no máximo  5   dígitos.

Para encerrar, deixo ao leitor um enigma. Quando eu estava examinando exemplos para o problema inverso, considerei o seguinte caso: o número de dígitos é  d = 189. Como  189  tem  3  dígitos, sabemos que  N  tem  3  ou menos dígitos. Suponhamos que tenha  3.

 

Referências Bibliográficas

[1] DICKSON, L.E. History of the Theory of Numbers. New York: Chelsea Publishing      Company, 1952.

[2] RPM 30, problema no 1, página 43, seção Problemas. São Paulo: Sociedade Brasileira de Matemática, 1o quadrimestre de 1996.