Geraldo Ávila
UFG, Goiânia, GO

     Introdução

A calculadora de bolso é, hoje em dia, um instrumento de fácil acesso a qualquer pessoa. Já vai longe o tempo em que se discutia se os alunos podem ou não usá-la, pois eles a têm em mãos com a maior facilidade. O importante é saber quando seu uso é recomendado porque ajuda, e quando a calculadora em nada contribui e deve ser evitada. A RPM já tratou do uso da calculadora pelo menos duas vezes (RPM 23, p. 63, e RPM 26, pp. 16 a 21). Se você, leitor, ainda não leu esse artigo na RPM 26, dos professores Hideo Kumayama e Eduardo Wagner, leia-o, pois ele contém informações importantes e pouco divulgadas sobre o quanto pode fazer a "calculadora do feirante".

Corno dizem muito bem os autores do artigo, a calculadora deve ser introduzida "quando o aluno estiver dominando completamente os algoritmos das operações..." (RPM 26, p. 16). Isso nos traz à mente certas habilidades de cálculo que não usam a calculadora, mas que, por serem muito importantes, devem ser cultivadas desde os estágios mais elementares do aprendizado. É sobre isso que desejamos falar aqui.

 

     Vamos fazer as conta de cabeça

Isso mesmo, vamos começar com problemas que podemos resolver "na hora", quando estamos no meio de uma conversa e não dispomos de lápis e papel, muito menos de calculadora.  E o que se costuma chamar fazer as contas "de cabeça".

Vamos começar com contas de subtrair, usando a técnica da "translação". Por exemplo, subtrair 34 de 61 é o mesmo que subtrair 30 de 57 (veja, estamos transladando os dois números para a esquerda de 4 unidades) ou, ainda, o mesmo que subtrair 40 de 67 (agora somamos 6 unidades a ambos os números). Em ambos os casos, é fácil ver que a diferença é   27.

Problema 1. Meu avó nasceu em 1872 e faleceu em 1965. Quantos anos viveu ?

Por que pegar lápis e papel para fazer a conta? Use a técnica da translação, assim: a diferença entre 1965 e 1872 é a mesma que entre 1963 e 1870. Ora, de 1870 a 1900 são 30 anos; a estes somo os   63   que vão de   1900 a 1963.   Meu avô viveu 93 anos.

Posso também raciocinar assim: 1965 - 1872 = 165 72 = = 163- 70 = 63+ 30 = 93.

Outro modo: de 1965 a 1972 (quando meu avô completaria 100 anos de idade) são 7 anos. Então ele viveu   100 7 = 93  anos.

Podíamos também ter transladado para a frente, assim (mas tudo de cabeça):   (1965 + 8) (1872 + 8) = 1973 1880 = 20 + 73 = 93.

Outro modo: de 1872 a 1962 são 90 anos (pois só faltam mais 10 para chegar a 100 anos em 1972); aos 90 acrescento 3 para chegar a 1965, obtendo os 93 anos.

Problema 2.   Em  1942 meu avô completou 70 anos.   Em que ano ele nasceu?

Somo 30 a 1942 e obtenho 1972, quando meu avô completaria 100 anos; logo, ele nasceu em 1872, ou seja, 100 anos antes.

Outro modo: se o ano fosse 1940, eu voltaria 40 anos ao ano de 1900, do qual volto mais 30 e chego a 1870; agora somo os 2 anos que tirei no início e chego ao ano do nascimento de meu avô: 1872.

Alguns desses problemas de calcular a idade de uma pessoa são muito fáceis de resolver quando os anos de nascimento e morte têm formas bem particulares. Veja, por exemplo, o caso de Nicolau Copérnico, que nasceu em 1473 e faleceu em 1543. Aqui é fácil ver que faltam 30 anos para se chegar a 1573, quando Copérnico completaria 100 anos; logo, ele viveu 70 anos, 100 30.

Problema 3. Outro dia encontrei-me com um senhor que foi muito amigo de meu pai. Eu lhe perguntei a idade e ele me disse: estou com 83 unos. Em que ano ele nasceu?

Vejamos: tenho de subtrair 83 de 1995. Pela técnica de translação, basta subtrair 80 de 1992, o que é fácil fazer de cabeça. O resultado é 1912, ano do nascimento desse amigo de meu pai.

Outro modo: somo 7 a 1995 e vou para 2002, quando ele terá 90 anos; mais 10 e chego a 2012, quando ele terá 100 anos; volto 100 anos a 1912, que é quando ele nasceu.

Problema 4. Lúcia tinha 10 anos em 1917 e ainda está viva. Qual é sua idade hoje?

1995 1917 é o mesmo que 1998 1920, que é 78; somados aos 10 anos que Lúcia tinha, resulta que sua idade hoje é 88.

Outro modo de resolver o problema: se em 1917 Lúcia tinha 10 anos, em 1910 ela estava com 3 anos. De 1910 a 1995 são mais 85 anos; portanto, neste último ano ela estava com 88 anos de idade.

De tanto resolver problemas corno esses, o aluno vai, por si mesmo, inventando maneiras próprias de fazer as contas.

 

     Contas de somar

Quando usamos a técnica da translação nas contas de subtrair, temos de aumentar ou diminuir os dois números, simultaneamente, da mesma quantidade. No caso da soma aumentamos um e diminuímos o outro da mesma quantidade. Por exemplo, somar 47 com 39 é o mesmo que somar 46 com 40, ou 50 com 36, resultando em 86. Somar 143 com 234 é o mesmo que somar 140 com 237, que é o mesmo que  40 + 337,  que é 377; mas tudo isso de cabeça, nada de lápis e papel.

A resolução mental desses probleminhas é um bom exercício para desenvolver bem a compreensão das operações de soma e subtração. E é coisa que pode ser exercitada durante a aula, num clima agradável e de brincadeira com as crianças, introduzindo questões como estas: Vai ver que, embora a Luciana seja mais velha que o Francisco, o avô deste pode ter nascido antes do que o avô da Luciana. Vai ver que o Gabriel nem sabe a idade da avó ou do pai dele! Então terá mais um  dever de casa: trazer  amanhã,  as idades de seu  pai e sua avó.

Mas não vá lhes perguntar em que ano nasceram, isso fica para ser resolvido durante a aula...

 

     A  importância da tabuada

A calculadora não dispensa uma boa compreensão das operações, nem o aprendizado da tabuada. O aluno precisa aprender a tabuada hoje tanto quanto no meu tempo de menino, quando não existia calculadora. Qualquer um deve saber responder — e responder rápida mente — a perguntas que me faziam na escola primária (o que hoje são as primeiras 4 séries do 1° grau):  7 vezes 8?, 9 vezes 6?, 5 vezes 8?, e assim por diante.  É preciso ter cuidado para que o uso da calculadora não deixe de lado o aprendizado da tabuada e uma boa compreensão das operações.

Digo isso porque o aprendizado da tabuada tem sido muito negligenciado ultimamente, depois que surgiu a calculadora. Houve mesmo casos de muitos professores que pensavam (ou ainda pensam?) que agora, com a calculadora, a tabuada perde sua importância. Não é assim. Não é apenas porque alguns de nós somos mais velhos que insistimos no aprendizado da tabuada, mas é porque esse aprendizado continua tão importante hoje como antigamente. Se não vejamos: você vai à padaria, compra 7 pãezinhos, a R$ 0,12 cada um, e paga com uma moeda de R$1,00; quanto vai receber de troco? Esse é o tipo de situação que qualquer pessoa deve resolver de cabeça; são cálculos triviais. Se alguém me disser que ninguém tem de saber 7 vezes 12 de cabeça, eu respondo: então deve saber que 5 vezes 12 é 60; agora some mais 12, vai para 72; e some outros 12, vai para 84. Pronto, 7 pãezinhos custam 84 centavos; um real menos 84 centavos (que é o mesmo que 96 centavos menos 80 centavos) dá 16 centavos, que é o troco devido. Essa última conta do troco poderia também ser feita assim: de 84 até 90 são 6, ao qual somamos 10 para chegar até 100, ao todo 16 centavos.

Cálculos como esses são necessários na vida de qualquer cidadão, por isso é importante saber a tabuada e saber fazer contas simples como essas, sem recorrer a lápis, papel ou calculadora.   E, como já dissemos acima, é um bom exercício para desenvolver bem a compreensão das operações.   Eu pergunto:   não seria o caso de passar boa parte das aulas fazendo tais exercícios? E depois organizar os alunos em grupo e fazer competições entre os grupos? Seria um modo de tornar a aula descontraída, engraçada e agradável, ao mesmo tempo que se estimularia o interesse dos alunos nesses exercícios de compreensão das operações e de memorização.
 

 

     Decorar é preciso

As pessoas que consideram desnecessário decorar a tabuada talvez pensem que "decorar", de um modo geral, seja uma atividade menos nobre e sem valor algum. Isso não é verdade. "Decorar" é um importante exercício para a memória. E uma boa memória — privilégio de poucos — é um valioso auxiliar da atividade intelectual. O grande matemático Leonardo Euler (1707-1783) tinha excelente memória, a ponto de saber, de cor, dentre outras coisas, toda a Eneida de Virgílio. Em latim! Qualquer cidadão brasileiro sabe (ou deve saber...), de cor, o hino nacional. Convém lembrar que atores de teatro decoram peças inteiras. Sabendo a peça de cor, e não dependendo de alguém (o "ponto") para o auxiliar, o ator fica "dono de si", portanto, mais capaz de fazer uma boa interpretação do personagem que irá representar.

 

     Cálculos aproxímados

Voltando a falar de cálculos, é claro que não faz mais sentido, hoje em dia, insistir com os alunos para que aprendam a fazer, manualmente, cálculos como

3,21897 x 9,38     ou        2,801799 1,98,

como era exigido de mim no 4° ano primário. Mas, embora não tenha de fazer contas como essas, o aluno de hoje deve estar preparado para saber, por um rápido exame, que a primeira dessas contas resulta em aproximadamente 3 x 10 = 30, enquanto a segunda se aproxima de 2,8 2 = 1,4. Conferindo com a calculadora, vemos que a primeira dá  30,193938  e a segunda,   1,41505.

Essa questão do cálculo aproximado é muito importante e deveria merecer a devida atenção nos programas do 1.° e 2.° graus.

 

     Outras habilidades de cálculo

Há certas habilidades valiosas e importantes com cálculos que ilustraremos concretamente em dois problemas, dados a seguir. 0 primeiro deles já foi tratado em nosso artigo da RPM 1, p. 12, mas merece ser repetido, não só para ilustrar a questão de cálculo que desejamos focalizar, mas também pela sua importância, pois foi, na Antiguidade, um dos grandes sucessos de aplicação da Matemática para a obtenção de um resultado decisivo para o conhecimento humano, qual seja, o tamanho do planeta em que vivemos.

Problema 5. Para calcular a circunferência terrestre, no século III a.C. o sábio Eratóstenes valeu-se da distância conhecida de 800 km entre as localidades de Alexandria e Siena no Egito (A e S, respectivamente, na figura), situadas no mesmo meridiano terrestre. Ele sabia que, quando ern Siena os raios solares caíam verticalmente, em Alexandria eles faziam um ângulo de 7,2 graus com a vertical. Calcule, com esses dados, a circunferência terrestre, isto é, o comprimento de uma volta completa em torno da Terra.

Resolução. A principal coisa na resolução desse problema é a proporcionalidade: ângulos centrais estão entre si como os arcos correspondentes determinados na circunferência. Sendo C o comprimento da circunferência, isso significa que


 

Neste ponto, antes de fazer qualquer conta, devemos notar o que pode ser simplificado: 72 é múltiplo de 36, o que nos permite cancelar o fator 36 em cima e embaixo, assim :

 

portanto, a relação (1) nos dá: C = 800 x 50 = 40 000 km.

O raciocínio de Eratóstenes ressalta ainda a proporcionalidade de ângulos e arcos, quando visto na sua forma original, assim: se uma volta completa corresponde a 360 graus, que é 50 vezes 7,2 graus, o comprimento dessa volta também será 50 vezes 800 km, isto é, C = 40 000 km.

De posse do conhecimento da circunferência terrestre, o raio da Terra é obtido facilmente dividindo-se o comprimento encontrado de 40 000 km por ,  resultando, aproximadamente,  6 370 km.

A aproximação de valores numéricos, como fizemos acima no caso do ângulo (que foi propositadamente ajustado em 7,2 para facilitar os cálculos), é um procedimento que ajuda a obter estimativas rápidas e é freqüentemente usado em cálculo numérico: muitas vezes pequenas mudanças nos dados simplificam consideravelmente os cálculos.

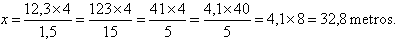
Problema 6. Uma rampa — como a que dá acesso ao Palácio do Planalto, em Brasília tem 4 metros de altura na sua parte mais alta. Tendo começado a subi-la, uma pessoa nota que, após caminhar 12,3 metros sobre a rampa, está a 1,5 metro de altura em relação ao solo. Calcule quantos metros a pessoa ainda deve caminhar para atingir o ponto mais alto da rampa.

Resolução. Uma simples figura nos mostra que, sendo x o comprimento total da rampa, vale a proporção:

Novamente aqui, antes de fazer qualquer cálculo, deve-se procurar simplificar: 123 e 15 são ambos divisíveis por 3, depois 40 é divisível por 5. Assim,

32,8 m é o comprimento total da rampa; portanto, falta à pessoa caminhar mais  32,8 12,3 = 20,5 metros.

Esse problema da rampa foi proposto no vestibular da Unicamp de 1994. Vários vestibulandos cometeram erros grosseiros de ajuste das casas decimais, encontrando para a rampa comprimento total de 328 metros ou 3,28. Ora, sem fazer qualquer conta pode-se estimar o comprimento da rampa, assim: a altura total da rampa (4 metros) é pouco mais de 2 vezes a altura de 1,5 metro; logo, o comprimento total da rampa há de ser pouco mais do que o dobro de 12,3 metros, ou seja, pouco mais de 24,6 metros, o que é verdade. Um raciocínio mais preciso seria este: 4 1,5 está entre 2 e 3; logo, o comprimento da rampa está entre 2 x 12,3 = 24,6 e 3 x 12,3 = 36,9, ou seja, por volta de 30 metros.

 

     Conclusão

Os exemplos discutidos aqui já são suficientes para mostrar que há muitos cálculos interessantes que o professor pode ensinar a seus alunos. Como se vê, há vários recursos simples que muito facilitam as contas e que vão sendo aprendidos quanto mais o aluno se exercita na resolução numérica dos problemas. Portanto, não é verdade que com o advento da calculadora o professor está agora dispensado de ensinar a fazer contas. Há muito o que ensinar sobre isso, e coisas muito úteis. Se hoje em dia não há por que ocupar os alunos em trabalhosas contas de multiplicar ou dividir, como se fazia antigamente, não só as operações e suas propriedades têm de ser ensinadas, mas as técnicas de cálculo também merecem igual cuidado. Agora, quando lidamos com cálculos complicados, envolvendo raízes quadradas, logaritmos, funções trigonométricas, etc, o uso da calculadora é indispensável e se revela um "alívio" para o usuário.

 

Certa vez, ao fazer compras de verduras, enquanto a verdureira que me atendia embrulhava minhas compras, apanhei o papel em que ela anotara as várias coisas que comprei, com os preços, e fui somando à maneira antiga. E anunciei: 6 reais e 34 centavos. Ela ouviu calada, terminou de fazer os embrulhos, apanhou sua calculadora, fez as contas e me disse: "é, na Aritmética o senhor está aprovado".