Geraldo Ávila
Goiânia, GO

     Introdução

O objetivo deste artigo é o de fazer uma apresentação simples de certas séries infinitas, um tópico pouco conhecido de professores e estudantes do 2 grau. Particularmente interessantes são certas propriedades da chamada série harmônica, que aparece na parte final do artigo.

 

     Um Primeiro Exemplo

A idéia de "série infinita" aparece na Matemática quando imaginamos a operação de somar parcelas sucessivamente sem que essa operação termine após um número finito de parcelas somadas. Deixando de lado qualquer preocupação com a rigonzação desse conceito, vamos examinar algumas séries infinitas simples. Por exemplo,

É fácil ver que essa soma é igual a 2, pela seguinte construção geométrica: tomamos um quadrado de área igual a 2 e traçamos uma de suas diagonais, que o divide ao meio, resultando em dois triângulos, cada um com área igual a 1 (fig. 1).

Em seguida dividimos um desses triângulos ao meio, como se vê na fig. 2, depois um desses triângulos menores ao meio como ilustra a fig. 3, e assim por diante, indefinidamente. O resultado é uma divisão do quadrado numa infinidade de tnângulos, cada um com área igual à metade da área do triângulo anterior (fig. 4). Assim, a área 2 do quadrado original se exprime como soma infinita das áreas dos triângulos:

ou seja,

 

     A Série Geométrica

A série (1) nada mais é do que uma progressão geometrica infinita, do tipo

1+ q + q2+ q3+ q4+ . . . ,                                                 (2)

com q = 1/2. Vamos supor que a razão q nessa  série geométrica seja um número entre 0 e 1. Então os termos sucessivos da série,  q, q2, q3, q4,  etc., vão-se tornando cada vez menores, de forma que a cada passo estaremos somando cada vez menos. Isso faz crer que a soma infinita tenha de fato um valor finito, como em (1) acima. Para comprovar isso, começamos lembrando a fórmula da soma de uma progressão geometrica de razão q.

Veja: como 0 < q < 1, o último termo que aí aparece vai ficando arbitrariamente próximo de zero à medida que n cresce acima de qualquer valor (dizemos que n está tendendo a infinito), pois é isso o que acontece com o numerador qn+1.  Por exemplo, em  (1),  q =1/2 e qn+1 = l/2n+1 está tendendo a zero com n tendendo a infinito Portanto, fazendo n tender a infinito em (3), e denotando com S a soma infinita (2), obtemos:

Fazendo q = 1/2  nessa expressão, obtemos o resultado (1), pois

 

     Um Pouco de História

As séries infinitas são conhecidas desde a antiguidade, e a primeira a ocorrer na História da Matemática é uma série geométrica de razão 1/4, que intervém no cálculo da área da parábola feito por Arquimedes (da qual falaremos numa oportunidade futura).

Depois dessa ocorrência de uma série geométrica num trabalho de Arquimedes, as séries infinitas só voltaram a aparecer na Matemática cerca de 1500 anos mais tarde, no século XIV. Nessa época havia um grupo de matemáticos na Universidade de Oxford que estudava a cinemática, ou fenómeno do movimento; e, ao que parece, foi esse estudo que levou à reconsideração das séries infinitas.

Ao lado dos pesquisadores de Oxford, havia também pesquisadores em outros centros. Na Universidade de Paris, em particular, havia um professor chamado Nicole Oresme (1325-1382), um destacado intelectual em vários ramos do conhecimento, como Filosofia, Matemática, Astronomia, Ciências Físicas e Naturais. Além de professor universitário, Oresme era conselheiro do rei, principalmente na área de finanças públicas; e nessa função revelou-se um homem de larga visão, recomendando medidas monetárias que tiveram grande sucesso na prática. Ao lado de tudo isso, Oresme foi também bispo de Lisieux.

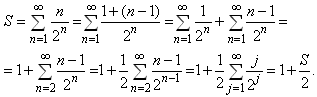
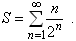
Oresme mantinha contato com o grupo de pesquisadores de Oxford e contribuiu no estudo de várias das séries estudadas nessa época. Uma dessas séries é a seguinte:

Veja: para explicitar a lei de formação dos termos da série, escrevemos o termo genérico n / 2n. A notação do somatório () facilita e abrevia esse trabalho. Basta escrever

que significa: somar os termos n / 2n para todos os valores inteiros positivos de n, de 1 a . Assim, fazendo n =1 obtemos l / 21 = l / 2; fazendo n = 2 obtemos 2 / 22 =  2 / 4; fazendo n=3 obtemos 3 / 23 = 3 / 8; e assim por diante.

Essa série foi considerada, por volta de 1350, por Richard Swineshead, um dos matemáticos de Oxford. Ela surge a propósito de um movimento que se desenvolve durante o intervalo de tempo [0, 1] da seguinte maneira: a velocidade permanece constante e igual a 1 durante a primeira metade do intervalo, de 0 a 1/2 (veja a fig. 5, onde o tempo é representado no eixo horizontal e as velocidades no eixo vertical): dobra de valor no segundo subintervalo (de duração 1/4), triplica no terceiro subintervalo (de duração 1/8), quadruplica no quarto subintervalo (de duração 1/16), etc. Como se vê, a soma da séne assim construída é a soma dos produtos da velocidade pelo tempo em cada um dos sucessivos subintervalos de tempo e representa o espaço total percorrido pelo móvel.

Swineshead achou o valor 2 para a soma através de um longo e complicado argumento verbal. Mais tarde, Oresme deu uma explicação geométrica bastante interessante para a soma da série. Observe que essa soma é igual à área da figura formada com uma infinidade de retângulos verticais, como ilustra a fig. 5. O raciocínio de Swineshead, combinado com a interpretação geometrica de Oresme, se traduz simplesmente no seguinte: a soma das áreas desses retângulos verticais é igual à soma das áreas dos retângulos horizontais da fig. 6. Ora, isso é o mesmo que substituir o movimento original por uma sucessão infinita de movimentos, todos com velocidade igual a 1: o primeiro no intervalo de tempo [0,1]; o segundo no intervalo de tempo [1/2, 1]; o terceiro no intervalo [3/4, 1], e assim por diante. Vê-se assim que o espaço percorrido (soma das áreas dos retângulos da fíg. 6) é agora dado pela soma da série geometrica.

Isso permite obter a soma da série onginal, pois sabemos somar os termos de uma série geométrica pela fórmula (4), que dá para essa última série o valor 2. Assim obtemos a soma da série original:

 

Hoje em dia, com a notação do somatório, a maneira natural de somar a série de Swineshead é esta:


O primeiro e o último membro dessas igualdades nos dão a equação S = 1 + S / 2 , cuja solução é  S = 2.

Um dos trabalhos mais notáveis de Oresme sobre as séries infinitas está ligado à série harmônica, da qual falaremos a seguir. Antes, porém, temos de explicar o que significa dizer que uma série é convergente ou divergente.

 

     Série Divergentes

As séries de que falamos até agora têm todas elas soma finita; elas são chamadas de séries convergentes. Mas é fácil imaginar séries que não sejam convergentes. Por exemplo, é claro que as sénes

1 + 2+3 + 4 + 5 + . . . ,      2 + 4 + 6 + 8 + . . .,       1 + 2 + 1 + 2 + 1 + 2 + . . .,

não são convergentes; elas são ditas divergentes. Um exemplo menos trivial de série divergente é dado por

Para ver que essa série diverge, basta notar que todos os seus termos, a partir do segundo, são maiores do que 1/2.

 

     A Série Harmônica

A série harmônica é uma série muito simples, dada por

Como se vê, os termos da série harmônica estão decrescendo para zero, como acontece no caso da série geométrica (4) com 0 < q < 1 . Aliás, isso acontece também em todas as séries convergentes (o que se demonstra). Mas será que, quando o termo geral de uma série tende a zero, ela converge? Se for assim — e à primeira vista parece que é —, então a série harmônica deve ser convergente.

Vamos investigar. Após a soma de um grande número de termos da série harmônica, quando chegarmos a   n = 1020, n= 1030, n = 10100,  etc, estaremos somando tão pouco que teremos a impressão de que a soma de todos os termos da série infinita realmente é um número finito.   Aliás, hoje em dia, com a ajuda do computador, podemos até fazer cálculos experimentais interessantes.

Vamos supor que fôssemos capazes de somar cada termo da série em um segundo de tempo.  Como um ano tem aproximadamente

365,25 x 24 x 60 x 60 = 3 1557 600     segundos,

nesse período de tempo seríamos capazes de somar a série até  n = 31557 600, obtendo para a soma um valor pouco superior a 17; em 10 anos a soma chegaria a pouco mais de 20; em 100 anos, a pouco mais de 22. Como se vê, somas parciais de termos da série harmônica jamais nos levariam a suspeitar que ela diverge. Pelo contrário, essas somas só nos levam a pensar que a série seja convergente.

Isso, todavia, é falso! Embora surpreendente, esse resultado pode ser facilmente demonstrado.  Para isso agrupamos os termos da série assim:

,

Observe agora que a soma dentro de cada parêntese é sempre maior do que 1/2. Veja:

e assim por diante.  Então,

 

o que prova que a série é mesmo divergente.

A demonstração de que a série harmônica diverge, feita pela primeira vez por Oresme, mostra como é decisivo o papel do raciocínio lógico para estabelecer uma verdade que jamais seria descoberta de outra maneira. De fato, como vimos acima, mesmo somando os termos da série durante um século (se isso fosse possível), não chegaríamos a um resultado que nos desse qualquer indício de que a série seria divergente...

Para terminar, vamos fazer mais um exercício de imaginação. Hoje em dia temos computadores muito rápidos, e a tecnologia está produzindo máquinas cada vez mais rápidas. Mas isso tem um limite, pois, como sabemos, nenhum sinal físico pode ser transmitido com velocidade supenor à da luz.  Portanto, nenhum computador poderá efetuar uma soma em tempo inferior a 10-23 segundos, que é o tempo gasto pela luz para percorrer uma distância igual ao diâmetro de um elétron. Pois bem, com tal computador, em um ano, mil anos e um bilhão de anos, respectivamente, poderíamos somar termos em números iguais a

315576 x 1025,        315576 x 1028     e    315576 x 1034.

E veja os resultados aproximados que obteríamos para a soma da série harmônica, em cada um desses casos, respectivamente:

70,804    ;    77,718    e    91,5273 .

Imagine, finalmente, que esse computador estivesse ligado desde a origem do universo, há 16 bilhões de anos. Ele estaria hoje obtendo o valor aproximado de 94,2999 para a soma da série harmônica, um número ainda muito pequeno...

O leitor tem toda razão em perguntar:

- Como se chega ao número 94,299, se o (idealizado) computador mais rápido que se possa construir deveria ficar ligado durante 16 bilhões de anos?

Sim, não há como fazer essa soma, mas existem métodos que permitem substituir a soma Sn dos n primeiros termos da série por uma expressão matemática que aproxima Sn e que pode ser calculada numericamente; e os matemáticos sabem disso há mais de 300 anos!... O leitor curioso e que tenha algum conhecimento de Cálculo Integral pode ver a explicação desses métodos em nosso artigo "A série harmônica e a fórmula de Euler-MacLaurin", na revista Matemática Universitária 19 (dezembro, 1995).