A Solução de  Tartaglia para a Equação do Terceiro  Grau

César Polcino Milies
IME-USP, SP
 

     1. Introdução

A história da resolução da equação de terceiro grau é muito pitoresca, plena de lances dramáticos, paixões e disputas pela fama e a fortuna que seu achado poderia trazer a seus autores. Ela foi narrada recentemente num interessante artigo de Elon L. Lima [4] e pode ser encontrada também em livros de história da Matemática tais como [1] ou [3].

Uma das personagens dessa história é Niccolò Fontana (1500-1557 aprox.). Em 1512 os franceses saquearam Brescia, sua cidade natal. Sua mãe buscou refúgio para o filho na igreja, mas os soldados também invadiram o santuário, e a criança foi ferida no rosto. O ferimento lhe causou uma gagueira permanente, que lhe valeu o apelido de Tartaglia (gago, em italiano), pelo qual se tornou conhecido. Ele não foi o primeiro a obter o método de resolução dessas equações; Scipione del Ferro (1465-1562 aprox.), que foi professor na Universidade de Bolonha e cuja biografia é pouco conhecida, foi o verdadeiro descobridor. Antes de morrer, dei Ferro ensinou seu método a dois discípulos, Annibale delia Nave - seu futuro genro e sucessor na cátedra em Bolonha - e António Maria Fior (ou Floridus, em latim).

Em 1535 houve uma disputa matemática entre Fior e Tartaglia.    Tais confrontos intelectuais não eram infreqüentes na época e, muitas vezes, a permanência de um matemático numa cátedra dependia de seu bom desempenho nesses encontros. Cada um dos adversários propôs ao outro trinta problemas e foi combinado que o perdedor deveria pagar trinta banquetes ao ganhador. Tartaglia preparou questões variadas, mas todos os problemas propostos por Fior implicavam equações do tipo X3 + aX = b. Precisamente na noite de 12 para 13 de fevereiro, Tartaglia conseguiu descobrir o método de resolução de tais equações e, na hora do confronto, verificou-se que Tartaglia tinha resolvido todas as questões propostas por Fior, enquanto este não tinha conseguido resolver a maioria das questões submetidas por Tartaglia. Declarado vencedor, Tartaglia voluntariamente renunciou aos trinta banquetes.

 

A notícia do triunfo de Tartaglia logo se espalhou e chegou aos ouvidos de Girolamo Cardano (1501-1576), que, na época, ocupava uma cadeira de medicina na Universidade de Pavia e era membro do Colégio Médico de Milão. De todos os participantes da nossa história, talvez seja Cardano o mais enigmático, aquele cuja vida é mais pitoresca e, certamente, que teve uma formação mais universal.

Para termos uma idéia de quão extenso e profundo era seu conhecimento, citamos a seguir os comentários de Gabriel Naudé (1600-1653), que publicou a autobiografia de Cardano pela primeira vez em 1643*:

Não somente era, ele inquestionavelmente um médico notável, como foi também provavelmente o primeiro e único homem a se distinguir em todas as ciências ao mesmo tempo. É uma das ilustrações da Natureza daquilo que um homem é capaz de atingir. Nada de significativo lhe era desconhecido em filosofia, medicina, astronomia, matemática, história, metafísica ou as ciências sociais, ou em outras áreas mais remotas do conhecimento. Ele também errava, é claro, isto é apenas humano; é maravilhoso, porém, quão raramente ele errava.

Por outro lado, Naudé é bem mais crítico quanto à vida pessoal e características de personalidade de Cardano, distorcendo-as até o patológico. Foram estas opiniões de Naudé, amplamente divulgadas no prefácio das obras de Cardano, que deram origem à visão distorcida que as futuras gerações tiveram sobre seu caráter.

 

Na época da descoberta de Tartaglia, Cardano gozava de boa posição em Milão e o convidou a sua casa, com o pretexto de apresentá-lo ao comandante militar da cidade, uma vez que Tartaglia tinha feito também algumas descobertas sobre tiro e fortificações e esperava obter disso algum benefício. Uma vez lá, com muita insistência Cardano conseguiu que lhe fosse revelado o segredo da resolução das equações do terceiro grau.

Tartaglia consentiu em lhe ensinar a regra de resolução (embora não lhe ensinasse a demonstração da mesma), sob forma de versos, em troca do juramento solene de que Cardano jamais publicaria esse segredo.

Conhecendo um método de resolução, Cardano procurou - e achou - uma demonstração que o justificasse. Mais ainda, ele estimulou seu secretário e discípulo Ludovico (Luigi) Ferrari (1522-1565) a trabalhar com a equação de quarto grau e ele achou o correspondente método de resolução com a devida demonstração.

De posse de ambas as soluções, Cardano deve ter se sentido forte­mente tentado a publicá-las. Em 1544, mestre e discípulo realizaram uma viagem a Florença e, no caminho, fizeram uma visita a Annibale delia Nave, em Bologna. De acordo com um relato de Ferrari, este lhes mostrou um manuscrito de del Ferro que continha a famosa regra de Tartaglia, manuscrito este que ainda se conserva. Aparentemente, ao saber que a fórmula de Tartaglia existia já desde trinta anos antes, Cardano se sentiu desobrigado de cumprir seu juramento e publicou, em 1545, em Nuremberg, uma obra intitulada Ars Magna, que o tornou verdadeiramente famoso em todo o continente. Nas palavras de C. Boyer*, "ele provavelmente era o matemático mais competente da Europa". Nessa obra aparecem, pela primeira vez, as regras de resolução das equações do terceiro e quarto graus. A seu favor, podemos dizer que Cardano não esquece de fazer as devidas atribuições de mérito aos respectivos descobridores.

A seguir, faremos uma análise do método que Tartaglia confiou a Cardano.

 

     Os Versos de Tartaglia

Como dissemos acima, Tartaglia comunicou a Cardano o segredo da sua descoberta por meio de versos. Tal idéia não é tão estranha quanto pode parecer a princípio; devemos lembrar que, na época, os autores não dispunham ainda de uma notação adequada para tratar as equações em sua generalidade e não podiam, portanto, expressar seus métodos resumidamente mediante fórmulas, como fazemos hoje em dia.

A seguir, reproduzimos os versos na sua versão original, tal como transcritos na página 120 da edição de 1554 dos Quesiti [6]:

1.    Quando che'l cubo con le cose appreso
Se aggaglia a qualque número discreto
Trovati due altri differenti in esso

2.    Depoi terrai questo por consueto
Che'l lor produtto sempre sia eguale
Al terzo cubo delle cose neto

3.     El resíduo poi suo generale
Delli lor lati cubi ben sostratti
Verra Ia tua cosa principale

4.     In el secondo de coiesti aiti
Quando che'l cubo restasse lui solo
Tu osserverai quesfaltri contratti

5.     Del número farai due, tal parfa volo
Cha l'uno e l'altro si produca schietto
El terzo delle cose in stelo

6.    Delle qual poi, per commun precetto
Torrai li lati cubi incieme gionti
Et cotai somma será il tuo concetto

7.     El terzo poi de questi nostri conti
Se solve con secondo, se ben guardi
Che ser natura son quasi congiontri

8.    Questi trovai, et non con passi tardi
nel mille cinquecento quatro et trinta
Nella città dal maré intorno centa.

Uma tradução para o português ficaria, mais ou menos, assim:

1.     Quando o cubo com a coisa em apreço
Se igualam a qualquer número discreto
Acha dois outros diferentes nisso

2.     Depois terás isto por consenso
Que seu produto seja sempre igual
Ao cubo do terço da coisa certo

 

3.     Depois, o resíduo geral
Das raízes cúbicas subtraídas
Será tua coisa principal

4.     Na segunda destas operações,
Quando o cubo estiver sozinho
Observarás estas outras reduções

5.     Do número farás dois, de tal forma
Que um e outro produzam exatamente
O cubo da terça parte da coisa

6.     Depois, por um preceito comum
Toma o lado dos cubos juntos
E tal soma será teu conceito

7.     Depois, a terceira destas nossas contas
Se resolve como a segunda, se observas bem
Que suas naturezas são quase idênticas

8.     Isto eu achei, e não com passo tardo
No mil quinhentos e trinta e quatro
Com fundamentos bem firmes e rigorosos
Na cidade cingida pelo mar

Analisaremos, a seguir, esses versos numa linguagem acessível ao leitor contemporâneo. Antes de tudo, é conveniente lembrar que Tartaglia (assim como depois faria também Cardano) não utiliza coeficientes negativos em suas equações. Então, em vez de uma equação geral do terceiro grau, ele deve considerar três casos possíveis:

x3 + ax = b

           x3 = ax + b

x3 + b = ax .

Tartaglia chama cada um desses casos de operações e afirma que irá considerar, de início, equações do primeiro tipo: "cubo e coisa igual a número". No quarto verso começa a considerar o segundo tipo "quando o cubo estiver sozinho" e, no sétimo, faz referência ao terceiro caso.

Vejamos agora como se propõe a resolver o primeiro caso, nos três versos iniciais, para depois justificar seu método, de uma forma simples.

O número se refere ao termo independente, que nós denotamos aqui por b. Quando diz "acha. dois outros diferentes nisso", está sugerindo tomar duas novas variáveis cuja diferença seja precisamente b,  i.e., escolher   V   tais que:

 

U V = b.

A frase "... que seu produto seja sempre igual a cubo da terça parte da coisa" significa que   U   e   V   devem verificar:

Finalmente,  "o resíduo geral das raízes cúbicas subtraídas será tua coisa principal" significa que a solução estará dada por

Os outros dois casos carecem de interesse para o leitor moderno, uma vez que podemos reduzi-los ao primeiro, mudando termos de um membro a outro da equação.

A frase final "... a cidade cingida pelo mar" é uma referência a Veneza, onde realizou suas descobertas.

 

     A Resolução da Equação do Terceiro Grau

Nesta seção veremos como justificar a fórmula de Tartaglia para resolver equações do terceiro grau. Naturalmente, utilizaremos métodos e notações modernos, o que nos permitirá dar uma exposição relativamente simples.

Vamos considerar uma equação do terceiro grau escrita na forma:

x3 + ax = 6

para compará-la com a primeira destas operações . . . cubo e coisa igual a número, discutida nos três primeiros versos de Tartaglia. Na verdade, há um caminho muito simples para achá-la. Comecemos por lembrar a fórmula do cubo de um binômio:

(u v)3 = u3 3u2v + 3uv2 v3 .

Pondo em evidência o produto  uv,   temos:

 

(u v)3 = 3uv(u v) + (u3 v3),

isto é,

(u v)3 + 3uv(u v) - u3 v3 .

Se podemos escolher, de alguma forma,   e   v   de modo que verifiquem:

         uv = a/3

u3 v3 = 6,

a relação acima se transformará em:

(u v)3 + a(u v) = b

o que significa que   x = u v   será uma solução da equação dada.

Em outras palavras, se conseguirmos achar u e v que sejam soluções do sistema acima, tomando x = u v obter-se-á uma solução da equação proposta. Resta-nos então o problema de resolver o sistema. Para isso, observemos que, elevando ao cubo a primeira equação, ele se transforma em:

u3v3 = (a/3)3

u3 v3 = b.

Finalmente, fazendo   u3 = U   e   v3 = V,  temos:

          UV = (a/3)3

U V = b.

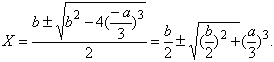
Isso é muito fácil de resolver;   V   são as raízes da equação:

X 2 bX + (a/3)3 = 0

que são dadas por:

 

Podemos tomar uma dessas raízes como sendo  U  e a outra como  V, logo temos  u = e v = . Portanto, obtemos precisamente a solução enunciada por Tartaglia:

 

Mais explicitamente, substituindo U e V pelos seus respectivos valores, resulta a conhecida fórmula que, nos textos, é chamada de fórmula de Cardano ou de Tartaglia:

Uma observação final:   a equação geral do terceiro grau, que podemos escrever na forma:

x3 + a1x2 + a2x + a3 = 0 ,

pode-se reduzir ao caso acima, mediante a mudança de variável x = y (a1/3). Aliás, essa redução era conhecida por Tartaglia, mas não por Fior, e foi justamente esse fato que determinou a vitória do primeiro. Isso significa que, na verdade, Tartaglia conhecia um método geral para resolver qualquer equação do terceiro grau.

 

___________
 *
Citado por Fierz [2], p. 2
_________
 
*   [1], p. 208.
 

Referências Bibliográficas

[1]  BOYER, C. História da. Matemática. São Paulo, Edgar Blücher, 1974.

[2]  FIERZ, M. Girolumo Caridano (1501-1576). Boston, Birkhäuser, 1983.

[3]  KLINE, M.  Mathematical thought from ancient to modern  times.    New York, Oxford Univ. Press, 1972.

[4 ] LIMA, E. L. A equação de terceiro grau. Matemática Universitária 5 (1987), SBM, p. 9-23.

[5]  SMITH, D. E. A source book in Mathematics.   New York, McGraw Hill, 1929.

[6] TARTAGLIA, N. Quesiti et inventioni diverse (publicação comemorativa do IV centenário da morte de  Niccolo Tartaglia), Brescia, 1959.

 

César Polcino Milies é professor titular do IME-USP. Interessa-se por Algebra - sua área de pesquisa -e História da Matemática. Tem diversos outros interesses: pratica judo, estuda cabala e é também psicólogo, formado na USP.