A Emergência dos
N
úmeros Complexos

César Polcino Milies
IME-USP, SP
 

     1.  Introdução

Os números complexos desempenham um papel sumamente importante nos mais diversos ramos da Matemática e, através destes, em muitas das aplicações a outras áreas do conhecimento.

Em geral, o estudante se depara com eles, pela primeira vez, ainda no curso secundário e sua introdução é justificada pela necessidade de resolver equações de segundo grau com discriminante negativo. Isso cria uma falsa impressão, já que, historicamente, não foram as equações de segundo grau que levaram à introdução dos números complexos.

Nestas notas analisaremos essa questão e alguns outros aspectos ligados ao desenvolvimento do assunto.

0 fato de que um número negativo não tem raiz quadrada parece ter sido sempre claro para os matemáticos que se depararam com a questão.

As equações de segundo grau apareceram na Matemática já nas tabuletas de argila da Suméria, aproximadamente 1700 anos antes de Cristo e, ocasionalmente, levaram a radicais de números negativos; porém, não foram elas, em momento algum, que sugeriram o uso de números complexos.

Em rigor, uma equação era vista como a formulação matemática de um problema concreto; assim, se no processo de resolução aparecia uma raiz quadrada de um número negativo, isso era interpretado apenas como uma indicação de que o problema originalmente proposto não tinha solução. Como veremos adiante, foram só as equações de terceiro grau que impuseram a necessidade de trabalhar com esses números.

Vejamos inicialmente alguns antecedentes. Um primeiro exemplo desta atitude aparece na Arithmetica, de Diophanto. Aproximadamente no ano de 275 d.C. ele considera o seguinte problema:

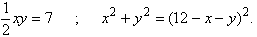
Um triângulo retângulo tem área igual a 7 e seu perímetro é de 12 unidades. Encontre o comprimento dos seus lados.

Chamando de x e y o comprimento dos catetos desse triângulo, temos, na nossa notação atual:

Substituindo  em função de  x,  obtemos a equação:

Na verdade, o primeiro registro de um radical de um número negativo é um pouco anterior: ele aparece na Estereometria de Heron, matemático grego do período Alexandrino, publicada aproximadamente em 75 d.C. Num cálculo sobre o desenho de uma pirâmide surge a necessidade de avaliar A questão parece não causar nenhum problema simplesmente porque logo em seguida os números apresentam-se trocados: , resultando ,

Encontram-se novas referências à questão na Matemática indiana. Aproximadamente no ano de 850 d.C, o matemático indiano Mahavira afirma:

. . . como na natureza das coisas um negativo não é um quadrado, ele não tem, portanto, raiz quadrada.

Já no século XII o famoso matemático Bhaskara (1114-1185 aprox.) escreve:

O quadrado de um afirmativo é afirmativo; e a raiz quadrada de um afirmativo é dupla: positiva e negativa. Não há raiz quadrada de um negativo; pois ele não é um quadrado.

Também na Matemática européia aparecem observações dessa natureza; Luca Paccioli, na sua Summa de arithmetica, geométrica, proportioni et proportionalita, publicada em
Nicolas Chuquet (1445-1500 aprox.) faz observações seme­lhantes sobre "soluções impossíveis" num manuscrito, não publicado, de 1484.

O próprio Cardano se deparou com esse tipo de questões e, embora mantivesse a atitude dos seus contemporâneos, no sentido de entender que raízes de números negativos indicavam apenas a não-existência de soluções de um determinado problema, pelo menos em um caso ele deu um passo a mais. No Capítulo 37 do Ars Magna, ele considera o problema de dividir um segmento de comprimento 10 em duas partes cujo produto seja 40.

Se chamamos de x o comprimento de uma das partes, a outra terá comprimento 10 x, e a condição do problema se traduz na equação:

Isso leva à equação x2 l0x + 40 = 0, cujas soluções são Cardano reconhece que o problema dado não tem solução mas, talvez a título de curiosidade, observa que, trabalhando com essas expressões como se fossem números, deixando de lado as torturas mentais envolvidas e multiplicando por , obtém-se  25 ( 15),   que é igual a  40.

Em conseqüência, ele chama essas expressões de raízes sofísticas da equação e diz, a respeito delas, que são tão sutis quanto inúteis.

 

     2. A necessidade dos números complexos

Raphael Bombelli (1526-1573) era um admirador da Ars Magna de Cardano, mas achava que seu estilo de exposição não era claro (ou, em suas próprias palavras, ma, nel dire fu oscuro). Decidiu, então, escrever um livro expondo os mesmos assuntos, mas de forma tal que um principiante pudesse estudá-los sem necessidade de nenhuma outra referência. Publicou l'Álgebra, em três volumes, em 1572, em Veneza, obra que viria a se tornar muito influente. No capítulo II dessa obra, ele estuda a resolução de equações de grau não superior a quatro. Em particular na página 294 e nas seguintes, ele considera a equação x3 = 15x+ 4. Ao aplicar a fórmula de Cardano para o cálculo de uma raiz, ele obtém:

Seguindo Cardano, ele também chama essa expressão de sofística, mas, por outro lado, ele percebe que x = 4 é, de fato, uma raiz da equação proposta.

Assim, pela primeira vez, nos deparamos com uma situação em que, apesar de termos radicais de números negativos, existe verdadeiramente uma solução da equação proposta. É necessário, então, compreender o que está acontecendo.

Bombelli  concebe então a possibilidade de que exista  uma  ex­pressão da forma    que possa ser considerada como raiz cúbica de i.e., que verifique . A forma em que ele calcula essa raiz é um tanto peculiar; ele assume que a raiz cúbica de seja da forma . Como ele sabe que 4 deve ser raiz da equação, necessariamente . Neste ponto, felizmente, as quantidades não existentes se cancelam e obtemos a =2. Com esse resultado, é muito fácil voltar à equação e deduzir que  b = 1.   Assim, ele obtém que      e que:

é uma solução da equação dada.

Bombelli percebeu claramente a importância desse achado. Ele diz:

Eu achei uma espécie de raiz cúbica muito diferente das outras, que aparece no capítulo sobre o cubo igual a uma quantidade e um número. ... A princípio, a coisa toda me pareceu mais baseada em sofismas que na verdade, mas eu procurei até que achei uma prova... .

Isto pode parecer muito sofisticado mas, na realidade, eu tinha essa opinião, e não pude achar a demonstração por meio de linhas [i.e. geometricamente], assim, tratarei da multiplicação dando as regras para mais e menos.

 

Ele utiliza a expressão piú di meno para se referir ao que nós denotaríamos como + i e meno di meno para i. Ele enuncia então o que chama de regras do produto, que citamos abaixo junto com sua tradução na nossa simbologia:

Più via piú di meno fa più di meno,                                                  + . (+ i) = + i

Meno via più di meno fa meno di meno,                                          . (+ i) = i

Più via meno di meno fa meno di meno,                                           + . ( i) = i

Meno via meno di meno fa più di meno,                                           . ( i) = + i

Più di meno via più di meno fa meno,                                            (+ i) . (+ i) =

Meno di meno via più di meno fa più,                                            ( i) . (+ i) = +

Meno di meno via meno di meno fa meno.                                     ( i) . ( i) =

E interessante notar que Bombelli se deparava com a dificuldade adicional de não dispor de uma boa notação. Ele utilizava p (plus) para indicar a soma; m (minus) para a subtração; R (radix) para raiz quadrada e R3 para a raiz cúbica. Também não dispunha de parênteses; nos seus manuscritos sublinhava expressões para indicar quais os termos afetados por um radical. Assim, por exemplo, a expressão      era escrita na forma

Note que, como não escrevia diretamente números negativos, ele escreveu 121 como 0 121. Dessa forma, a solução da equação discutida acima aparecia como:

 

     3. Progressos ulteriores

Faremos aqui um pequeno resumo da evolução dos números complexos, para que o leitor tenha uma visão global da história do assunto. Começaremos listando alguns progressos na notação para de­pois nos ocuparmos da evolução dos conhecimentos.

      O símbolo    foi introduzido em 1629 por Albert Girard.

     O símbolo i foi usado pela primeira vez para representar     por Leonhard Euler em 1777, apareceu impresso pela primeira vez em 1794 e se tornou amplamente aceito após seu uso por Gauss em 1801.

     Os termos real e imaginário foram empregados pela primeira vez por René Descartes em 1637.

       O expressão número complexo foi introduzida por Cari Friederich Gauss em 1832.

Como observamos na seção anterior, a partir do trabalho de Bombelli, os números complexos começaram a ser utilizados devido a sua óbvia utilidade para resolver equações de terceiro grau mas, ao mesmo tempo, era claro que tais números não poderiam existir. A primeira tentativa de legitimação, via uma "interpretação geométrica", é devida a John Wallis (1616-1703), contemporâneo de Newton e professor na Universidade de Oxford. Em 1673 ele publicou um tratado intitulado Álgebra, em cujo capítulo LXVI discute a impossibilidade da existência de quantidades imaginárias e compara essa questão com a da existência de quantidades negativas *.

Estas quantidades imaginárias (como são freqüentemente chamadas) surgem das supostas raízes de um quadrado negativo (quando aparecem) e se considera que implicam que o caso proposto é impossível.

E assim é, de fato, no sentido estrito do que foi proposto. Pois não é possível que qualquer número (negativo ou afirmativo), multiplicado por si mesmo, possa produzir (por exemplo) 4. Pois sinais iguais (tanto + quanto ) produzirão + ; e portanto não  4.

Mas também é impossível que qualquer quantidade (embora não um suposto quadrado) possa ser negativa. Pois não é possível que qualquer magnitude possa ser menos que nada, ou qualquer número menor que nada.

Porém, não é esta suposição (das quantidades negativas) nem inútil nem absurda, quando corretamente compreendida. E, embora para a simples notação algébrica representa uma quantidade menor do que nada, quando se trata de uma aplicação física, denota uma quantidade tão real como se o sinal fosse + ; mas interpretada no sentido contrário.

Depois de considerar diversos exemplos de números negativos interpretados em termos de segmentos sobre uma reta orientada, ele tenta uma interpretação para as quantidades imaginárias:

____________
*   Nós citamos da transcrição de D. E. Smith [4].

Suponhamos que num local ganhamos do mar 30 acres, mas perdemos em outro local 20 acres: se agora formos perguntados quantos acres ganhamos ao todo a resposta é 10 acres, ou +10 (pois 30 20 = 10). ... Mas se num terceiro local perdemos mais 20 acres, a resposta deve ser 10 (pois 30 20 20 = 10) ... . Mas agora, supondo que esta planície negativa de 1600 square perches [20 acres correspondem a 1600 square perches, uma outra medida inglesa da época] tem a forma de um quadrado, não devemos supor que este quadrado tem um lado? E, assim, qual será esse lado?

 

Não podemos dizer que é 40, nem 40 ... Mas sim que é (a suposta raiz de um quadrado negativo) ou ou ou  .

Como era de se esperar, essa interpretação não teve uma grande acolhida entre seus contemporâneos e nenhuma repercussão posterior.

Notemos que, até aqui, nada garante que raízes cúbicas - ou, em geral, raízes n-ésimas de complexos - sejam, de fato, complexos. Tal como assinala M. Kline [5, p. 595], no começo do século XVIII, a maioria dos matemáticos ainda acreditava que raízes de diferente ordem de números complexos levariam à introdução de diferentes tipos de complexos.

Jean Le Rond d'Alembert (1717-1783) foi encontrado abandonado na porta da igreja de St. Jean Le Rond, na noite de 16 de novembro de 1717, com cujo nome foi batizado e foi criado por pais adotivos. Sua mãe, Madame de Tencin, era irmã de um cardeal e acompanhou sua vida a distância, sem nunca reconhecê-lo oficialmente, e seu pai, o General Destouches, lhe deixou uma quantia suficiente para cuidar da sua educação após sua morte em 1726. Após estudar Direito e Medicina, decidiu dedicar sua vida à Matemática. Trabalhou em álgebra, cálculo e suas aplicações, equações diferenciais ordinárias e parciais, funções de variável complexa, mecânica e dinâmica. Em 1747 publicou Refléxions sur Ia cause générale des vents, em que afirmou que toda expressão construída algébricamente a partir de um número complexo (onde incluía também a extração de raízes) é da forma . Não formulou uma prova satisfatória no caso de expressões da forma (a + bi)c+di, tarefa que seria completada por Euler.

D'Alembert foi amigo de Voltaire e colaborou com diversos artigos para a Enciclopédie, mas manteve nesta um discreto silêncio sobre os números complexos.

Roger Cotes (1682-1716) foi um jovem professor no famoso Trinity College de Cambridge e, após sua prematura morte, dele disse Newton: Se Cotes tivesse vivido, teríamos aprendido alguma coisa. Em 1714 ele obteve um importante resultado, relacionado com a obtenção de raízes n-ésimas da unidade que, na notação moderna, poderíamos explicitar como:

 

Isso poderia ter levado à famosa "relação de Euler":

que, por sua vez, implica a "fórmula de De Moivre":

o que resolveria o problema de achar raízes.

Porém, o caminho foi outro. Abraham De Moivre (1667-1754) nasceu na França, mas viveu na Inglaterra a partir dos dezoito anos, quando o Edito de Nantes, que protegia os huguenotes, foi revogado. Estudou Matemática sozinho, após ler os Principia de Newton, chegando a se tornar membro da Royal Society e das academias de Paris e Berlim. Seu trabalho versou fundamentalmente sobre trigonometria, probabilidade e cálculo de anuidades. Em 1722, utilizando fatos que já havia publicado em 1707, ele obteve um resultado que implicou a fórmula que leva seu nome, embora tenha se limitado a casos particulares e nunca tenha chegado a enunciar ou demonstrar a fórmula no caso geral.

Essa tarefa coube a Leonhard Euler (1707-1754), considerado o mais prolífico matemático de todos os tempos. Numa carta endereçada a Jean Bernoulli, datada de 18 de outubro de 1740, (o que reconheceu através do desenvolvimento em série das soluções) e que, portanto, deviam ser iguais. Publicou esse resultado em 1743; explicitamente:

Em 1748 ele redescobriu o resultado de Cotes, demonstrou a fórmula de De Moivre e estendeu sua validade para todo exponente   n  real. Com isso, a existência de raízes no campo complexo ficou definitivamente estabelecida.

 

Obviamente, Euler compreendia e utilizava muito bem os números complexos. O fato de ele próprio ter grandes dúvidas quanto a sua legitimidade ilustra claramente o status desse corpo numérico na época. Em Vollstándige Anleitung zur Álgebra, publicada primeiro em russo, em 1768-69, e depois em alemão, em 1770, que se tornou uma referência clássica nessa área nos dois séculos seguintes, Euler escreve:

Uma vez que todos os números concebíveis são maiores do que 0, ou menores do que 0 ou iguais a 0, é claro que a raiz quadrada de um número negativo não pode ser incluída entre os números possíveis. Conseqüentemente, devemos dizer que estes são números impossíveis. E esta circunstância nos conduz a tais números, que por sua natureza são impossíveis, e que são chamados costumeiramente de imaginários, pois eles só existem na imaginação.

 

     4. A representação gráfica

A representação geométrica dos números complexos mediante pontos do plano foi decisiva para sua aceitação. A possibilidade dessa representação era clara para vários autores, como Cotes, De Moivre, Euler e Vandermonde; todos eles tentaram resolver a equação  xn 1 = 0 pensando em suas soluções como vértices de um polígono regular de   n   lados. Essa idéa era ainda incompleta, pois nenhum desses autores achou também uma interpretação geométrica para as operações com complexos.

O primeiro a formular uma tal interpretação foi um agrimensor norueguês chamado Caspar Wessel (1745-1818), um autodidata. Ele é autor de um artigo intitulado Sobre a representação analítica da direção: uma tentativa, que foi publicado em 1799 nas memórias da Real Academia da Dinamarca. Ali, escreveu:

Vamos designar por +1 a unidade retilínea positiva, por +  outra perpendicular à primeira, com a mesma origem; então o ângulo de direção de +1 será 0o, o de 1 será 180°, o de será 90° e o de    será   90°   ou   270°.

Tal como fazemos hoje em dia, ele representa o complexo a + bi   pelo vetor do plano com origem   O   - a origem do sistema de eixos coordenados - e com extremo no ponto P de coordenadas (a, b). Depois dá uma representação geométrica da soma de dois complexos a+bi  e  c + di, representando-os pelos vetores OP e OQ, respectivamente, e observando que a soma estará respresentada pela diagonal do paralelogramo construído sobre  OP  OQ.

 

De forma análoga, o produto desses complexos estará representado por um vetor  OR  tal que o comprimento de OR é o produto dos comprimentos de OP e OQ, e o ângulo que OR forma com o eixo Ox é igual à soma dos ângulos formados por OP e OQ com esse eixo.

Uma representação semelhante foi dada por Jean-Robert Ar-gand (1768-1822), um bibliotecário suíço, também autodidata, que em 1806 publicou um pequeno livro intitulado Essai sur ia manière de représeníer les quantités imaginaires dans les constructions géométriques. Ele observa que se multiplicamos +1 por i obtemos i e se multiplicamos esse resultado novamente por i obtemos 1. Ele pensa, então, em representar i por uma operação que aja de modo análogo. Assim, podemos representar i por uma rotação de  90°  em sentido anti-horário.

A partir daqui, tal como Wessel, ele dá interpretações para números da forma a + bi e para as operações com complexos, aplicando seus resultados à demonstração de teoremas de álgebra, geometria e trigonometria.

Esses trabalhos tiveram pouco ou nenhum efeito sobre os matemáticos da época; a memória de Wessel só foi notada quando publicada em tradução francesa em 1897, e o livro de Argand, embora causasse uma certa controvérsia, teve pouco impacto, talvez por ser a única contribuição de seu autor à Matemática. Quem verdadeiramente tornou a interpretação geométrica amplamente aceita foi Carl Friederich Gauss (1777-1855).

A julgar pelas suas demonstrações do teorema fundamental da álgebra, ele já conhecia a interpretação gráfica dos complexos em torno de 1815, embora escrevesse, numa carta de 1825, que a verdadeira metafísica de é elusiva. Finalmente, em 1831, ele escreveu um artigo muito explícito sobre a questão. Diz na introdução:

O autor tem considerado há vários anos esta parte importante da Matemática sob um ponto de vista diferente, que permite conferir às quantidades imaginárias, como as negativas, uma existência objetiva.

O significado intuitivo dos números complexos fica completamente estabelecido e não se precisa mais para admitir estas quantidades no domínio da aritmética.

 

Ele observa também que se as unidades 1, 1, não fossem chamadas de positiva, negativa e imaginária, mas direta, inversa e lateral, as pessoas não teriam tido a impressão de que há algo de misterioso nesses números.

A observação de Gauss a respeito da existência, objetiva dos números complexos ilustra a visão da Matemática na época. Parece que o fato de esses números poderem ser representados geometricamente lhes dá essa existência. Em outras palavras, parece que, para os matemáticos daquele período, os entes geométricos tinham um tipo de realidade que faltava aos objetos da aritmética.

Finalmente, a formalização completa dos números complexos como pares ordenados de números reais será desenvolvida por William Rowan Hamilton (1805-1865) em 1833, e ainda Agustin Cauchy (1789-1857) daria outro tipo de formalização em 1847.

 

Referências Bibliográficas

[1]   CAJORI, F. A History of Mathematical Notations. Chicago, Open Court, 1928-1929.

[2]  GREEN,  D. R.  The Historical Development of Complex Numbers.   The Mathematics Gazette, 60, 412 (1976), 99-107.

[3]   SMITH, D. E. History of Mathematics, v. II. Boston, Ginn and Company, 1925.

[4]   SMITH, D. E. A Source Book in Mathematics.   New York, McGraw-Hill, 1929.

[5]   KLINE, M. Mathematical Thought ftom Ancient to Modern Times.   New York, Oxford Univ. Press, 1972.

 

 

César Polcino Milies é professor titular do IME-USP. Interessa-se por Algebra - sua área de pesquisa - e História, da. Matemática. Tem diversos outros interesses: pratica judo, estuda cabala e é também psicólogo, formado na USP.

 

Resposta dos probleminhas

1. 300 minutos;               2. acaba sempre em 6174;               3. 4 filhos e 3 filhas.