Wu-yi Hsiang
Universidade da Califórnia, Berkeley

     Apresentação

Wu-yi Hsiang é um conceituado matemático de origem chinesa, porém radicado nos Estados Unidos, onde é professor titular da Universidade da Califórnia, em Berkeley.

Há 15 anos, Wu-yi e sua esposa Mirtle voltaram i China. Lá procuraram o ministro da Educação e lhe propuseram um ambicioso projeto de reforma do ensino da Matemática visando, em primeiro lugar, organizar um currículo adaptado à escola secundária chinesa do próximo século e, em última análise, uma reforma geral do ensino de Matemática na China.

Tendo recebido o apoio imediato e entusiástico do ministro, o projeto de Wu-yi Hsiang começou experimentalmente com uma equipe de matemáticos e professores secundários de oito escolas e floresceu, tornando-se uma atividade nacional, envolvendo centenas de participantes e escolas.

Wu-yi e Mirtle têm visitado a China durante três meses por ano, desde 1978. Durante esse período, os textos contendo o novo currículo foram escritos e reescritos diversas vezes, a partir da concepção original de Wu-yi, com base em seu uso nas escolas.

Wu-yi já esteve algumas vezes no Brasil, em visita ao IMPA. Numa dessas ocasiões, traduziu do chinês para o inglês um capítulo de seu livro e o ofereceu especialmente para ser publicado na RPM.

A presente versão para o português, feita pelo Professor Alberto Azevedo, é apresentada aos nossos leitores, para que tenhamos conhecimento dessa renovação pedagógica que resulta da colaboração harmoniosa, na grande república da China, entre matemáticos profissionais e professores secundários.

Elon Lages Lima

 

     1. Introdução

 Neste breve artigo discutiremos a origem e o significado de duas funções trigonométricas básicas: a função seno e a função cosseno, e duas leis fundamentais da trigonometria: a lei do seno e a lei do cosseno. Historicamente, o seno e o cosseno foram introduzidos como razões entre lados de um triângulo retângulo. Entretanto, de um ponto de vista funcional moderno, é mais natural considerar as funções seno e cosseno como as funções definidas no círculo unitário.

No sistema de coordenadas cartesianas do plano, o círculo unitário é descrito usualmente pela equação

x2 + y2 = 1

Por outro lado, se um ponto P parte de A(1,0) e caminha sobre o círculo unitário com velocidade unitária, é claro que suas coordenadas x e y são funções do tempo t e são exatamente o par de funções trigonométricas, a saber:

x = cos t       e         y = sen t.
 

A equação (1) pode ser considerada como uma descrição estática do círculo unitário, enquanto que o par de equações (2) fornece uma representação dinâmica do círculo unitário, ou melhor, do movimento circular fundamental. De qualquer maneira, a representação dinâmica acima fornece uma maneira natural de introduzir as funções seno e cosseno definindo-as como o par de funções circulares fundamentais.

Na Geometria Plana, círculos e triângulos são objetos geométricos básicos, simples, dos mais fundamentais. Veremos (§2) que o par de funções seno e cosseno fornece as ferramentas analíticas adequadas para o estudo de várias propriedades do círculo. Já as leis do seno e do cosseno (§3) mostram que estas funções também fornecem as ferramentas básicas para a análise quantitativa das diversas propriedades geométricas dos triângulos. Assim, as duas funções trigonométricas e as duas leis da trigonometria constituem um alicerce único que engloba tanto a geometria dos círculos quanto a dos triângulos, fornecendo uma base firme para toda a Geometria Analítica.

 

     2.    As propriedades geométricas básicas do círculo e as propriedades             funcionais básicas do seno e do cosseno

As funções seno e cosseno são, por definição, um par harmonioso; em conjunto elas representam um dos movimentos periódicos mais fundamentais, a saber, o movimento circular com velocidade unitária*. Conseqüentemente, é bastante natural que as propriedades funcionais básicas do seno e do cosseno sejam como que uma tradução (i.e., correlação direta) das propriedades geométricas básicas do círculo unitário. Daremos a seguir um sumário conciso da correlação existente entre as propriedades geométricas do círculo unitário e as propriedades funcionais do seno e do cosseno.

__________
* É interessante notar que os movimentos circulares são também os mais úteis, como o movimento periódico das rodas do qual a civilização industrial moderna depende constantemente.

( i )        x2 + y2 = l         cos2t + sen2t = 1.

(ii) A simetria por rotação do círculo unitário os teoremas de adição das funções seno e cosseno.

Sejam t1, t2, t'1, t'2 os parâmetros angulares de B(x1,y1), C(x2,y2),  B'(x'1,y'1)  C'(x'2,y'2)  respectivamente.

Com esta notação, os triângulos OBC e OB'C' podem coincidir por uma rotação conveniente, isto é, serão congruentes, se, e somente se, (t2 t1) = (t'2 t'1). Assim, tanto o comprimento BC como a área orientada do triângulo OBC dependem somente da, diferença, entre seus parâmetros angulares, ou, em outras palavras, estes dois invariantes geométricos são funções de (t2 t1) somente!Portanto, é conveniente calculá-los considerando o caso especial em que B" = A(1,0) e C"(x"2,y"2) com t"1 = 0, t"2 = t2 t1.   Temos:
 

BC2    =   (x2 x1)2 + (y2 y1)2

          = (cost2 cost1)2 + (sent2 sent1)2

          = 2 2 (cos t2 cos t1 + sen t2 sen t1)                                (3)

AC"2 = (cos(t2 t1 - l)2 + (sen(t2 t1) 0)2

             = 2 2cos(t2 t1),

o que demonstra a fórmula de adição para a função cosseno:

cos (t2 t1) = cos t2 cos t1 + sen t2 sen t1.                                   (3')

Analogamente, pela fórmula usual para a área dos triângulos, se indicarmos a área do triângulo  ABC  por ABC teremos:

 

o que demonstra a fórmula de adição para a função seno:

sen (t2 t1) = sen t2 cos t1 + cos t2 sen t1.                                   (4')

A breve discussão acima mostra que, tanto para o seno quanto para o cosseno, os teoremas fundamentais de adição são conseqüências diretas das definições e da simetria por rotação do círculo unitário.

(iii) A simetria por reflexão do círculo unitário as fórmulas que "convertem somas em produtos":

Embora as fórmulas acima possam ser facilmente deduzidas de (3') e (4') por manipulações algébricas, a demonstração geométrica que daremos a seguir mostra que elas estão diretamente relacionadas à simetria por reflexão, tanto do círculo quanto do triângulo isósceles.


 

A demonstração acima mostra claramente o significado geométrico das fórmulas (5).

(iv) 0 significado geométrico das fórmulas do ângulo-metade.

No caso especial em que = 0, a primeira e terceira equações de (5') ficam:

Usando (6') e a identidade   cos2 + sen2 = 1,   deduzimos facilmente as fórmulas:

que são de grande utilidade no cálculo das integrais de funções racionais de  senx   e  cosx..


 

     3.   As  leis da trigonometria e a análise quantitativa dos invariantes geométricos básicos dos triângulos

Um triângulo tem três ângulos e três lados, usualmente conhecidos como os seis elementos do triângulo. Indicaremos os três ângulos do triângulo ABC pelas letras A, B, C e por a, b, c os comprimentos dos respectivos lados opostos.

(i) A LEI DO COSSENO

As condições de congruência tais como L.A.L. (lado, ângulo, lado) e L.L.L. (lado, lado, lado) mostram claramente que os seis elementos de um triângulo estão relacionados funcionalmente. Por exemplo, L.L.L. implica que os três ângulos são funções dos três lados. A lei do cosseno fornece expressões explícitas dos cossenos dos ângulos como funções dos lados. Considerando a projeção ortogonal de AC e de BC sobre AB, vemos que c=bcosA+acos B. De modo análogo, obtemos:


(versão primitiva da lei do cosseno).

Considerando o sistema de equações acima como um sistema de três equações lineares nas variáveis cos A, cos B e cos C e coeficientes a, b e c, obtemos a seguinte solução, que é a versão explícita da lei do cosseno:

(ii) A LEI DO SENO

 

e, portanto, obtemos a lei do seno:

Daremos, a seguir, duas outras demonstrações da lei do seno. Segunda demonstração:

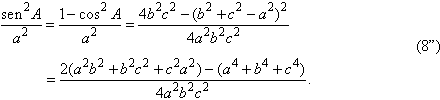
Podemos expressar   sen2 A /a2,   em função dos lados, da seguinte maneira:


Como a expressão acima é simétrica em relação a a, b, c, é claro que

e, portanto, visto que sen A, sen B e sen C  são todos positivos:

Terceira demonstração:

Como indicado na Figura 6, BA' é um diâmetro do círculo circunscrito ao triângulo ABC. Conseqüentemente, e o triângulo A'BC é retângulo. É claro que

onde R é o raio do círculo circunscrito. Logo,

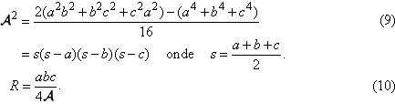
Conseqüentemente, estes três invariantes geométricos são iguais e obtemos assim, como subproduto, a fórmula de Heron que expressa a área em função dos lados e a fórmula para o raio R do círculo circunscrito:

(iii) AS FÓRMULAS DO ÂNGULO-METADE E O CÍRCULO INSCRITO

Os círculos circunscrito e inscrito são os dois círculos que podem ser associados ao triângulo de uma maneira natural. O circuncentro é a intersecção comum dos três eixos de simetria dos lados, enquanto que o centro do círculo inscrito é a intersecção comum dos três eixos de simetria dos ângulos. A fórmula (10) expressa o raio R do círculo circunscrito em termos dos lados e da área. Analisaremos agora a configuração geométrica que está associada de maneira natural ao círculo inscrito. Como indicado na Figura 7,

Segue-se que

Ademais, se indicarmos por x (respec. y, z) o comprimento das duas tangentes ao círculo inscrito, traçadas a partir de A (respec. B, C), teremos:

Portanto,

A partir deste ponto é fácil deduzir as fórmulas para o seno e o cosseno do ângulo-metade; por exemplo,

Obtemos:

 

     4. Observações finais

Ao concluir esta breve discussão sobre funções trigonométricas e leis da trigonometria, faremos algumas observações adicionais.

(i) Geometricamente,    cos t é o  comprimento orientado de que, por sua vez, é a projeção ortogonal de ;     sen t é o dobro da área orientada do triângulo OAP. Assim, é bastante natural que a demonstração da lei do cosseno tenha usado a projeção ortogonal de um triângulo sobre seus três lados (vide (7)), e a primeira demonstração da lei do seno, a fórmula da área de um triângulo.

Analogamente, a demonstração do teorema de adição da função cosseno usou a decomposição ortogonal do comprimento, isto é, o teorema de Pitágoras, enquanto que a do teorema de adição da função seno, a fórmula da área de um triângulo.

(ii) A primeira demonstração que demos da lei do seno é a mais natural das três apresentadas. Não é necessário saber a forma final da lei do seno para descobrir o caminho da o valor comum acima em termos apenas dos comprimentos dos três lados, e a resposta final deve ser uma função simétrica de a, b, c! Esta é precisamente a segunda demonstração.

(iii) Como já observamos no início, as funções seno e cosseno formam um par harmonioso pois juntas representam o movimento periódico mais fundamental: a rotação circular com velocidade unitária. A rigor, podemos até formalizar este casamento matemático do seno e cosseno dentro do contexto dos números complexos. Se E(t) = cos t + i sen t, as fórmulas de adição das funções seno e cosseno podem ser unificadas numa fórmula simples e precisa:

E(t1)E(t2) = (cos t1 + i sen t2)(cos t2 + i sen t2)

= (cos t1cos t2 sen t1sen t2) i(cos t1sen t2 cos t1sen t2)

= E(t1+t2).

Enfim, cumpre-nos observar que a fórmula E(t1) E(t2) =  E(t1+ t2) é formalmente a mesma que dá a propriedade característica da função exponencial, a saber, a regra dos expoentes ex1ex2 = ex1+x2.  Ela é a famosa fórmula de Euler e é tambéma base para a introdução do conceito de expoentes complexos.

 

MAGICÁLCULO

O colega José Carlos Gomes de Oliveira, de Jacarezinho, PR, abordando o uso da calculadora em sala de aula, propõe a seguinte atividade:

-    Solicite aos seus alunos que digitem numa calculadora um número qualquer de 3 algarismos.   Em seguida, que digitem novamente os mesmos 3 algarismos, obtendo um número de 6 algarismos.

-     A seguir, peça que eles dividam o número obtido, sucessivamente, por 7, por 11 e por 13.

Todas as divisões serão "exatas" e o resultado final, surpreendente. Será um magicálculo... até que algum aluno consiga desvendar o mistério. Aí a Matemágica se transforma em Matemática.