Vera Helena G. Souza e Sérgio Alves
IME - USP

Envie suas perguntas para:
RPM - O leitor pergunta
Caixa Postal 66281
05315-970 São Paulo, SP

    Um leitor de Tupã, SP, enviou-nos o seguinte problema:

É possível conseguir, usando 15 moedas de  1, 3, 5, 7 e 9  unidades monetárias (repetidas à vontade), somar 30 unidades?

RPM: Matematicamente, o problema é impossível. Veja: você tem

a  moedas de 1 unidade monetária

b  moedas de  3 unidades monetárias

c  moedas  de 5 unidades monetárias

d  moedas de  7 unidades monetárias

e  moedas  de 9 unidades monetárias

e deseja que

  

Mas  a + 3b + 5c + 7d + 9e = 30   pode ser escrito como

e daí, usando a primeira equação, chegamos a

15 + (2b + 4c + 6d + 8e) = 30 , ou

.

Ora, o primeiro membro é par, enquanto o segundo é ímpar; portanto, a equação é impossível e o problema não tem solução.

      Um leitor de Maceió, AL, pergunta-nos se é verdadeira a seguinte regra:  
Dado um número natural  n  maior que 3, se  n + 1 ou  n 1  for um número divisível por 6, então  n  é um número primo.

RPM: A regra acima é evidentemente falsa. Tomando, por exemplo, n= 25 temos  n 1 = 24 que é divisível por 6 e, no entanto, 25 não é primo. Para outro exemplo faça  n = 35.

A regra porém nos leva a algumas reflexões:

  Dado um número natural n  maior que 3 , vamos supor que n é ímpar  (se n fosse par, já não seria primo), e olhemos a seqüência proposta pela regra:

                          .

      Como n  é ímpar, tanto  n 1  como  n + 1   são divisíveis por 2.

     Como temos 3 números consecutivos, um deles tem que ser múltiplo de 3; portanto, se tomarmos n  não múltiplo de 3, teremos  n 1 ou  n + 1  múltiplo de 3.

   Ora, se um número é múltiplo de 2 e múltiplo de 3, ele é múltiplo de 6, logo  n 1  ou  n + 1 é múltiplo de 6, sempre que  n   for ímpar e não múltiplo de 3, ou seja, sempre que  n   for da forma  

Podemos ainda observar que, sendo  n = 30p + 5,  com p N,  n  satisfaz a regra e não é primo.

 

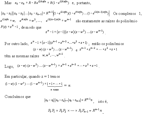
    Um leitor de Goiânia, GO, enviou-nos um  belo problema de Geometria:

Qual o valor do produto anterior, se a circunferência tiver raio R?

RPM: Consideremos o caso geral de uma circunferência de raio  R. Representando os pontos  P0, P1, ... , Pn1 dessa circunferência no plano complexo (veja a figura) e usando a forma trigonométrica dos números complexos, podemos associar a cada ponto  o número complexo

 



 


Obs. 2: Escrevendo 

= .

Portanto, 

.