José Paulo Q. Carneiro
UFRJ — Rio de Janeiro, RJ

O artigo Os números ab e ba , de E. Wagner e R. Agostino, publicado na RPM 28, resolve qual dos números  ab ou ba  é maior quando a e b são reais positivos.

No entanto, como a motivação do problema foi dada por números inteiros (qual é maior; 10099 ou 99100?), achamos interessante mostrar que, nesse caso, de a e b inteiros positivos, há uma solução mais elementar, sem utilizar noções de Cálculo Diferencial.

Se a e b são inteiros positivos temos que ab < ba é equivalente a < . Consideremos a seqüência de valores aproximados de :

A observação dos primeiros termos dessa sequência sugere que ela seja decrescente a partir do terceiro termo, isto é, para n 3, quanto maior for o n, menor será  . Se essa afirmação for verdadeira teremos o resultado, isto é, para 3 a < b, < e portanto

ba < ab para 3 a < b

Para provar que a sequência em questão é descrescente, devemos verificar se um termo genérico é menor que o anterior, isto é, se . É fácil verificar que essa

 

Os valores da tabela sugerem que (1 + 1/n)n < n,  para  n 3,  e mais ainda que os valores de (1 + 1/n) nunca ultrapassam 3 (e portanto não ultrapassam n, se n 3). Pode-se provar que esses termos nunca ultrapassam o famoso número e 2,71828 e que essa seqüência "converge''para o número e, isto é, seus termos aproximam-se tanto quanto quisermos de e, bastando para isso tomar n suficientemente grande. Aliás, a maioria dos autores usa essa seqüência para definir o número e. (Ver, por exemplo, Elon L. Lima, Curso de Análise, no qual todos esses fatos estão justificados).

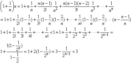
Vamos mostrar que (1 + 1/n)n < 3 para todo n, usando a fórmula do binômio de Newton:

onde a penúltima igualdade é obtida usando-se a fórmula da soma dos termos de uma P.G.

Os casos restantes (a < b < 3  ou  a < 3 b) até perdem a graça nos inteiros:

Se  a < b < 3,  então necessariamente a = 1  e  b = 2  e  temos  ab < ba.

O caso a < 3 b,  não decidido no artigo da RPM 28, para  a e b   reais fica resolvido, quando a e b são inteiros, pois agora  a = l  ou 2.

Se a = l, é claro que ab < ba . Se a = 2, o problema recai em saber qual é maior: 2b ou b2 , sendo b 3. Observando a tabela:

vê-se que 2b < b2, para b = 3, e que 2b = b2, para b = 4. O leitor pode agora mostrar (por indução, por exemplo) que 2b > b2 , para todo b > 4.