Adaptação de parte de um artigo de Catherine Herr Muiligan, do livro AS IDÉIAS DA ÁLGEBRA, resenhado na seçâo LIVROS desta RPM.

     Introdução

Ao ensinar álgebra, tento apresentar a matéria como relevante e útil, mas não creio que seja necessário manter sempre as considerações de "relevância" ligadas ao mundo real. A maioria dos meus alunos continuará estudando Matemática depois de Álgebra 1 e tento ensinar-lhes que a álgebra é um instrumento que se usa em Matemática superior, uma linguagem comum e um meio de comunicação. As aplicações ao mundo real são importantes, mas também é bom que os alunos vejam como se usa a álgebra para o bem da Matemática.

A aritmética dos polinômios é uma boa área para implementar essa filosofia. A manipulação de expressões polinomiais é uma técnica essencial; no entanto, como qualquer habilidade que exige prática, pode tornar-se repetitiva e monótona.

Uma coleção de alguns "fatos surpreendentes" permite ao aluno "descobrir" e então demonstrar esses fatos usando a aritmética dos polinômios.

Alguns dos fatos envolvem "truques" para cálculo mental rápido, que podem ser explicados usando uma representação polinomial simples.

Nesta época de calculadoras, esses fenômenos são introduzidos, não porque são rápidos, mas porque funcionam; os alunos são desafiados a provar por que funcionam!


 

     Fato Surpreendente 1

Se dois números de dois algarismos têm iguais os algarismos das dezenas, e se os algarismos das unidades somam 10, pode-se calcular seu produto instantaneamente.

Se os alunos me testam, com 77 x 73, por exemplo, respondo instantaneamente 5621. Após mais um ou dois exemplos, revelo meu "truque": multiplica-se o algarismo das dezenas, 7, pelo seu sucessor, 8, achando 56, cujos algarismos serão, nessa ordem, os algarismos dos milhares e das centenas da resposta. Acrescenta-se à direita de 56 o produto dos algarismos das unidades, 7 x 3 ou 21, obtendo-se 5621.

Podemos aumentar a confiança no processo, aplicando-o a vários outros casos, mas muitos exemplos não constituem uma demonstração. Porém, se usarmos binômios para representar os números a serem multiplicados, podemos dar uma demonstração que independe dos exemplos escolhidos:

Represente por a o algarismo das dezenas dos dois números considerados e por b o algarismo das unidades do primeiro número. Então o algarismo das unidades do segundo número será 10 - b.

Logo, 10a + b é o primeiro número e 10a + (10 b), o segundo número. Seu produto é:

(10a + b) . (10a + 10 b) = . . .= 100a(a + l) + b(10 b).

 

     Fato Surpreedente 2

Se você somar 1 ao produto de quatro inteiros consecutivos, o resultado sempre será um quadrado perfeito.

Alguns exemplos levarão os alunos a suspeitar que essa afirmação é sempre verdadeira. Poderemos anotar nossas observações no quadro-negro assim:

1 x 2 x 3 x 4 +1 = 25 = 52,    2 x 3 x 4 x 5 +1 = 121 = 112,

97 x 98 x 99 x 100 + l = 94109401 = 97012.

Para obter uma prova desse fato, vamos representar os inteiros consecutivos por: n, n+l, n+2 e n + 3.

Então

n(n + l )(n + 2)(n + 3) + l = n4 + 6n3 +11n2 + 6n + 1                            ( l )

Temos, agora, dois procedimentos possíveis.

Alguns alunos notarão que o quadrado perfeito, nos nossos exemplos numéricos, é o quadrado de 1 mais o produto do primeiro pelo último termo da seqüência (é também o quadrado de 1 menos o produto do segundo pelo terceiro termo da seqüência). Poderemos observar, por exemplo, que

4 x 5 x 6 x 7 + l = 841 = 292 = (l + 4 x 7)2.

Expressando em polinómios, escrevemos

[1+ n(n + 3)]2 = n4 + 6n3 + 11n2 + 6n +1                                   (1)

Isso, além de confirmar que (1) é um quadrado perfeito, também nos diz de que número é o quadrado perfeito.

Outra maneira de proceder é trabalhar diretamente a partir de (1) e conjecturar que seria bom fatorar o segundo membro e ver que ele é um quadrado perfeito. Esse quadrado teria, para um a conveniente, a forma:

(n2 + an + l)2 = n4 + 2an3 + (2 + a2) n2 + 2an + l.                          (2)

Igualando os coeficientes em (1) e (2), temos:

2a = 6   e   2 + a2 = 11,  ou seja,   a = 3. 

Então,

n4 + 6n3 + 11n2 + 6n + l = (n2 + 3n + l)2.

 

     Fato Surpreendente 3

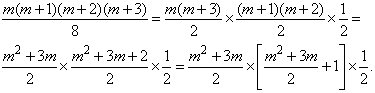
O quociente da divisão por 8 de um produto de quatro inteiros positivos consecutivos é um número triangular.

Logo, esses números são: l, 3, 6, 10, 15, 21, 28... fazendo n = l, 2, 3, 4, 5, 6, 7,...

A razão do nome triangular é explicada pela figura:

    

Testamos o resultado no exemplo:

(3 x 4 x 5 x 6) 8 = 45 que é o número triangular para   n = 9.

Para a prova do resultado, escrevemos o produto de quatro inteiros consecutivos, dividido por 8, como:

verificar isso é um exercício interessante que deve ser proposto aos alunos.