Flávio Wagner Rodrigues
IME-USP

Soluções e Sugestões:
RPM - Problemas
Caixa Postal 20570
01452-990 São Paulo, SP

 

     Problemas

102.   Seja   P(x) = x3 + ax2 + bx + c   um polinômio com coeficientes inteiros.   Suponha que a equação   P(x) = 0    tem três raízes inteiras distintas.   Mostre que a equação   P(x) 1 = 0   não admite nenhuma raiz inteira.

103.  Um múltiplo de   17   quando representado na base 2 tem exatamente 3 dígitos iguais a 1. Qual é o número mínimo de zeros que essa representação deverá conter?
(Olimpíadas Colombianas).

104.  Determinar o raio do semicírculo no qual está inscrito um hexágono cujos seis lados são iguais e têm por comprimento  a > 0.
(Enviado por Pérsio Augusto de Oliveira, São Paulo, SP.)

105.  Sabendo-se que a função  f :   IN M   satisfaz a condição f (n + 1) > f (f (n))  para todo   n IN,  provar que   f (n) = n.
(Proposto por Angelo Barone Netto, São Paulo, SP.)
 

     ... e probleminhas

1. Marly diverte-se observando os passarinhos voando em torno de um arbusto. Ela notou que, quando uma ave fica em cada galho, uma das aves fica sem galho, e quando ficam duas aves em cada galho, um dos galhos fica sem ave. Quantos galhos há no arbusto? e quantas aves? (Adaptado da revista Engenheiro Moderno, 1965.  Enviado por Valdir Rodrigues, SP).

2.  Havia 3 homens, João, Jacó e José, cada um dos quais tinha duas ocupações.   Estas os classificam, cada um em duas delas, como:   motorista, contrabandista, músico, pintor, jardineiro e barbeiro.   Dos fatos abaixo, determinar as duas ocupações de cada um deles:

(1)   O motorista ofendeu o músico ao rir de seus cabelos longos.

(2)   Tanto o músico quanto o jardineiro costumavam ir pescar com João.

(3)   O pintor comprou uma garrafa de gim do contrabandista.

(4)   O motorista namorava a irmã do pintor.

(5)   Jacó devia ao jardineiro Cr$500.000,00.

(6)   José ganhou tanto de Jacó como do pintor no jogo de malha.

(Do livro Matemática e Imaginação de E. Kasner e J. Newman; Zahar Editores, RJ. Enviado por Valdir Rodrigues, SP).
 

3.  Usando os sinais   +      x      ( ) !, verificar as seguintes  igualdades

0 0 0 = 6       4 4 4 = 6         8 8 8 = 6

1 1 1 = 6       5 5 5 = 6         9 9 9 = 6

2 2 2 = 6       6 6 6 = 6      10 10 10 = 6

3 3 3 = 6       7 7 7 = 6

(Enviado por José Augusto de Oliveira Netto, BR).
 

(Ver respostas na seção "Inequação Produto")

 

     Soluções dos problemas propostos na RPM 21, 2° quadrimestre, 1992

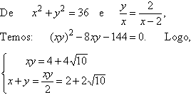
94.  Provar que para todo   x   real, com   0 x 2,  tem-se x cos x < 0,71.

1 solução:

(Solução enviada por Roberto K. Kawakami, SP.)

2 solução:

Como a área do triângulo OAB é menor do que a área do setor OAB,  isto é,


Lembrando que a média geométrica de dois números positivos é menor ou igual à sua média aritmética, obtemos:

(Solução enviada por Marco Antonio Manetta, SP.)

95. Uma escada de  6 m  de altura está encostada contra uma parede que apresenta um degrau de  2 de altura por  2 m  de largura, como mostra a figura. Quais as alturas máxima e mínima que o extremo superior da escada pode alcançar na parede?

Solução:

Chamaremos a altura máxima de    y   e a mínima de   x.

que nos leva à solução:

(Resumo de soluções enviadas pelos leitores.)
 

96. Fixados dois pontos   B   e   C,   determinar o lugar geométrico dos baricentros dos triângulos   ABC  com lado  AB  de comprimento constante.

Solução:

Seja G o baricentro, ponto de encontro das medianas. Traçamos GN \\ AB.

Temos:

Variando o ponto  A,  com  AB  constante, o ponto  não muda e, portanto, os baricentros pertencem à circunferência de centro  e raio AB/3. Por outro lado, cada ponto  dessa circunferência, exceto os da reta suporte BC,   é baricentro de algum triângulo com lado   BC:    basta tomar   A'   na semi-reta suporte de  MP,  com origem   M,  de modo que   A'P = 2 MP .

(Resumo de soluções enviadas pelos leitores.)

97. Uma urna contém   10 bolas, sendo  5  brancas,  3  azuis e  2  pretas. As bolas vão ser retiradas ao acaso, sem reposição. Determine a probabilidade de que

(a)    a última bola branca saia da urna na  k-ésima retirada  (5 k 10);

(b)    a cor azul seja a primeira a acabar.


Solução:

Número de casos favoráveis:

Logo a probabilidade de que a última bola branca saia na  h-ésima retirada

 

O número de casos favoráveis será contado supondo que a cor azul acabe na:

Logo, a probabilidade de que a cor azul acabe primeiro é:

(Resumo de soluções enviadas pelos leitores.)

 

Relação dos leitores que enviaram soluções dos problemas 94 a 97 da
RPM 21

Alceu de Amorim Ramos (SP) - 95

Luis Veloso (MG) - 95

Amadeu C. de Almeida (RJ) - 95-96

Marco A. Manetta (SP) - 94-95-96-97

Antonio Matos dos Santos (PR) - 95-96

Mauro Lalli (SP) - 96

Carlos Alberto S. Victor (RJ) - 95-96

Nelson Tunala (RJ) - 95-96-97

Carlos Nely C. Oliveira (SP) - 95

Paulo Roberto Mendonça (SP) - 95

Cláudio Aguinaldo Buzzi (SP) - 95-96

Regis Sant'Ana (PR) - 95-96-97

Edson Roberto Abe (SP) - 95-96

Ricardo Teixeira Gonçalves (SP) - 95-96

Francisco C. Simão Jr. (MG) 95

Roberto F. Silvestre (MG) - 95-96-97

Geraldo Perlino Júnior (SP) - 95-96

Roberto K. Kawakami (SP) - 94-95-96

João Christiano de S. Ferreira (RJ) - 95

Tsunediro Takahashi (SP) - 95

Laur Scalzaretto (SP) - 95

Wilson Massaro (SP) -95-96

Levi Brasilino da Silva (PE) - 95-96

 

Observação: Não levamos em conta as soluções não elementares do problema 94.
 


Muitas cartas de Natal, RN, vêm com a etiqueta ao lado. Quem é o autor da feliz idéia?