Vera Helena Giusti de Souza
IME-USP

Envie suas perguntas para
RPM - O leitor pergunta
Caixa Postal 20570
01452-990 São Paulo, SP

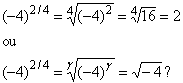
- Uma leitora de Santa Cruz do Sul, RS, nos pergunta qual a solução correta no seguinte caso:

RPM: Na verdade, nenhuma das soluções é correta. O erro reside em escrever­mos (4)2/4. Para evitar problemas de coerência, exatamente como o proposto, a expressão   ab,   para  b IR só está bem definida se nos restringirmos a  a > 0.

Assim, para escrevermos ab, com b IR, já está implícito que devemos considerar   a > 0.

Vale a pena lembra que o mesmo problema ocorre quando estamos trabalhando no conjunto dos números complexos, pois:

- Um leitor de Primavera, SP, propõe-nos o seguinte problema: Qual é o algarismo das unidades no número

(4! + 5! + 6!+. . .+137)2n  com n IN*?

RPM: Lembrando que m ! = m . (m 1) . (m 2) . . . 2 . 1, m IN*, observamos que m! é múltiplo de 10, para todo m 5, porque os fatores 2 e 5 comparecem em  m!.

Assim, 5! + 6! + . . . +137! é uma adição em que todas as parcelas são múltiplos de 10 e, portanto, a soma é múltiplo de 10 (na verdade, esse resultado independe de estarmos considerando uma soma até   137!).

Como 5! + 6! + . . . + 137! termina em 0 e 4 ! = 24, o número 4 ! + 5 ! + . . . +137!  termina em 4.

Assim, temos:

onde o número entre colchetes termina em  6,  porque  42   termina em  6.

Como 6n termina em 6, n IN*, o último algarismo de (4! + 5 !+ . . . + 137!)2n é  6 (e o resultado é o mesmo se substituirmos 137! por qualquer n!, com  n 5).

-  Um leitor nos pergunta sobre a existência de enciclopédias de Matemática. RPM: Consultando a Biblioteca do Instituto de Matemática e Estatística da USP, descobrimos a existência de 25 dicionários técnicos de Matemática e enciclopédias.

Dentre eles, um em língua japonesa e dois em língua portuguesa:

    CHAMBADAC, Lucien.   Dicionário da Matemática Moderna..  Trad. Ione de Andrade.       São Paulo, Nacional, 1978, 209 p. Original francês.

    SOUZA, Júlio César de Melo e. Dicionário curioso e recreativo da Matemática. Rio de       Janeiro, Getúlio Costa, 1940-42.

-  Um leitor de Valença, RJ, nos propõe o seguinte problema:

Um defeito de impressão numa prova, tornou ilegível o expoente do número 2.  A questão da prova, informava, que 2* x 34 admitia 20 divisores positivos. Tal defeito não significou anulação da questão porque os alunos puderam concluir que * substituiu o número . . .

RPM: Dizer que um número a divide um número b é equivalente a dizer que a decomposição de a em fatores primos tem os mesmos fatores que a decomposição de b, todos com expoente menor ou igual aos que aparecem na decomposição de b. Assim, se  divide 

Cada divisor de 2* x 34 é do tipo 2r x 3s, onde 0 r *  e  0 s 4; para contarmos o número de divisores de 2* x 34, basta verificar quantos são os possíveis valores de r e s. Para s existem 4 + 1 valores possíveis: 0, 1,2, 3 e 4. Para r existem * + l valores possíveis. Assim, o número 2* x 34 tem (* + l) x 5 divisores, isto é,   (* + 1) x 5 = 20,  donde   * = 3.

-  A pergunta e a resposta, a seguir, foram publicadas no Folhetim de Educação Matemática., ano 1, n 22, Bahia, NEMOC, 1993. (v. RPM 24, p. 43)

Nilson Silva indaga: em um livro de Matemática li que, entre 13 pessoas, existem pelo menos duas que terão aniversário no mesmo mês. Como essa frase veio desacompanhada de qualquer explicação, pergunto: é possível justifícá-la matematicamente?

NEMOC: Qualquer pessoa tem aniversário ou em janeiro, ou em fevereiro, ... ou em dezembro. Se fosse dado um conjunto de apenas 12 pessoas, seria possível - porém difícil - não existir entre elas coincidência de aniversário quanto ao mês; porém, para um conjunto de 13 pessoas, para que continuasse essa mesma não-coincidência, o ano deveria ter 13 meses. No lugar de 12 meses, considere cada mês como uma gaveta e cada aniversário como um objeto. Dessa forma, você possui 13 objetos para serem colocados em 12 gavetas, donde se conclui que pelo menos em uma dessas gavetas você colocará dois objetos, o que significa coincidência de aniversários.

Pense agora em um pombal com 30 pombos e 29 casinhas onde eles se abrigam. Ao visitar o pombal, você nota que todos os pombos estão abrigados em suas casinhas. Qual a conclusão que se pode extrair?

A conclusão é esta: em uma das casinhas há, pelo menos, dois pombos abrigados. Simples, não? Esse princípio (vamos já mencioná-lo explicitamente) chama-se Princípio da Casa dos Pombos, ou Princípio de Dirichlet, e diz o seguinte:

Sendo dados   n    objetos para serem colocados no máximo em   (n 1) lugares, então um deles conterá obrigatoriamente mais do que um objeto.

Mais um exemplo: se você possui uma dúzia de lenços (n, aqui, é igual a 12), e quer distribuir esses lenços em 11, (n 1), gavetas, então colocando um na primeira gaveta, um na segunda, um na terceira e assim sucessivamente, você colocará necessariamente dois lenços em uma gaveta. DIRICHLET, Peter Gustav Lejeune, foi um ilustre matemático alemão, nascido em 1805 e falecido em 1859. Ele utilizou esse princípio em muitas questões matemáticas, chegando a resultados importantes, pelo que não custa, mais uma vez, realçar que a simplicidade esconde a profundidade; aliás, não é costume afirmar-se que as águas tranquilas são as mais profundas? Não mencionaremos, aqui, os resultados espantosos aos quais aquele grande matemático chegou; uma visão parcial desses, o colega poderá ter lendo o livro de Miguel de Guzmán: Aventuras Matemáticas, da Editora Gradiva. Para concluir a resposta à sua pergunta, afirmo-lhe que na cidade de Feira de Santana existem, pelo menos, três pessoas que possuem, na cabeça, o mesmo número de fios de cabelo. Como?

Vamos admitir, de partida, duas premissas, ambas verdadeiras, (a) cidade de Feira de Santana (incluindo seus distritos) possui mais de 450 mil habitantes (que vão ser os pombos. .. ); (b) o número máximo de fios de cabelo na cabeça de uma pessoa não ultrapassa 200 mil (os números constituem as casinhas dos pombos); dessa forma, cada habitante de Feira de Santana tem na cabeça um número de fios de cabelo entro os seguintes: 0 (careca completo), 1, 2, 3, 4, 5, 6, 7 , ..., 199997, 199 998 e 199 999. A cada habitante de Feira corresponde um desses números, igual ao número de fios de cabelo que tem na cabeça; se, em cada casinha se abrigam dois habitantes, o número total de feirenses abrigados será 400 mil; porém, o número de habitantes de Feira é superior a 400 mil, donde se conclui que em pelo menos um daqueles números, 1, 2, 3, ... , 199 999, que são as casinhas, se abrigaram mais do que dois habitantes da cidade; isto é, três habitantes de Feira, pelo menos, possuem na cabeça o mesmo número de fios de cabelo.

(NR: A RPM fez algumas poucas e pequenas alterações no texto original.)