ORIGAMI

Hideo Kumayama  e  
Eduardo Wagner
São Bernardo do Campo, SP,   e  
Rio de Janeiro, RJ

Sob o título Arte e Geometria através do orígami e kirigami, o colega Hideo Kumayama enviou vários problemas e apresentou as soluções usando dobraduras e recortes. Alguns desses problemas foram publicados na RPM 28, p. 37. Neste artigo, apresentamos mais um desses problemas com explicações e um adendo redigidos por Eduardo Wagner.

     Dividir um  Círculo em 10 Setores Congruentes

Para resolver esse problema, basta construir, usando dobraduras, um ângulo central de   36°. Vamos ver como isso pode ser feito.

Figura   1:    Com o disco de papel determinamos facilmente dois diâmetros perpendiculares   AB e CD  e assinalamos o centro  O.


 

Figura 2: A primeira dobra faz o ponto  coincidir com  O. Com isso, obtemos os pontos   E e F.

Figura 3: A segunda dobra passa pelo ponto   E   e faz com que   C fique sobre o raio  OB. Vamos chamar de  esse novo ponto.

 

Figura 4: Finalmente, a última dobra faz o ponto   H   coincidir com G. Com isso obtemos os pontos   H  e  I.

Afirmamos que o ângulo      mede   36o!

Para justificar que a seqüência, de dobraduras que apresentamos fornece um processo exato para a construção de um ângulo de 36°, vamos observar novamente as figuras e efetuar alguns cálculos.

Figura 1: Consideremos o raio da circunferência igual a   1.

Figura 2:  Como o ponto   E   é médio de   O A,   ternos   OE = 1/2.

No triângulo EOC   temos:

 

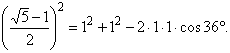
Já conseguimos o número áureo. Calculamos ainda:

Figura 4: Calculemos  OH   Como   H   é médio de   GB, temos:

Mas  esse valor é precisamente o coseno de   36°.   Portanto, no triângulo retângulo  OHI,  o ângulo   HOI   mede  36°.

 

     Um Adendo

Nos cálculos feitos, o ângulo de 36° apareceu através do seu co-seno. Como sabemos que o coseno de 36° vale ( + l)/4? Vamos mostrar um método para se obter esse valor através de um curioso problema.

Consideremos um triângulo ABC   com   AB = AC   para o qual exista um ponto    D   do lado   AC tal que se tenha   AD = DB = BC. Quanto mede o ângulo   A?

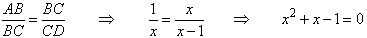
Observe que, se AD = DB,  então = . Daí, = + = 2 Como  DB = BC,    então = = 2, e, como AB = AC, = =  2.


Somando os ângulos internos do triângulo   ABC, tomos:

+ 2 + 2= 180°         5 = 180°          = 36°

A nossa figura permite interessantes explorações. Fazendo AB = AC = 1   e   AD = DB = BC = x, vamos observar o que temos até o momento.

Note que os triângulos ABC e BCD são semelhantes porque possuem os mesmos ângulos internos. Daí,

e a raíz positiva é:

Vamos agora usar a lei dos cosenos no triângulo   ABC   para calcular   cos 36°: