Eduardo Wagner
R
aul Agostino

Rio de Janeiro, RJ

Muitos professores já tiveram ocasião de ouvir de algum aluno curioso uma pergunta do tipo:

Qual é maior:   99100  ou   10099?

A resposta é simples se o aluno conhece logaritmos e se o professor tem à mão uma máquina de calcular científica. Por exemplo, calculando os logaritmos decimais dos dois números, temos:

log 99100 = 100 . log 99 199,56

log 10099 = 99 . log 100 = 198.

Como a função logaritmo (decimal) é estritamente crescente, concluímos que 99100   é maior que   10099.

Entretanto, poderemos responder a inúmeras perguntas desse tipo, conhecendo o seguinte fato:

TEOREMA

Se   e a < b,    então   ab > ba .

Vamos apresentar uma demonstração simples desse curioso resultado.

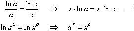
Conhecemos o gráfico da função y = ln x; (logaritmo natural de x).

Sabemos que a derivada da função  y = ln x  é  y' = l / x (x > 0)  e com isso podemos obter a equação da reta tangente ao gráfico da função logaritmo no ponto  (e, l).

A inclinação (coeficiente angular) dessa tangente  é  l / e;  portanto,  sua  equação é da  forma

A reta tangente ao gráfico de   y = ln x   no ponto   (e, 1) passa pela origem.

Consideremos agora dois reais   a b  tais que  e a < b.

Seja r a reta que contém a origem e o ponto (a, ln a) e seja s a reta que contém a origem e o ponto (b, lnb), como mostra o desenho acima. Ocorre que a inclinação de r é maior do que a inclinação de s *. Portanto,

Com esse interessante resultado concluímos que   99100 > 10099 sem máquina e sem logaritmos e também a famosa desigualdade:

COROLÁRIO

Se  0 < a < b e,     então     ab < ba.

A demonstração do corolário pode ser feita da mesma forma. Observe que, se P = (x, y) percorre o gráfico da função  y = lnx,  a inclinação da reta  OP  é crescente no intervalo  0 < x < e e decrescente quando  x > e.

Entretanto, se a < e < b, não temos uma forma elementar para comparar os números  ab e ba. Surge então uma outra pergunta: quais são os pares de reais positivos   (a, b)  tais que  ab = ba?

É claro que, se a = b, temos ab = ba. Mas temos, por exemplo, 24 = 42. Como poderemos então determinar os pares (a, b) com essa propriedade?

Observe que toda reta que contém a origem e tem inclinação positiva e menor que l / e corta o gráfico de  y = lnx em dois pontos distintos.**

Observando o desenho a seguir, vemos que, se a > e, então a reta que contém a origem e o ponto (a, In a) corta o gráfico de  y = lnx  em um ponto  (x,lnx)   com 1 < x < e.

Temos, nesse caso,

Da mesma forma, percebemos  que,  para todo  a  tal  que 1 < a < e,  existe um número  x > e  tal que  ax = xa.   Então, dado um número real  a > 1,   como se resolve a equação  ax=xa?

E claro que x = a é uma solução dessa equação. E a solução óbvia. Mas sabemos que existe outra. Vamos mostrar como se pode encontrar uma aproximação para a outra solução no exemplo se­guinte.

EXEMPLO:   Resolver a equação  5x = x5.

A solução natural é x = 5. Mas sabemos que existe outra no intervalo   1 < x < e.

Não existe uma fórmula, para exibir essa outra solução. Só poderemos conhecê-la através de aproximações. Vamos então criar uma sequência x0, x1, x2,... que se aproxime indefinidamente da solução da nossa equação.

Escrevendo a equação   x5 = 5x  na forma   x = (5x )0,2  poderemos partir, por exemplo, de x0 = 2 e construir a seqüência seguinte:

No desenho a seguir, construímos os gráficos das funções y = x5  y = 5x  para mostrar como "funciona" essa sequência.

Partindo de  x0 = 2,  calculamos

e assim por diante. Essa sequência, como mostra o desenho anterior, é decrescente e converge para a solução da nossa equação. A melhor aproximação dada por uma calculadora científica comum ocorre quando encontramos xn+1 = xn no visor. Utilizando uma de 10 dígitos, encontramos como solução da equação   5x = x5   o valor   x = 1,764921915.

 


__________
**  Preferimos, outra vez, usar um argumento visual do que entrar em detalhes sobre a concavidade da função logaritmo.