Geraldo Ávila
UFG - Goiânia, GO

     Somas Infinitas

Em nosso artigo, na RPM 30, sobre séries infinitas, demos alguns exemplos de somas infinitas que surgem de maneira bastante natural, como a área de um quadrado expressa como soma infinita de áreas de triângulos, ou a soma de uma progressão geométrica infinita.

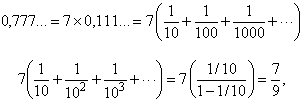
Exemplos de séries infinitas surgem muito cedo, ainda no 1.° grau, no estudo de dízimas periódicas. Com efeito, uma dízima como 0,777... nada mais é do que uma série geométrica infinita. Veja:

sendo a segunda igualdade obtida da fórmula da soma dos termos de uma progressão geométrica infinita.

Quando se ensinam essas dízimas, usa-se o seguinte procedimento, no qual a soma infinita não aparece explicitamente:

Voltando às séries infinitas, o que significa "soma infinita"? Como somar um número após outro, e assim por diante, indefinidamente? Num primeiro contato com séries infinitas, a ideia ingénua e não crítica de soma infinita não costuma perturbar o estudante. Porém, encarar somas infinitas nos mesmos termos das somas finitas acaba levando a dificuldades sérias, ou mesmo a conclusões irreconciliáveis, como bem ilustra um exemplo simples, dado pela chamada série de Grandi.

S =11+11+11+1. . .

Essa série tanto parece ser igual a O como igual a l, dependendo de como a encaramos. Veja:

S = 1 1 + 1 1 + 1 1+ . . . = (1 1) + (1 1) + (1 1)+ . . . = 0.

Mas podemos também escrever:

S = 1 1 + 1 1 + 1 1+ . . . = 1 (1 1) (1 1) (1 1) . . . = 1,

E veja o que ainda podemos fazer:

S = 1 1 + 1 1 + 1 1+ . . . = 1 (1 1 + 1 1 + . . . )+ . . . = 1 S.

donde a equação S = 1 S, que nos dá S = 1/2.

Como decidir então?  Afinal, S é 0, l ou 1/2?

Uma das dificuldades com somas infinitas é de natureza prática, pois cada parcela que somamos exige um certo tempo e, mesmo que consigamos somar cada parcela num tempo muito pequeno, a soma de parcela após parcela, indefinidamente, acabará exigindo um tempo arbitrariamente longo, uma impossibilidade, já que nossas vidas são finitas.

Uma complicação séria é a própria concepção de adição, que significa somar números, uns após outros, sucessivamente. Essa é uma idéia concebida para uma quantidade finita de números a somar. Ao aplicá-la a somas infinitas, por mais que somemos, sempre haverá parcelas a somar; portanto, o processo de somas sucessivas não termina e, em conseqüência, não serve para definir a soma de uma infinidade de números.

Os matemáticos têm consciência das dificuldades com as séries infinitas há mais de dois milênios. Como dissemos em nosso artigo na RPM 30, a primeira soma infinita que aparece na Matemática ocorre num trabalho de Arquimedes, no qual ele calcula a área de um segmento de parábola.

Falaremos disso em seguida.


 

     Arquimedes e a Ordem Geométrica

Arquimedes (287-212 a.C.) foi o maior matemático da Antiguidade e, ao lado de Newton (1642-1727) e Gauss (1777-1855), é considerado um dos três maiores matemáticos de todos os tempos. Em seus cálculos de áreas e volumes estão os germes do Cálculo Integral, que só se desenvolveria de maneira sistemática a partir do século XVII. O leitor interessado pode ler mais sobre Arquimedes na RPM 9, págs. 11 a 15. e na RPM 10, págs. 11 a 19.

Para explicar o aparecimento de uma série geométrica num trabalho de Arquimedes, consideremos o cálculo que ele faz da área de um segmento de parábola, delimitado por um arco parabólico AB e um segmento retilíneo AB.

Arquimedes procede da seguinte maneira: pelo ponto médio de AB, ele traça uma reta paralela ao eixo da parábola, que vai encontrar a parábola em C, resultando no triângulo ACB. A seguir ele repete o processo nos trechos AC e CB da parábola, resultando nos triângulos ADC e CEB. O passo seguinte é repetir o mesmo processo nos trechos AD, DC, CE e EB da parábola, o que resultará em quatro novos triângulos. Esse procedimento continua indefinidamente, cada etapa resultando em um número de triângulos igual ao dobro do número de triângulos da etapa precedente. Assim, começando com o triângulo ABC, obtemos primeiro 2 novos triângulos, depois 4, depois 8 16, 32, 64, etc.

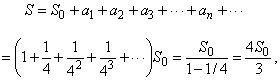
A idéia é obter a área da parábola como soma das áreas de todos esses triângulos. Para isso, valendo-se de propriedades da parábola, Arquimedes prova que a soma das áreas dos triângulos obtidos em cada etapa do processo é igual a 1/4 da soma das áreas dos triângulos obtidos na etapa anterior. Assim, a soma a1 das áreas dos dois triângulos ADC e CEB é 1/4 da área S0 do triângulo original ABC (a1 = S0/4); a soma a2 das áreas dos quatro (22) triângulos da etapa seguinte será 1/4 da soma das áreas dos triângulos ADC e CEB (a2 = a1/4); e assim por diante, sucessivamente. Desse modo, sendo S a área procurada, e an a soma das áreas dos 2n triângulos da n-ésima etapa, teremos:

isto é, S = 4S0/3, ou seja, a área do segmento de parábola é 4/3 da área do triângulo nele inscrito.

 

     Uma Idéia Genial

Mas Arquimedes não soma dessa maneira todos os termos de uma série infinita. Para entender o que ele faz, seja

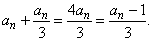
Sn = S0 + a1 + a2 + a3 + . . . + an.

Como   an = an-1/4,   ou   4an = an-1,   temos:

Então,

isto é,

Se substituirmos o índice  n  por  n 1,  depois por  n 2 ,  etc., obteremos:
 

isto é,

Para nós, hoje, bastaria agora fazer n tender a infinito; com isso  Sn  tende a  S  e an tende a zero, com o que obteríamos o resultado desejado: S = 4S0/3.  Mas aí estaríamos lidando com o infinito! Os matemáticos gregos, Arquimedes em particular, evitavam o infinito a todo custo. Por isso, em vez de usar um processo infinito, Arquimedes demonstra que a área do segmento de parábola não pode ser nem maior nem menor do que 4S0/3 (o leitor encontra essa demonstração na pág. 41 de nosso artigo na Revista Matemática Universitária, n.° 4) e conclui, então, que deve ser igual a esse número. Esse procedimento é o "método de dupla redução ao absurdo".

Isso não quer dizer que Arquimedes não usasse métodos intuitivos em suas descobertas. Depois de obter resultados novos, ele tentava fazer demonstrações rigorosas. Já falamos sobre isso na RPM 10, na qual contamos a notável descoberta de um livro de Arquimedes feita pelo filólogo Heiberg

 

     O Conceito de Soma Infinita

"Hoje em dia o conceito de soma infinita é formulado de modo a evitar um envolvimento direto com a soma de uma infinidade de parcelas.

Assim, dada uma série infinita

a1+ a2 + a3 + . . . + an + . . .

formamos a soma finita

Sn = a1 + a2 + a3 + . . . + an;

e dizemos que o número S é a soma da série, isto é,

 S = a1 + a2 + a3 + . . . + an+ . . . ,

se a diferença  |S Sn | puder ser feita menor do que qualquer numero positivo, desde que se faça n suficientemente grande. Em linguagem mais precisa, isso quer dizer o seguinte: dado qualquer número  > 0, existe um índice  N tal que, para  n > N,  é verdade que |S Sn | < .

Quando uma série admite uma soma S, ela se diz convergente. Séries como a de Grandi não são convergentes, isto é, não admitem somas.

Esse procedimento moderno no trato com as séries é parecido com o de Arquimedes, pois não somamos uma infinidade de parcelas. As somas Sn são finitas, já que n é finito. Elas são valores aproximados do que chamamos "soma" da série. O que a definição nos diz é que o erro que se comete ao tomar Sn em lugar de S pode ser feito tão pequeno quanto quisermos, desde que façamos n suficientemente grande.

 

     O Rigor Grego

Os matemáticos gregos, desde pelo menos o século IV a.C., primavam pelo rigor das apresentações e evitavam o infinito como possível fonte de dificuldades lógicas. A origem dessa preocupação com o rigor está ligada à primeira grande crise de fundamentos, originada, com a descoberta das "grandezas incomensuráveis", ainda no tempo dos pitagóricos, uma crise que foi resolvida de maneira muito engenhosa por Eudoxo, um matemático ligado à escola de Platão. O leitor interessado pode ler sobre isso em nossos artigos publicados na RPM 5 e na RPM 7.