Flávio Wagner Rodrigues
IME-USP

Soluções e Sugestões:
RPM - Problema
s
Caixa Postal 66281
0
5389-970 São Paulo, SP

     Problemas

126.  No Liceu de Itapipoca existe uma sala onde 1994 cadeiras, numeradas consecutivamente de 1 a 1994, estão dispostas em círculo. Num determinado dia, 1994 estudantes, sentados um em cada cadeira, resolvem começar o seguinte jogo: o estudante sentado na cadeira 1 diz "sim" e permanece no jogo. 0 estudante sentado na cadeira 2 diz  "não" e sai do jogo, e assim sucessivamente, isto é, cada estudante contradizendo o anterior. Aquele que diz "sim" permanece no jogo e aquele que diz "não" sai do jogo.   O jogo termina quando resta um só estudante. Determine o número da cadeira na qual ele está sentado.
(Olimpíada Estadual de Matemátira do Rio de Janeiro, 1994)

127.  Na base   AC   de um triângulo isósceles    ABC    toma-se    um ponto   M   qualquer.  Sejam   a e b,    respectivamente, os comprimentos dos segmentos   AM e MC.   Considere as circunferências inscritas nos triângulos ABM  e  CBM.

Determine, em função de  a e b,   a distância entre os pontos de tangencia dessas circunferências com o lado   BM.
(Proposto por J
ésus Alfonso Sánchez, Campinas. SP.)

128.   Seja P um ponto qualquer no interior de um triângulo equilátero ABC. A partir de   P construímos as perpendiculares   PD,  PE e PF   aos lados    BC,  AC e AB, respectivamente.   Determine (PD + PE+ PF)/(BD + CE + AF).
(Proposto por Andr
é Fernando de Seixas Godoi, São Paulo, SP.)

129.  O sorteio do jogo da Super Sena consiste na escolha de seis dezenas distintas escolhidas no conjunto S= {01, 02,..., 48}.   Para realizar o sorteio, a Caixa Econômica Federal utiliza duas esferas idênticas contendo bolas numeradas. A primeira esfera (da qual será extraído o algarismo das unidades) contém 10 bolas numeradas de   0 a 9.    A segunda (da qual será extraído o algarismo das dezenas) contém cinco bolas numeradas de   0 a 4.    O sorteio das dezenas premiadas consiste de seis etapas consecutivas e independentes, em cada uma das quais são extraídas duas bolas, uma de cada uma das duas urnas.  A etapa será repetida se ocorrer qualquer uma das duas situações abaixo:

1)        Forem sorteadas as dezenas 00 ou 49.

2)     For sorteada uma dezena que já saiu em alguma etapa anterior.

Determine:

a)     A probabilidade de que num sorteio não sejam necessárias repetições.

b)     A probabilidade de que a quarta etapa precise ser repetida.

c)     Sabendo que num sorteio completo apenas uma etapa precisou ser repetida uma única vez, qual é a probabilidade condicional de que tenha sido a terceira?

 

     . . .e probleminhas

1.   Como é possível retirar do mar exatamente 6 litros de água tendo apenas dois recipientes, um de 4 e outro de 9 litros?
(Enviado por Valdinéia Barbosa Nascimento, Campina Grande, PB.)

2.   Oito bolinhas de gude têm o mesmo tamanho e cor. Sete delas têm o mesmo peso e a restante é mais pesada que as demais. Usando uma balança de dois pratos, como encontrar a bolinha mais pesada, efetuando duas pesagens?
(Enviado por Valdinéia Barbosa Nascimento, Campina Grande, PB )

3 Gastei tudo que tinha em 4 lojas. Em cada uma delas gastei um real a mais do que a metade do que tinha ao entrar nela. Quanto dinheiro eu tinha inicialmente?

(Ver respostas na.seção "O que vai por aí")

     Soluções dos problemas propostos na RPM 27, 1.° quadrimestre, 1995

118.   Na figura abaixo os triângulos ABC e BDE são retângulos e isósceles. Os pontos M, N, P e Q são respectivamente os pontos médios dos segmentos AC, AD, DE e EC. Prove que o quadrilátero MNPQ é um quadrado.

Solução:

Como M, N, P e Q são, respectivamente, os pontos médios de AC, AD, DE e EC,  temos:

Como os triângulos dados são isósceles e retângulos, temos, pelo caso LAL, que os triângulos ABE e BCD são congruentes, com  AE = CD.   Logo,  MQ = NP= MN = PQ.

Por outro lado, como + = /2 (ver figura), temos = /2. Concluímos que   MNPQ  é um quadrado .

Cláudio Arconcher, que propôs o problema, nos informou que ele apareceu resolvido na Revista Quantum, 1944 - nov./dez., e que é um caso particular do problema: Toda curva simples e fechada do plano contém os 4 vértices de algum quadrado. Para linhas poligonais simples e fechadas, o problema está provado no livro Old and New Unsolved Problems in Plane Geometry and Number Theory, uma publicação da The Mathematical Association of America.

 

119.  Na figura,   AB1, AB2 , AB3 , . . . ,ABn ,  . . .   crescem em progressão aritmética. Mostre que    B1 B2 > B2B3 > . . . > Bn Bn+1 > . . . .

Solução:

Seja    r    a razão da progressão  aritmética e façamos AB1 = a.

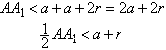
1)   Constrói-se o paralelogramo   AB1A1B3.   Temos:

Conclusão: O ponto médio de AA1 (B1B3) está entre B1 e B2   e, portanto,

B1 B2 > B3 B4.

2) Constrói-se o paralelogra mo   AB2A2B4.   Temos:

 

Conclusão: O ponto médio de AA2 (B2B4) está entre B2 e B3  e, portanto,  B2B3 > B3B4.


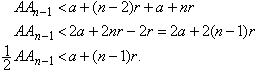
3)   Em geral, para cada n > 2, constrói-se o paralelogramo  ABn-1An-1Bn+1. Temos:

Conclusão:   O ponto médio de   AAn-1   (Bn-1Bn+1)  está   entre   Bn-1 e Bn   e,   portanto,   Bn-1Bn > BnBn+1 . Assim,

B1B2 > B2B3 >. . .>BnBn+1 > . . . .

(Solução enviada por  F. W. Leão. Rio de Janeiro, RJ.)
 

120 Prove que todo número natural tem um múltiplo que se escreve, na base 10, apenas com os algarismos 0 e 1.

Solução:

Considere o conjunto dos números naturais que, na base 10, são escritos apenas com o algarismo   1.   Em outras palavras, seja

S = {1,  11,  111,...}

Dado o natural   n,   vamos considerar os  n  primeiros elementos de  S:

O resto da divisão de qualquer um dos números acima por n é um dos elementos do conjunto {0, 1,..., n 1}. Se para algum dos números o resto for zero, o problema estará terminado, pois nesse caso existe um número formado apenas por uns que é múltiplo de n. Se nenhum deles deixar resto zero quando dividido por n, como são n números e apenas n 1 restos possíveis, existirão pelo menos dois deles que, quando divididos por n, deixam o mesmo resto. Segue-se que a diferença entre eles é um múltiplo de n, e é fácil mostrar que essa diferença é um número que se escreve apenas com zeros e uns .
(Solução enviada por Ricardo R   Ferro, Rio de Janeiro, RJ.)
 

121. Num sistema elevado de trens metropolitanos existem duas estações, A e B, entre as quais circulam trens nos dois sentidos, com velocidade constante. De 5 em 5 minutos ocorre, simultaneamente, nas duas estações, o cruzamento de dois trens. Um atleta parte da estação A, em direção a B, no instante em que nela se cruzam dois trens, e percorre uma trajetória paralela aos trilhos com velocidade constante, chegando a B num instante em que lá ocorre também o cruzamento de dois trens. Incluindo os trens que viu nas estações, o atleta vê durante o percurso 38 trens, sendo 15 no mesmo sentido e 23 no sentido contrário. Determine o tempo gasto pelos trens para percorrer a distância entre as duas estações.

Solução:

[Alguns leitores reclamaram, com razão, que o enunciado não deixava claro que as partidas e chegadas sempre ocorriam simultaneamente nas duas estações. Sem essa suposição, que está sendo admitida, o problema ficaria bem mais complicado.]

Sejam t0 e t1, respectivamente, os tempos gastos pelos trens e pelo atleta para percorrerem a distância entre as estações.

Vamos considerar, inicialmente, os trens que o atleta encontrou caminhando no mesmo sentido que o seu. Foram 15 no total; o primeiro saiu de A junto com ele e o 15 chegou a B no mesrno instante que ele. Entre a saída do 1 e a do 15 decorreram 14 intervalos de 5 minutos cada um e, portanto, passaram 70 minutos. Segue-se que o 15 trem saiu de A 70 minutos depois, e chegou a B junto com o atleta. Temos então:

t1 = 70 + t0 .

Considerando, agora, que ele encontrou 23 trens no sentido contrário ao seu, vamos observar que o 1 (que ele encontrou no instante em que saiu de A) saiu de B t0 minutos antes. Entre a saída do 1 e a do 23 (que ele encontrou quando chegou a B) decorreram 22 intervalos de   5   minutos. Temos então:

110 t0 t1.

Segue-se que:

70 + t0 = 110 t0,

e, portanto,  t0   (tempo gasto pelos trens) é igual a  20  minutos , e  t1 (tempo gasto pelo atleta) é igual a   90   minutos .

(Adaptado da solução enviada por Jo Hernandes, São Jo do Rio Preto, SP.)

 

Relação dos leitores que enviaram soluções dos problemas 118 a 121 da RPM 27

Alceu de A. Ramos (SP) - 118

João L. do A. Prado (SP - 118-19

Amadeu C.de Almeida (RJ) - 118

José Hernandes (SP) - 118-19-21

Antonio Ferreira Sobrinho (SP) - 118

José R. C. e Carneiro (SP) - 120

Carlos A  da S. Victor (RJ) - todos

Juarês Saddock de Sá (RJ) - 118

Cláudio Arconcher (SP) - 118

Luís Lopes (Canadá) - 118-19

Cylene C. Campos Leite - 118

Marcio E. G. Silva (MA) - 118-20

Edson Roberto Abe (SP) - 118

Mário Velucchi (Itália) - 120

Ezequiel M. Lourenço (PE) - 118

Mauro Lalli (SP) - 118

Felipe B. Ferreira (SP) - todos

Milton D. Maciel (SP) - 118

Fernando Seiti Goto (SP) - 118

Ricardo R   Ferro (RJ) - 118-20-21

Florival C, de Sousa - (GO) - 118

Roberto dos Reis Perez (RJ) - 118

F. W. Leão (RJ) - 118-19

Roberto P. Chagas (MG) - 118

Geraldo Perlino J. (SP) - 118 a 20

Sandro Sponchiado (PR) - 118

Jesus A. P. Sánchez (SP) - 118

Tsunediro Takahashi (SP) - 118

João F. Barros (SP) - 118

Valéria Donola (SP) - 118